Вопросы теоретической и клинической медицины 4.2012
Криоглобулины больных шизофренией как индукторы экспрессии фактора некроза опухоли-а лимфоцитами человека
Введение
Термин криоглобулинемия означает наличие в сыворотке крови комплексов, содержащих один (моноклональная криоглобулинемия) или несколько типов (смешанная криоглобулинемия) иммуноглобулинов (Иг), которые осаждаются при температуре ниже 37оС и растворяются при нагревании [3,4,7,10]. Молекулярные механизмы генерации отмеченных аномальных иммунных комплексов или, так называемых, криоглобулинов (КГ) остаются невыясненными. В числе возможных причин может быть как изменение структурных характеристик моно- и поликлональных Иг-ов, так и характера взаимодействием отдельных компонентов в криокомплексе [4]. На основе состава и содержания белка КГ подразделяют на три типа. Тип I (›5мг/мл) состоит только из моноклональных Иг-ов, тип II (›1мг/мл) представляет собой смесь моноклональных и поликлональных Иг-ов, а тип III (‹ 1мг/мл) включает только поликлональные Иг [3]. Криоглобулинемия наблюдается при лимфопролиферативных, аутоиммунных и инфекционных заболеваниях и является неспецифическим маркером хронической активации иммунной системы, воспаления и аутоиммунной сенсибилизации [3,4,7]. КГ могут индуцировать развитие системного васкулита с преимущественным поражением мелких и средних артерий и вен в периферических органах [5]. Предполагают, что механизм, лежащий в основе повреждения тканей КГ-ми, по всей видимости, связан с отложением последних на стенках сосудов, что приводит к активации системы комплемента и развитию воспалительных реакций [5,7]. Однако экспериментальные данные, подтверждающие отмеченное предположение, практически отсутствуют. Имеется лишь одна работа, в которой показано, что КГ типа I имеют сильное активирующее воздействие на моно- нуклеарные клетки периферической крови (МНПК) [12]. Воздействие КГ-ов типа II и III на МНПК не было изучено. Ранее проведенные в нашей лаборатории исследования позволили выявить наличие КГ- ов типа III в крови больных шизофренией (ШЗ) [2]. Этот факт весьма интересен с учетом ключевой роли воспаления как на уровне ЦНС, так и на системном уровне, в этиопатогенезе шизофрении [1,9].
Исходя из вышеизложенного, цель настоящей работы состояла в оценке цитотоксичности КГ-ов, выделенных из крови больных ШЗ, по отношению к лимфоцитам человека и их способности к стимуляции продукции этими клетками медиатора воспаления - фактора некроза опухоли-а (ФНО-а).
Субъекты, материал и методы исследования
Субъектами исследования являлись 55 больных параноидной формой ШЗ (код DSM-IV-TR: F20.0) и 4 здоровых донора (2 женщины и 2 мужчин) без наследственной отягощенности ШЗ или другими психическими заболеваниями, которые были вовлечены в исследования. Пациенты (мужчины/женщины: 40/15; средний возраст (М±δ): 45,77±8,40 лет; средняя давность заболевание (М±δ): 17,36±9,21 лет; первая манифестация заболевания: 28,42±7,57 лет) принимали типические нейролептики, находились на лечении в Норкской клинике Психиатрического медицинского центра МЗ РА и были диагностированы в соответствии с критериями DSM-IV-TR [13] двумя независимыми психиаторами. Здоровые лица прошли предварительную психиатрическую проверку, подтвердившую отсутствие у них какого-либо психического заболевания или его наследственной отягощенности. Они не принимали каких-либо лекарственных препаратов как минимум за 1 месяц до начала исследования. Никто из субъектов исследования не страдал неврологическими, эндокринными, острыми или хроническими инфекционными, аутоиммунными, аутовоспалительными или онкологическими заболеваниями и не подвергался хирургическому вмешательству, как минимум за 12 месяцев до взятия крови. Все субъекты были проинформированы врачами о предстоящем исследовании и дали свое согласие на взятие крови. Исследование были одобрено Комитетом по этике Института молекулярной биологии НАН РА (IRB #00004079).
Забор крови проводили в 9:00-10:00 часов утра натощак пункцией из локтевой вены. Пробы крови сразу же помещали в термостат при 37оС, затем центрифугировали при 3000g в течение 10 минут при 37оС и отбирали сыворотку, которую использовали в последующих экспериментах. Выделение КГ из свежих образцов сыворотки крови проводили в соответ-ствии с ранее описанным методом [6,7]. Концентрацию КГ определяли по содержанию в них белка методом Lowry et al [11], используя в качестве стандарта бычий сывороточный альбумин. Цитотоксичность КГ по отношению к лимфоцитам оценивалась при использовании 3-(4,5-диметилтиазол-2-ил)-2,5 дифенилтетразолия бромистого (МТТ) в качестве индикатора жизнеспособности клеток методом (МТТ- анализ) Kasugai et al [8]. Выделение и культивирование лимфоцитов. Лимфоциты были получены из гепаринизированной крови здоровых доноров с использованием стандартного градиента плотности
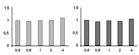
Рис. 1. Сравнение числа жизнеспособных лимфоцитов после инкубации различными концентрациями КГ-ов. а - время инкубации 24 часа; б - время инкубации 48часов.
фикола (Ficoll-Paque, Amersham Pharmacia Biotech). Лимфоциты культивировали при концентрации 106 клеток/мл в жидкой среде, включающей RPMI-1640 (Life Technologies, Великобритания), куда добавляли
Рис. 2. Концентрации ФНО-а в культуральной среде после инкубации лимфоцитов с КГ-ми, выделенными из крови больных ШЗ.
1% глутамин, 1% пенициллин-стрептомицин, 1% HEPES и 10% эмбриональную телячью сыворотку и инкубировали при 37оC и 5% CO2. Уровень ФНО-а был определен методом иммуноферментного анализа (ИФА), при использовании коммерческого набора соответствующих реактивов (“Вектор-Бест”, Россия), в соответствии с инструкцией производителя. Концентрацию выражали в пг/мл культуральной среды.
Статистический анализ данных был проведен с помощью программы «GraphPad Prism 3.03» software (GraphPad Software Inc, США) при использовании t-теста Стьюдента. Значения р‹0,05 были приняты как статистически достоверные.
Результаты
Чтобы проверить являются ли КГ цитотоксичными для лимфоцитов, в культуру этих клеток добавляли КГ (0,6-4,0мг/мл) и инкубировали в течение 24- ех и 48-и часов при температуре 37оC. После инкубации проводился МТТ-анализ. Согласно полученным результатам, КГ больных ШЗ не проявляли цитотоксичного действия на клетки лимфоцитов человека в культуре (рис. 1).
Для выявления возможного стимулирующего воздействия КГ-ов на продукцию ФНО-а лимфоцитами, культивируемые клетки инкубировали с КГ- ами различных концентраций, в течение 24-ех и 48-и часов, после чего определяли уровень ФНО-а в культуральной среде с помощью ИФА. Как видно из данных, представленных на рисунке 2, начиная с концентрации КГ-ов 1мг/мл, наблюдается выраженная индукция экспрессии ФНО-а лимфоцитами. Максимально использованная нами концентрация КГ-ов составляла 4мг/мл, при которой продукция ФНО-а в 9 раз превышала таковую интактных культивируемых лимфоцитов (р‹0,05).
Обсуждение
КГ являются неспецифическими маркерами активации иммунной системы и развития воспалительных реакций. Полученные нами результаты показали, что КГ не являются цитотоксичными для лимфоцитов человека, однако их накопление в кровотоке и отложение в тканях (например, на сосудистом эндотелиуме) могут стимулировать экспрессию провоспалительного цитокина, ФНО-а. Принимая во внимание ключевую роль ФНО-а в воспалительном ответе, мы пришли к выводу, что КГ могут способствовать развитию воспалительных процессов, характерных для патогенеза ШЗ и, таким образом, вносить свой вклад в нарушения иммунного статуса организма, наблюдаемые при данной патологии.
Выводы
- КГ типа III, выделенные из крови больных ШЗ- ей, в концентрации ≤ 4мг/мл не цитотоксичны для лимфоцитов человека.
- КГ типа III, выделенные из крови больных ШЗ- ей, индуцируют экспрессию ФНО-а лимфоцитами человека при концентрации ≥1мг/мл.
- КГ типа III, могут быть ответственны за развитие воспалительных реакций и нарушение иммунного статуса организма при ШЗ.
Благодарность
Работа выполнена при поддержке гранта Национального фонда науки и передовых технологий РА (#ECSP-10-01_GRSP).
Список литературы
- Хоецян А.Г., Бояджян А.С. Роль аномалий развития мозга в патогенезе шизофрении. Журнал неврологии и психиатрии им. С.С. Корсакова (Москва), 2010, 110 (2), 97-101.
- Boyajyan, A., et al. Cryoglobulins as indicators of upregulated immune response in schizophrenia. Clin Biochem, 2008. 41(6): p. 355-60.
- Brouet, J.C., et al. Biologic and clinical significance of cryoglobulins. A report of 86 cases. Am J Med, 1974. 57(5): p. 775-88.
- Ferri, C., A.L. Zignego, and S.A. Pileri. Cryoglobulins. J Clin Pathol, 2002. 55(1): p. 4-13.
- Ferri, C. and M.T. Mascia. Cryoglobulinemic vasculitis. Curr Opin Rheumatol, 2006. 18(1): p. 54-63.
- Hardin et al. Cryoprecipitogogue from normal serum: mechanism for cryoprecipitation of immune complexes. Proc Natl Acad Sci U S A. 1981 Jul;78(7):4562-5.
- Kallemuchikkal, U. and PD. Gorevic Evaluation of cryoglobulins. Arch Pathol Lab Med, 1999. 123(2): p. 119-25.
- Kasugai S, Hasegawa N, Ogura H. A simple in vito cytotoxicity test using the MTT (3-(4,5)-dimethylthiazol-2-yl)-2,5-diphenyl tetrazolium bromide) colorimetric assay: analysis of eugenol toxicity on dental pulp cells (RPC-C2A). Jpn J Pharmacol. 1990 Jan;52(1):95-100.
- Khoyetsyan A., Boyajyan A. Chapter X. The prospective epigenetic keys for the inflammatory puzzle of schizophrenia. In: Schizophrenia Research: Recent Advances (Editor: T. Sumiyoshi), Nova Science Publishers Inc., USA, 2012, pp.1-70.
- Lospalluto, J., et al. Cryoglobulinemia based on interaction between a gamma macroglobulin and 7S gamma globulin. Am J Med, 1962. 32: p. 142-7.
- Lowry OH, Rosebrough NJ, Farr AL, Randall RJ. Protein measurement with the Folin phenol reagent. J Biol Chem. 1951 Nov;193(1):265-75.
- Mathsson, L., et al. Cryoglobulin-induced cytokine production via FcgammaRIIa: inverse effects of complement blockade on the production of TNF-alpha and IL-10. Implications for the growth of malignant B-cell clones. Br J Haematol, 2005. 129(6): p. 830-8.
- Diagnostic and statistical manual of mental disorders by the American Psychiatric Association. 4th ed., text revised. USA (Amer. Psychiatric Pub.), 2000, -943pp.
29.11.2012 Читайте также
Методы медицинской визуализации (ультразвуковое исследование -УЗИ, компьютерная томография - КТ, магнитно-резонансная томография - МРТ), несмотря на различные способы получения изображения, отражают макроструктуру и анатомотопографические особенности органов...
30.11.2012 В последние десятлетия опубликованы данные о существовании в жидкостях тела млекопитающих (сыворотка, плазма, слюна, моча, грудное молоко, а также асцитные жидкости различного характера) экзосомов, которые секретируются из нормальных и опухолевых клеток [1]...
28.11.2012 Введение
Каждого пациента изначально волнует вопрос относительно продолжительности ортодонтического лечения. Ответ ортодонта на данный вопрос, как правило, зависит от множества факторов...
27.11.2012 Проблема рассеянного склероза (РС) продолжает оставаться одной из актуальных проблем в неврологии. РС по данным ВОЗ относится к числу наиболее распространенных причин нетрудоспособности в молодом возрасте - от 20 до 40 лет...
26.11.2012 Множество работ свидетельствует о важнейшей роли генетических факторов в развитии шизофрении [9,42]. Однако весь комплекс генетических дефектов, ответственных за развитие этого заболевания пока еще не выявлен...
23.11.2012 Аналог адреналина - норэпинефрин (5мкМ) повышает супероксид (О2¯ )-продуцирующую активность NADPH оксидазы и вызывает апоптоз вентрикулярных кардиомиоцитов в культуре этих клеток...
22.11.2012 В последние годы все большее внимание уделяется показателям, имеющим прогностическое значение при раке щитовидной железы. Хорошо известно, что целый ряд морфологических признаков определяет метастатический потенциал и агрессивные свойства первичной опухоли...
21.11.2012 Введение
Лектины - это белки, которые обратимо и специфически связываются с углеводной частью глюкоконьюгатов (моно - и олигосахаридов мембран клеток и структур экстрацеллюлярного матрикса) без нарушения их структуры...
20.11.2012 Введение
Кардиотокография (КТГ) - это современная методика оценки состояния плода по характеру его сердцебиения. В настоящее время кардиотокография является одним из ведущих методов оценки состояния плода [1,2,4-6,8,9,12-16,18,22-25,27]...
19.11.2012 Известный онколог С. А. Холдин писал: «Едва ли найдется еще какой-нибудь орган, который при сравнительной несложности и однообразности структуры давал бы такое богатство форм и типов новообразовательного роста, как щитовидная железа» [1]...
16.11.2012 Введение
Последние достижения в области гликобиологии позволяют по новому взглянуть на роль углеводов. В настоящее время система углевод-белкового узнавания рассматривается как дополнительная к генетическому коду, суть которой заключается в следующем...
15.11.2012 В рамках методологии и современных критериев доказательной медицины все более акцентируется вопрос статистической парадигмы, особенно необходимости перехода от методов анализа одномерных подсистем к многомерным методам интегральной оценки структуры взаимосвязей [1,2]...
14.11.2012
САМЫЕ ЧИТАЕМЫЕ СТАТЬИ
-
Нормы роста и веса детей – данные ВОЗ
-
Зеленые выделения из влагалища: причины и лечение
- Анатомо-физиологические особенности дыхательной системы у детей
-
Насморк с кровью: причины симптома и способы лечения
- Анатомо-физиологические особенности сердечно-сосудистой системы у детей
- Анатомо-физиологические особенности пищеварительной системы у детей
- Анатомо-физиологические особенности мочевыделительной системы у детей
- Сравнительная характеристика параметров функции внешнего дыхания (обзор литературы)
- Современные представления о норме и патологических отклонениях размеров восходящей аорты при приобретенных пороках сердца
- Анатомо-физиологические особенности детей
- Анатомо-физиологические особенности костно-мышечной системы у детей
- Паллиативная химиотерапия рака: основные понятия и особенности (oбзор литературы)
-
Что можно и что нельзя делать после удаления аппендицита
-
Увеличенные яичники: симптомы, причины и лечение
-
Новейшие достижения онкологии в МЦ «Наири»: интервью с Артемом Степаняном. nairimed.com
-
О чем говорит головная боль за ухом? Причины, симптомы и лечение
-
Как снизить риск инсульта. erebunimed.com
-
Характер мужчины проявляется в выборе позы для секса
-
Армянская ассоциация медицинского туризма (ААМТ)
-
Желтые выделения из влагалища: причины и лечение
-
Рвота у ребенка без температуры: возможные причины
- Применение летрозола для стимуляции овуляции
- Врожденные аномалии и пороки развития
-
КАТИОНОРМ – представитель нового поколения искусственных слез для симптоматической терапии синдрома “сухого глаза”
-
Арам Бадалян: Родинку трогать нельзя?
- Применение противоспаечных средств в профилактике спаечной болезни живота (oбзор литературы)
-
Как избавиться от лямблий — 25 эффективных рецептов народной медицины
-
Вздутие живота при месячных: 7 способов справиться с неприятным ощущением
-
Компресс при ангине: будет ли полезным прогревание горла?
-
Онкология является самой быстроразвивающейся отраслью медицины: интервью с Левоном Бадаляном
-
Лечение марганцовкой
- Некоторые новые подходы к системной терапии метипредом больных ревматоидным артритом
- Медицинские информационные системы.Информационная система для интегрального фармацевтического и здравоохранного мониторинга
-
Фармацевтическая опека
- Подходы к оперативному лечению костно-хрящевых экзостозов
- Повреждения при родах
- Инциденталома надпочечников
-
Курение марихуаны влияет на потенцию
-
Почему противозачаточные увеличивают грудь?
- Применение индинола и эпигаллата при аденомиозе













Научная медицина
Болезни
Традиционная медицина
Здоровый образ жизни
Косметология
Медицинское право
Алгоритмы, тесты
Цифры, факты, случаи
Историческая хроника
Афоризмы
Карьерная лестница
Дети
Женщина
Мужчина
Рейтинговая система

