Вопросы теоретической и клинической медицины 6.2012
Рандомизированное контролируемое исследование, сравнивающее потоковую (IFD) и пузырьковую (bubble) системы cpap при лечении дыхательных расстройств у недоношенных новорожденных
Постоянное положительное давление в дыхательных путях у спонтанно дышащего новорожденного (ППДДП или СРАР в английской аббревиатуре),используется в неонатологии для лечения респираторного дистресс синдрома (РДС) и других легочных заболеваний, а также после экстубации и для лечения апноэ недоношенных. С помощью создания постоянного положительного давления в дыхательных путях, улучшение оксигенации достигается путем повышения функциональной остаточной емкости (ФОЕ) и наполнения коллапсированной альвеолы. Это способствует перераспределению легочной жидкости,
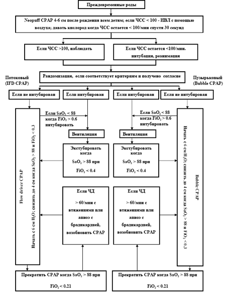
Рис. 1. Протокол респираторной терапии,применявшийся во время исследования
*FiO2 - фракционное содержание кислорода во вдыхаемом воздухе, SаO2-насыщение гемоглобина артериальной крови кислородом
Рис. 2. Рандомизация и исходы у пациентов включенных в исследование
снижает сопротивление верхних дыхательных путей, улучшает растяжимость легочной ткани, способствует стабилизации и синтезу эндогенного сурфактанта. Есть сообщения о том, что этот метод снижает потребность в применении ИВЛ у недоношенных [1,5]. Применение СРАР, по мнению некоторых авторов, может иметь значительные преимущества в медучреждениях с ограниченными ресур-сами, где такое дорогостоящее лечение как сурфактант и механическая вентиляция недоступны [2]. К тому же, высказываются опасения о выполнимости и экономической эффективности сложной респиратор-ной поддержки у новорожденных в развивающихся странах, где показатели смертности остаются высокими, несмотря на наличие отделений интенсивной терапии [3]. В настоящее время существуют два основных типа устройств для дачи СРАР новорожденным: устройства с постоянным BubbleСРАР) и вариабельным потоком (InfantFlowDriver). Хотя оба типа оборудования широко используются по всему миру, до сих пор не проведено сравнивающего их исследования. Аппараты генерирующие СРАР значительно различаются в цене. Если будет доказано, что они одинаково эффективны и безопасны, то можно будет с уверенностью выбирать более доступный метод, если финансовые ресурсы медучреждения ограничены. Поэтому, одной из самых актуальных задач, стоящей перед неонатологами, является выбор менее инвазивной, безопасной и недорогой техники респираторной терапии.
Целью исследования являлось изучение сравнительной эффективностипотоковой и пузырьковой системы CPAP при лечении дыхательных расстройств у недоношенных новорожденных в условиях неонатального отделения перинатального центра.
Материал и методы исследования
В отделении реанимации и интенсивной терапии новорожденных НИЦОЗМР нами проведено одноцентровое, проспективное, рандомизированное контролируемое исследование, сравнивающее потоковую(IFD) и пузырьковую (Bubble) системы CPAP у недоношенных в условиях отсутствия сурфактанта и газового анализатора. Исследование было зарегистрировано в Международном регистре рандомизированных исследований (J№ISRCTN22578364), а перед его началом было получено одобрение этического комитета по научным исследованиям Американского Университета Армении. За время исследования (март 2007г.-апрель 2009г.), после получения согласия матери, недоношенные дети (‹37 нед. гестации) включались в исследование. В исследование не вошли дети с врожденными аномалиями. Во время
Таблица 1. Основные показатели пациентов, включенных в исследование
|
Показатель |
Flow Driver n = 59 |
Bubble n = 66 |
||
|
Мальчики, n % |
35 |
59% |
38 |
58% |
|
Рожденные через естественные родовые пути, n % |
30 |
51% |
23 |
35% |
|
Реанимированные после рождения, n % |
10 |
17% |
18 |
27% |
|
Получившие полный курс антенатальных кортикостероидов, n % |
22 |
37% |
25 |
38% |
|
Вес при рождении г, средний разлет |
1848 |
431 |
1891 |
502 |
|
Гестационный возраст в неделях, средний разлет |
33 |
31-35 |
33 |
32-34 |
|
Шкала Апгар на 1 мин, средний разлет |
7 |
7-8 |
7 |
6-8 |
|
Шкала Апгар на 5 мин, средний разлет |
7 |
7-8 |
7 |
7-8 |
преждевременных родов присутствие неонатолога в родильном зале было обязательным и до рождения ребенка врач получал информацию о гестационном возрасте и получении пренатальных стероидов от акушера. Новорожденный считался получившим пренатальную профилактику стероидами если мать получала хотя бы одну дозу дексаметазона за четыре часа до рождения ребенка.
Сразу после рождения все недоношенные новорожденные находились под источником лучистого тепла и получали CPAP 4-6см H2O неонатальным реаниматором “Neopuff’ (Fisher and Paykel, Berkshire, UK)с помощью плотно прилегающей лицевой маски. Далее, в течение 10-15 минут новорожденные рандомизировались методом закрытых конвертов: получать дыхательную терапию с помощью аппарата Infant Flow Driver или Bubble CPAP. Четыре пачки конвертов использовались для рандомизации: 1) новорожденный мужского пола, получивший антенатально стероиды, 2) новорожденный мужского пола, не получивший антенатально стероиды, 3) новорожденный женского пола, получивший антенатально, 4) новорожденный женского пола, не получивший антенатально стероиды. Внутри каждого конверта находились карточки со случайным сочетанием кодов, обозначающих тип устройства CPAP. После вскрытия конверта, на основе этих данных осуществлялся выбор устройства CPAP для каждого пациента. Кар-точки были составлены на основе таблицы случайных чисел, смоделированных с помощью компьютерной программы в отделе клинических медицин-ских исследований Imperial College London, Велико-британия, статистиком без участия исследователя. Для дыхательной терапии применялись два типа ап-паратов CPAP: Infant Flow DriverO (Viasys Healthcare inc., CA, USA) и Bubble CPAP (Fisher and Paykel, Berkshire, UK). Увлажнение кислородно-воздушной смеси осуществляли с помощью увлажнителей Fisher & Paykel MR730 и МЯ 850. Для проведения искусственной вентиляции легких применялся аппарат Newport WaveE-200 и SLE 2000. Рекомендуемыми параметрами ИВЛ были: как можно низкое макси-мальное давление на вдохе, способное поддерживать адекватную экскурсию грудной клетки, время вдоха 0,4-0,5сек, PEEP-5 см вд. ст., FiO2-необходимое для поддержания сатурации в пределах 85-95%. Изучаемыми первичными исходами у пациентов в исследуемых группах были: 1) дни нахождения на CPAP и 2) дни получения дополнительного кислорода. В качестве вторичных исходов оценивались: частота применения ИВЛ, смертность, частота развития пневмоторакса, деформаций носа ивнутрижелудочковых кровоизлияний и другие. Границей эквивалентности был выбран интервалв пределах двух дней. Статистические данные обработаны с помощью логистической регрессии с поправкой на гестацию, а также множественной линейной регрессией с поправкой на пол и получение антенатальных стероидов.
Протокол исследования
Для новорожденнных, вошедших в исследование, респираторная терапия осуществлялась согласно протоколу (рис 1). Начальными параметрами являлись: давление 5-6см вд. ст, которое снижалось затем до 4, если SaO2›88 и FiO2‹30%. Респираторная терапия с помощью CPAP прекращалась при SaO2›88 и FiO2‹0.21, на фоне улучшения клинической картины
Таблица 2. Главные исходы в исследуемых группах пациентов
|
Исход |
Flow Driver n = 59 |
Bubble n = 66 |
OR |
95% CI |
||
|
Дни нахождения на СРЛР, вМ |
0.48 |
|
0.65 |
|
1.3 |
0.9 to 2.1 |
|
Дни на СРЛР +дни получения дополнительного кислорода, вМ |
1.67 |
|
1.98 |
|
1.2 |
0.7 to 1.9 |
|
Некротически-язвенный энтероколит (НЯЭК), n % |
1 |
2% |
0 |
0% |
- |
|
|
Ретинопатия недоношенных, n % |
0 |
0% |
0 |
0% |
- |
|
|
Перивентрикулярная лейкомаляция, п % |
0 |
0% |
2 |
3% |
- |
|
|
Внутричерепные кровоизлияния, n % |
2 |
3% |
5 |
8% |
2.1 |
0.4 to 12.7 |
|
Смерть, n % |
1 |
2% |
3 |
5% |
2.3 |
0.2 to 27.8 |
|
ИВЛ, n % |
3 |
5% |
7 |
11% |
2.1 |
0.5 to 9.3 |
|
Повреждения и деформации носа, n % |
2 |
3% |
3 |
5% |
1.2 |
0.2 to 8.0 |
|
Пневмоторакс,n % |
1 |
2% |
3 |
5% |
2.4 |
0.2 to 26.2 |
*OR - отношение шансов для выживших, с поправкой на гестационный возраст, пол, получение стероидов,
GM - среднее геометрическое для выживших
и дальнейшая подача кислорода осуществлялась под кислородным колпаком или в кувез. Если отмечалось тахипное › 60/мин с периодическим дыханием или апноэ и брадикардией - подача CPAP возобновлялась. Вопрос об интубации и переводе на ИВЛ рассматривался, при SaO2‹ 88, когда FiO2 превышала 60% и когда после 24 часов начала CPAP FiO2 оставалась 60%. Новорожденного отлучали от ИВЛ и экстубировали с переводом нааппарат CPAP при показателях SaO2›88 и FiO2‹ 0.4 и если состояние оставалось стабильным во время механической вентиляции хотя бы 12 часов, при частоте ИВЛ 15-20 циклов в мин. Во всем остальном, новорожденные получали стандартное лечение и уход, принятые в отделении.
Результаты и их обсуждение
Из 145 недоношенных новорожденных, подходящих для включения в исследование, были рандомизированы 125. Таким образом, вследствие случайного выбора аппарата CPAP, 66 детей получили респираторную терапию с помощью Bubble и 59 - Flow Driver. 20 пациентов не вошли в исследование по разным причинам (рис. 2).
Из 125 пациентов, которые наблюдались до их выписки, выжили 122, умерло 3. Как видно из табл.1,группы пациентов, получавшие CPAP терапию различными устройствами практически не различались по весу при рождении, гестационному возрасту, полу, способу родоразрешения и состоянию при рождении.
Средний гестационный возраст пациентов, включенных в наше исследование составлял 33 неде-ли, что вероятно отражает наиболее частый контингент недоношенных поступающих в отделении реанимации и интенсивной терапии для респираторной терапии. Обращает на себя внимание высокий процент недоношенных новорожденных, рожденных путем кесарева сечения - 49% в группе IFD и 65% в группе Bubble. Полный курс кортикостероидов для акселерации созревания легких получили 37% в группе IFD и 38% в группе Bubble. Низкий процент профилактики РДС можно объяснить тем, что вероятно большинство акушерских ситуаций требовало срочного родоразрешения и не позволяли закончить курс кортикостероидов. Средняя продолжительность нахождения пациентов на CPAP, а также количество дней последующей кислородной зависимости статистически не различались в сравниваемых группах. При изучении смертности видно, что в группе, получавшей Bubble CPAP, она более чем в два раза выше чем в группе IFD (табл. 2). По количеству таких осложнений недоношенности, как внутричерепные кровоизлияния и перивентрикулярная лейкома- ляция, также превалировала группа Bubble CPAP.
У 10 недоношенных новорожденных из 125, на фоне проведения CPAP, отмечалось ухудшение состояния, которые требовало проведения интубации и перевода на ИВЛ. В группе IFD ИВЛ потребовалaсь 3 новорожденным, а в группе Bubble 7, что в два раза чаще. Средний возраст новорожденных, во время ко-торого произошло ухудшение состояния и перевод на ИВЛ, составлял 26 часов. При сравнении перинатальных показателей двух изучаемых групп новорожденных, обращает на себя внимание то, что у 80% процентов пациентов с неудачной попыткой проведения CPAP (p‹00,3) не был проведен общепринятый курс кортикостероидов для акселерации созревания легких. В 60% случаев у новорожденных, не получивших до рождения кортикостероиды, отмечался смертельный исход. При изучении частоты возникновения пневмоторакса во время проведения CPAP выяснилось, что в группе Bubble CPAP это осложнение развивалось в 5% случаев по сравнению с 2% в группе IFD. Это ниже чем было зафиксировано в исследовании COIN, где в группе новорожденных на CPAP не получивших сурфактант составило 9% [4].
В отличие от работ, изучающих эффективность CPAP у недоношенных с экстремально низким весом при рождении, в наше исследование были включены все недоношенные новорожденные с гестационным возрастом менее 37 недель с респираторными нару-шениями после рождения. Так называемые «крупные» или близкие к доношенным недоношенные дети, довольно часто нуждаются в проведении респираторной терапии. Особенностью нашего иссле-дования являлось то, что за изучаемый период времени не было возможности применения экзогенного сурфактанта. Можно предположить, что данный фактор оказал свое влияние на неблагоприятные исходы у двух из трех новорожденных с гестационным возрастом 27 недель. У этих детей был диагностирован пневмоторакс и часто сопровождающие его внутрижелудочковые кровоизлияния. Таким образом данные нашего исследования показали, что:
- у новорожденных, получавших CPAP с помощью аппарата с перемежающимся потоком (IFD) чаще отмечались благоприятные исходы по выживаемости по сравнению с пациентами, получавшими CPAP с помощью пузырькового CPAP (Bubble) с постоянным потоком,
- по длительности нахождения пациентов на CPAP и последующей продолжительностью кислородной зависимости, разницы между устройствами не замечено,
- больше осложнений зафиксировано у новорожденных, получавших респираторную терапию с помощью Bubble CPAP, особенно у недоношен-ных с гестационным возрастом менее 28 недель гестации.
Исходя из этого, нельзя не принимать во внимание большую безопасность устройств CPAP с перемежающимся потоком, особенно при использовании у недоношенных новорожденных с экстремально низкой массой при рождении.
Список литературы
- Thomson M.A. Early Nasal Continuous Positive Airway Pressure To Minimize. The Need for Endotracheal Intubation and Ventilation Neo Reviews. Vol.6, 4 2005,184.
- J. Subramaniam P, Henderson-Smart DJ, Davis PG. Continuous distending pressure for respiratory distress syndrome in preterm infants. Cochrane Library, Issue 1, 2005 (http:// www. thecochranelibra ry. com).
- Bhutta ZA, Yusuf K, Khan IA. Is management of neonatal respiratory distress syndrome feasible in developing countries? Experience from Karachi (Pakistan), Pediatr. Pulmonol. 1999 May;27(5):305-11.
- C.J. Morley, M.D., P.G.Davis, L.W.Doyle et al. Nasal CPAP or Intubation at Birth for Very Preterm Infants. N Engl J Med. 2008;358:700-8.
- De Klerk AM, De Klerk RK. Nasal continuous positive airway pressure and outcomes of preterm infants J.Pediatr. Child Health (2001) 37,161-167, 1987, 79 (1):26-29.
30.01.2013 Читайте также
Врожденный вывих бедра (ВВБ) относится к наиболее распространенной и тяжелой патологии опорно-двигательной системы у детей, лечение которой представляет сложную задачу современной ортопедии...
31.01.2013 Оперативное лечение внутрисуставных пере-ломов является актуальным вопросом современной ортопедии-травматологии в связи с высоким числом ранних и поздних послеоперационных осложнений [1,2,3]...
29.01.2013 Введение
Гликолизирование является одним из важнейших биологических процессов. Посредством взаимодействия с сахарами клеточных мембран осуществляются процессы деления и роста клеток, адгезии, апоптоза, канцерогенеза...
28.01.2013 По данным мировой литературы дисплазия тазо-бедренных суставов (ТБС) является одной из наиболее распространенных патологий опорно-двигательного аппарата не только у детей, но и у взрослого контингента больных...
25.01.2013 Введение
Одной из актуальных проблем современной стоматологии является проблема гиперчувствительности зубов (дентина). В последнее время наблюдается рост распространенности гиперчувствительности зубов, что обычно связывается не только с непрерывным увеличением заболеваний органов и тканей полости рта...
24.01.2013 Внастоящем исследовании представлены данные одифференциально-диагностическом подходе при выборе метода и тактики лечения сиаладенитов вирусной этиологии в стоматологической практике...
23.01.2013 Полость рта - сложная экологическая система, в которой внешние факторы взаимодействуют с внутренними (ткани зуба, пародонт, биопленка, локальная иммунная система, эпителий слизистой оболочки полости рта, ротовая жидкость...
22.01.2013 Конец XX, начало XXI столетия большую актуальность преобретает проблема сочетанной инфекции в стоматологии. Это обусловлено значительным ростом заболеваемости вирусным гепатитом В, С и ВИЧ-инфекции, как в Армении [1,3,4,10]...
21.01.2013 Введение. Среди многих поражений позвоночника, остеохондроз - одно из самых распространенных заболеваний, занимающее в общей структуре заболеваемости с временной утратой трудоспособности одно из первых мест [5,13]...
18.01.2013 Введение. Зубочелюстные аномалии часто сопровождаются нарушениями лицевых признаков. Изучение отношения пациентов к ортодонтическому лечению показывает, что основная мотивация к лечению зубочелюстных аномалий заключается в стремлении к красоте...
17.01.2013
САМЫЕ ЧИТАЕМЫЕ СТАТЬИ
-
Нормы роста и веса детей – данные ВОЗ
-
Зеленые выделения из влагалища: причины и лечение
- Анатомо-физиологические особенности дыхательной системы у детей
-
Насморк с кровью: причины симптома и способы лечения
- Анатомо-физиологические особенности сердечно-сосудистой системы у детей
- Анатомо-физиологические особенности пищеварительной системы у детей
- Анатомо-физиологические особенности мочевыделительной системы у детей
- Сравнительная характеристика параметров функции внешнего дыхания (обзор литературы)
- Современные представления о норме и патологических отклонениях размеров восходящей аорты при приобретенных пороках сердца
- Анатомо-физиологические особенности детей
- Анатомо-физиологические особенности костно-мышечной системы у детей
- Паллиативная химиотерапия рака: основные понятия и особенности (oбзор литературы)
-
Что можно и что нельзя делать после удаления аппендицита
-
Увеличенные яичники: симптомы, причины и лечение
-
Новейшие достижения онкологии в МЦ «Наири»: интервью с Артемом Степаняном. nairimed.com
-
О чем говорит головная боль за ухом? Причины, симптомы и лечение
-
Как снизить риск инсульта. erebunimed.com
-
Характер мужчины проявляется в выборе позы для секса
-
Армянская ассоциация медицинского туризма (ААМТ)
-
Желтые выделения из влагалища: причины и лечение
-
Рвота у ребенка без температуры: возможные причины
- Применение летрозола для стимуляции овуляции
- Врожденные аномалии и пороки развития
-
КАТИОНОРМ – представитель нового поколения искусственных слез для симптоматической терапии синдрома “сухого глаза”
-
Арам Бадалян: Родинку трогать нельзя?
- Применение противоспаечных средств в профилактике спаечной болезни живота (oбзор литературы)
-
Как избавиться от лямблий — 25 эффективных рецептов народной медицины
-
Вздутие живота при месячных: 7 способов справиться с неприятным ощущением
-
Компресс при ангине: будет ли полезным прогревание горла?
-
Онкология является самой быстроразвивающейся отраслью медицины: интервью с Левоном Бадаляном
-
Лечение марганцовкой
- Некоторые новые подходы к системной терапии метипредом больных ревматоидным артритом
- Медицинские информационные системы.Информационная система для интегрального фармацевтического и здравоохранного мониторинга
-
Фармацевтическая опека
- Подходы к оперативному лечению костно-хрящевых экзостозов
- Повреждения при родах
- Инциденталома надпочечников
-
Курение марихуаны влияет на потенцию
-
Почему противозачаточные увеличивают грудь?
- Применение индинола и эпигаллата при аденомиозе













Научная медицина
Болезни
Традиционная медицина
Здоровый образ жизни
Косметология
Медицинское право
Алгоритмы, тесты
Цифры, факты, случаи
Историческая хроника
Афоризмы
Карьерная лестница
Дети
Женщина
Мужчина
Рейтинговая система

