Вопросы теоретической и клинической медицины 3.2012
Математическое обоснование геометрии перемещения зуба под воздействием ортодонтической дуги круглого сечения при применении интерактивных самолигирующихся брекет-систем
Введение. Ортодонтическое лечение продолжает усовершенствоваться и в повышении его эффективности играют важную роль различные подходы лечения с использованием современных брекет- систем. Самолигирующиеся брекеты приобретают все большую популярность в последние годы. Впервые они были представлены в ортодонтии еще несколько декад назад. Несмотря на это, прорыв в продукции и выпуске самолигирующихся брекетов активного и пассивного типа произошел только в течение последних двух десятилетий. Самолигирование не является новой концепцией в ортодонтии. Первый самолигирующийся брекет Russel Lock был представлен Stolzenberg [1] еще в ранние 1930-е. Возможно, из-за скептицизма в ортодонтическом сообществе, или недостатка рекламы, данный брекет не получил большой популярности. Идею о системе самолигирующихся брекетов возродил Wildman, с внедрением брекет-системы Edgelok (Ormco, Glendora, California) в 1972г. [2,3,4] В дальнейшем различными фирмами были предложены новые разновидности самолигирующихся брекет-систем, такие как: Speed Activa, Time, Damon SL, Damon 2, Damon 3, SmartClip, In-Ovation-R [3,4,5,6,7,8,9,10,11]. В последние годы, с появлением различных видов новых брекет-систем, вновь возрос интерес к самоли- гированию. Самолигигирующиеся брекеты могут быть разделены на две основные группы: активные и пассивные. Активные имеют упругую клипсу, которая производит давление на ортодонтическую дугу для ротации и торк контроля. Примерами активных самолигирующихся брекетов являются In-Ovation (GAC International, Central Islip, NY), SPEED (Strite Industries, Cambridge, Ontario, Canada), и Time (Aden- ta, Gilching/Munich, Germany). Пассивные самолиги- рующиеся брекеты обычно имеют крышку, которая закрывается, не захватывая полость паза, таким образом не оказывая активного давления на дугу. Двумя наиболее популярными марками пассивных са- милигирующихся брекетов являются Damon (Ormco, Glendora, Calif) and SmartClip (3M Unitek, Monvoria, Calif). Доводы о том, что самолигирующиеся брекеты уменьшают силы трения часто отмечаются как главное преимущество самолигирующихся брекетов над традиционными [12-16] Это связано с тем, что при использовании самолигирующихся брекетов исключаются обычные металлические или эластичные лигатуры. Меньше сил трения, следовательно, меньше силы, необходимой для перемещения зубов. [17,18] Считается также, что самолигирующиеся брекеты имеют потенциальные преимущества в отношении более физиологически гармоничного перемещения зубов, без пересиливания мускулатуры и нарушения целостности сосудистой системы периодонта [19]. Следовательно, считается возможным более выраженное образование альвеолярной кости,большая степень расширения, меньше проклинации фронтальных зубов, и меньше необходимости в удалении отдельных зубов при ортодонтическом лечении. Вышесказанное заставляет ортодонтов задуматься над тем, чтобы более тщательно исследовать неизученные стороны данных брекетов, предположительно, работающих по другому механизму.
Исходя из этого, целью данного исследования явилось математическое обоснование геометрии перемещения зуба под воздействием ортодонтической дуги круглого сечения при применении интерактивных самолигирующихся брекет-систем.
Материал и методы
В исследовании изучался интерактивный самолигирующийся брекет In-Ovation-R, производимый фирмой GAC®. Считается, что данная система пассивно держит дугу в пазе брекета в течение выпрямления и выравнивания и, как только размеры дуги увеличиваются, плотный контакт дуги с клипсой брекета делает его активным [9]. Нами был рассмотрен брекет с пазом 0.18 дюйм. Классический паз 0.18 имеет вертикальную и горизонтальную части. Длина вертикальной части составляет 4.572 мм (0.18 дюйм), а горизонтальной - 6.35 мм (0.25 дюйм).Основной рабочей частью интерактивного самолигирующегося брекета In-Ovation R (рис.1) является клипса. Интерактивная клипса сделана из сплава CoCr, и благодаря своим пружинным свойствам, оказывает дополнительное воздействие на дугу, что заметно ускоряет процесс лечения. Исследование проводилось с целью математического обоснования перемещения зуба под воздействием ортодонтической дуги круглого сечения.
Рис. 1. Интерактивный самолигирующийся брекет In- Ovation-R
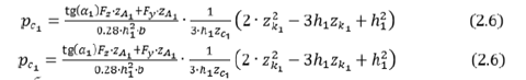
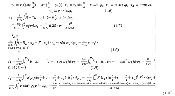
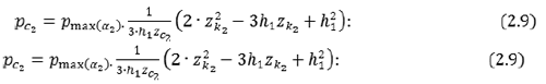
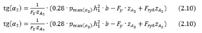
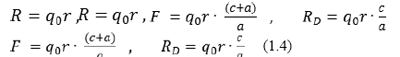
На рис. 2 изображена расчетная схема интерактивной самолигирующейся брекет-системы In-Ovation R, где R-действующая сила давления губы на клипсу, F-действующая сила ортодонтической
Рис. 2. Расчетная схема клипсы.
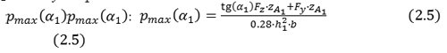
Рис.3. Определение эквивалента давления губы на клипсу дуги брекет-системы на клипсу
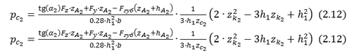
дуги брекет-системы на клипсу, RD -действующая сила брекета на клипсу, а, с-геометрические параметры клипсы: а-расстояние между линиями действия сил F и RD с-расстояние между линиями действия сил F и R. Используя уравнения равновесия возможно создать связь между силами F и RD и R. Были составлены уравнения равновесия для клипсы данного брекета.
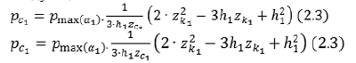
- Было выявлено, что пружинные свойства интерактивной клипсы играют важную роль в перемещении зубов уже на начальных этапах ортодонти- ческого лечения.
- Была установлена принципиально новая законо-мерность в отношении перемещения центра вра-щения зуба в сторону его коронки на этапе при-менения ортодонтических дуг круглого сечения при использовании активных самолигирующихся брекет-систем In-Ovation R.
- В результате изменения положения центра вращения зуба, происходит перемещение апикальной части корня в вестибулярном направлении уже на этапе нивелирования зубного ряда. Данное явление лежит в основе оппозиционного роста альве-олярной кости на ранних этапах ортодонтического лечения.
Список литературы
- Stolzenberg J. Int J Orthod Dent Child 1935; 21:837-40.2.
- Berger JL. Am J Orthod Dentofacial Orthop. 1994 Mar;105(3):217-23.
- Rinchuse DJ, Miles PG. Am J Orthod Dentofacial Orthop.2007 Aug; 132(2):216-22.
- Shivapuja PK, Berger J. Am J Orthod Dentofacial Orthop.531994 Nov; 106(5):472-80.
- Hanson GH. Am J Orthod. 1980 Sep; 78(3):243-65.
- Harradine NW. J Orthod. 2003 Sep; 30(3):262-73.
- Henao SP, Kusy RP. Angle Orthod. 2004 Apr; 74(2):202-11.
- Damon DH. J Clin Orthod. 1998 Nov; 32(11):670-80.
- Closs LQ, Mundstock KS. et al. Rev Clín Ortod DentalPress. 2005 abr-maio; 4(2):60-66.
- CN, Miguel JAM. Rev Dental Press Ortod Ortop Facial.2008 maio-jun; 13(3):97-103.
- Miles PG. Am J Orthod Dentofacial Orthop. 2007 Aug;132(2):223-5.
- Damon DH. Clin Orthod Res 1998; 1:52-61.
- Griffi ths HS, Sherriff M, Ireland AJ. Am J Orthod Dentofacial Orthop 2005; 127:670-5.
- Henao SP, Kusy RP. Angle Orthod 2005; 75:75-85.
- Khambay B, Millett D, McHugh S. Eur J Orthod 2004;26:327-32.
- Kim TK, Kim KD, Baek SH. Am J Orthod Dentofacial Orthop 2008; 133:187.e15-24.
- Berger JL. Am J Orthod Dentofacial Orthop 1990;97:219-28.
- Sims AP, Waters NE, Birnie DJ, Pethybridge RJ. Eur J Orthod 1993; 15:377-85.
- Voudouris JC. Am J Orthod Dentofacial Orthop. 1997 Feb; 111(2):119-40.
- Graber T., Vanarsdall R., Orthodontics, current principles and technique. Mosby. 2000. 3 ed. 1007p.
- Nanda R., Biomechanics and esthetic strategies in clinical orthodontics. Saunders, 2005, 1 ed. 386p.
- Proffi t W.R., Fields H.W., Sarver D.M., Contemporary orthodontics. Mosby. 2007, 4 ed. 751p.
- Harradine NW. Self-ligating brackets and treatment effi ciency. Clin Orthod Res. 2001 Nov; 4(4):220-7.
- Miles PG. Aust Orthod J. 2005 Nov; 21(2):123-7.
- Jiang RP, Fu MK. Zhonghua Kou Qiang Yi Xue Za Zhi.2008 Aug; 43(8):459-63.
- Tecco S, Tete S, Perillo L, Chimenti C, Festa F. World J Orthod. 2009 Winter; 10(4):290-4.
18.10.2012 Читайте также
Впервые экстрацеллюлярная NADPH оксидаза (еNох) или цитохром b558 была выделена из сыворотки плацентарной крови женщин с использованием ионообменной хроматографии на целлюлозах КМ-52, ДЕ-52 и сефадексе ДЕАЕ А-50 [6]...
31.10.2012 В результате интенсивных многосторонних исследований накоплены обширные экспериментальные данные на животных и людях, связанные с унаследованными от матери влияниями в результате пренатального стресса (ПНС)...
30.10.2012 Генетическая детерминированность факторов риска для развития заболеваний пародонта в последнее время вызывает пристальное внимание ученых. Так, в числе различных социально-экономических, экологических, демографических и других факторов...
29.10.2012 Частота выявляющих в клинике цирроза печени нарушения функций сердечно-сосудистой системы и разнообразие мнений о механизме сердечной смерти [1,6] требуют дальнейшего уточнения патоморфологических проявлений...
26.10.2012 Вопросами клинических проявлений психического дефекта при шизофрении, его типологией, систематикой на протяжении многих десятилетий занимались различные исследователи. Однако систематика шизофренического дефекта всегда оставалась одной из наиболее сложных и противоречивых проблем из всех аспектов изучения шизофрении...
25.10.2012 Введение
Спаечная болезнь является следствием различных патологических процессов органов брюшной полости. Она развивается в 80% случаев после операций и в 20% - после ранений или воспалительных процессов...
24.10.2012 Введение
Спаечная кишечная непроходимость - актуальная проблема современной абдоминальной хирургии, является одным из проявлений спаечной болезни живота. Внутрибрюшные спайки образуются в результате абдоминальных операций до 93-100% случаев [2,3,14]...
23.10.2012 Проблема участия иода в функционировании различных органов и систем известна с давних времен. Иод важен для обеспечения нормальной функции щитовидной железы, он поглощается большинством желез...
22.10.2012 Актуальность
По мнению ряда российских авторов [7,12] снижение рождаемости на фоне ухудшения демографической ситуации в России позволяет считать задачей первостепенной важности снижение перинатальной заболеваемости и летальности...
19.10.2012 Проблема профилактики кариеса зубов остается одной из наиболее актуальных задач современной стоматологии и в настоящее время приобретает приоритетное направление...
17.10.2012 Актуальность. Имеющиеся данные литературы указывают, что проблема летальности и смертности среди детей по причине соматической патологии имеет весьма важное значение [1-4, 6-10]. В РА проблема летальности среди детей с учетом места их проживания изучена недостаточно...
16.10.2012 С учетом установившихся на сегодняшний день новых рыночных отношений, когда практически нет отчетности, сложившаяся ситуация настоятельно требует новых подходов и решений. В то же время, получаемая при этом база данных представляет собой уникальную возможность для оценки стоматологической заболеваемости...
15.10.2012 До настоящего времени аутоиммунный оофорит является почти недиагностируемой патологией в широкой клинической практике. В то же время известно, что восстановительная терапия и индукция овуляции этой патологии возможна лишь на ранних стадиях заболевания [2,4,5,7]...
12.10.2012 В последнее время появилось немало научных исследований, посвященных роли аутоиммунных на-рушений в патогенезе различных гинекологических заболеваний, в частности, гормональной недостаточности яичников [1,3,4,8,9,12]...
11.10.2012
САМЫЕ ЧИТАЕМЫЕ СТАТЬИ
-
Нормы роста и веса детей – данные ВОЗ
-
Зеленые выделения из влагалища: причины и лечение
- Анатомо-физиологические особенности дыхательной системы у детей
-
Насморк с кровью: причины симптома и способы лечения
- Анатомо-физиологические особенности сердечно-сосудистой системы у детей
- Анатомо-физиологические особенности пищеварительной системы у детей
- Анатомо-физиологические особенности мочевыделительной системы у детей
- Сравнительная характеристика параметров функции внешнего дыхания (обзор литературы)
- Современные представления о норме и патологических отклонениях размеров восходящей аорты при приобретенных пороках сердца
- Анатомо-физиологические особенности детей
- Анатомо-физиологические особенности костно-мышечной системы у детей
- Паллиативная химиотерапия рака: основные понятия и особенности (oбзор литературы)
-
Что можно и что нельзя делать после удаления аппендицита
-
Увеличенные яичники: симптомы, причины и лечение
-
Новейшие достижения онкологии в МЦ «Наири»: интервью с Артемом Степаняном. nairimed.com
-
О чем говорит головная боль за ухом? Причины, симптомы и лечение
-
Как снизить риск инсульта. erebunimed.com
-
Характер мужчины проявляется в выборе позы для секса
-
Армянская ассоциация медицинского туризма (ААМТ)
-
Желтые выделения из влагалища: причины и лечение
-
Рвота у ребенка без температуры: возможные причины
- Применение летрозола для стимуляции овуляции
- Врожденные аномалии и пороки развития
-
КАТИОНОРМ – представитель нового поколения искусственных слез для симптоматической терапии синдрома “сухого глаза”
-
Арам Бадалян: Родинку трогать нельзя?
- Применение противоспаечных средств в профилактике спаечной болезни живота (oбзор литературы)
-
Как избавиться от лямблий — 25 эффективных рецептов народной медицины
-
Вздутие живота при месячных: 7 способов справиться с неприятным ощущением
-
Компресс при ангине: будет ли полезным прогревание горла?
-
Онкология является самой быстроразвивающейся отраслью медицины: интервью с Левоном Бадаляном
-
Лечение марганцовкой
- Некоторые новые подходы к системной терапии метипредом больных ревматоидным артритом
- Медицинские информационные системы.Информационная система для интегрального фармацевтического и здравоохранного мониторинга
-
Фармацевтическая опека
- Подходы к оперативному лечению костно-хрящевых экзостозов
- Повреждения при родах
- Инциденталома надпочечников
-
Курение марихуаны влияет на потенцию
-
Почему противозачаточные увеличивают грудь?
- Применение индинола и эпигаллата при аденомиозе













Научная медицина
Болезни
Традиционная медицина
Здоровый образ жизни
Косметология
Медицинское право
Алгоритмы, тесты
Цифры, факты, случаи
Историческая хроника
Афоризмы
Карьерная лестница
Дети
Женщина
Мужчина
Рейтинговая система














