Вопросы теоретической и клинической медицины 1.2012
Необратимое снижние преднизолоном уровня и активности клбри оксидаз в гомогенной и гетерогенной фазах
Преднизолон (ПН) в большинстве случаев подавляет активность супероксид (О2)- продуцирующих систем при различных патологических состояниях. При аутоиммунных, ревматических заболеваниях ПН подавляет О2- продуцирующую активность NADPH оксидазы, приближая ее к норме [7]. С другой стороны, как потенциальный противовоспалительный препарат, ПН неэффективен в случае дыхательной недостаточности, при которой стимулируется продуцирование О2-, (последние, воздействуя с NO, образуют высокотоксичные иминопероксильные радикалы). При инкубировании ПН и ФНО-алфа с эндотелиальными клетками дыхательной артерии свиней в течение 16ч наблюдается существенное увеличение продуцирования О2- и экспрессии gp 91 phox NADPH оксидазы и нитрит оксид синтазы, однако не влияет на ход продуцирования О2- клетками гладких мышц [8]. ПН (10мкмоль) и дексаметазон подавляют продуцирование О2- тромбоцитами человека, проявляя антивоспалительный эффект [10]. При гипертензии и атеросклерозе ПН и дексаметазон также подавляют процесс продуцирования О2- клетками сосудов гладких мышц в культуре клеток [6]. Ок- сидативное поврвждение клеток сосудов активными формами кислорода (АФК), продуцируемыми активированными фагоцитами, имеет место при артрите (воспаление сосудов). При этом наблюдается повышение уровня АФК в 2-8 раз, а ПН подавляет О2- продуцирующую активность NADPH оксидазы моноцитов и нейтрофилов, приближая ее к норме [7]. В эксперименте введенный крысам вместе с питьевой водой метилпреднизолон (0,15мг/кг) в течение 48ч также вызывает концентрационно-зависимое подавление продуцирования О2- моноцитами и макрофагами [9]. Таким образом, при различных заболеваниях ПН, в подавляющем большинстве случаев, снижает О2-продуцирующую активность NADPH оксидаз. Однако молекулярно-биохимические механизмы действия ПН на эти ферменты (или причины инак- тивирования NADPH оксидаз) недостаточно выяснены. Определение этих механизнов на оптическом спектральном уровне in vitro и ex vivo являлось целью работы.
Материал и методы
Выделение и очистка изоформ NADPH оксидазы или цитохрома b558 из мембран и ядер клеток селезенки, а также из мембран клеток костного мозга крыс. NADPH оксидазы (Nox) из мембран клеток селезенки (МКС), ядер клеток селезенки (ЯКС) и мембран клеток костного мозга (МККМ) выделяли и очищали без использования детергента для солюбилизации указанных гемопротеинов (использовали 30г ткани селезенки). После промывания селезенки и костного мозга физиологическим раствором и взвешивания, гомогенизацию тканей проводили в 0,25М сахарозе (1г ткани в 10мл сахарозы) стеклянным го-могенизатором с тефлоновым пестиком в течение 1мин при 4о. Ядра клеток осаждали центрифугированием гомогената при 3000 об/мин, в течение 10мин. После осаждения митохондрий из супернатанта центрифугированием 14000 об/мин, 15мин, осадок МКС и МККМ собирали центрифугированием при рН 5,6 в течение 15 мин [2]. Осадки ЯКС, МКС и МККМ промывали водой (1:50об/об) и центрифугировали в аналогичных условиях. Очищенные от следов сахарозы и других сопутствующих водорастворимых солей МКС, ЯКС и МККМ далее смешивали с водой (1:5об/об) и повторно гомогенизировали в аналогичном режиме. После солюбилизации изоформ Кох из очищенных МКС, ЯКС и МККМ и центрифугирования, супернатанты подвергали ионообменной хроматографии на колонке с целлюлозой КМ-52 (для удаления следов сопутствующих белков основного характера). Не задерживающиеся на колонке с КМ-52 белковые фракции далее подвергали ионообменной хроматографии на колонке с целлюлозой ДЕ-52.После промывания колонки сначала водой, а затем 0,01М калий фосфатным буфером рН 7,4 (КФБ), изоформы Кох кислой природы из МККМ, ЯКС и МКС из колонки ДЕ-52 элюировали 0,2М КФБ. После гель-фильтрации этих Кох на колонке с сефадек- сом 0100, центральная фракция имела электрофоре- тически гомогенное состояние [3].
Выделение и очистка изоформы Nox из эритроцитарных мембран. Фракцию Кох из эритроцитар- ных мембран (ЭМ) выделяли путем ее солюбилизации из ЭМ (последние выделяли из 30мл эритроцитов крови крыс), диализа против воды, центрифугирования и ионообменной хроматографии супер- натанта на колонках с целлюлозой КМ-52 и ББ-52, а также гель-фильтрации на колонке с сефадексом 0100 [7]. В результате этого из ЭМ получали электрофоретически гомогенный препарат Кох кислой природы.
Выделение и очистка изоформы экстрацеллолярный Nox (eNox) из сыворотки крови крыс. После инкубирования очищенной от следов эритроцитов и клеток плазмы сыворотки в течение 4 суток при 4оС ее подвергали диализу против воды. После центрифугирования диализата (12000 об/мин, 10мин), су- пернатант (фракция еКох) подвергали ионообменной хроматографии на сефадексе ДЕАЕ А-50 из которой еКох элюировали 0,04М КФБ. Далее, после разбавления элюата водой (в 40 раз), его подвергали ионообменной хроматографии на колонке с целлюлозой ДЕ-52, из которой фракцию еКох элюировали 0,04М КФБ. Подвергнутая гель-фильтрации на колонке с сефедексом 0100 еКох (центральная фракция) имела электрофоретически гомогенное состояние [5]. Уровень Nox определяли путем измерения характерной для нее оптической плотности при 530нм (в полоса поглощения). Удельное содержание Nox из МКС, МККМ, ЯКС, ЭМ и еNOX определяли из расчета на 1мл раствора Nox, полученной из 1г селезенки, 1г костного мозга, 1мл сыворотки и 1мл эритроцитов.
Определение NADРН зависимой О2-продуцирующей активности изоформ Nox. NАДРН зависимую О2-продуцирующую активность Nox в гомогенной и гетерогенной фазах (непосредство в мембранах) определяли нитротетразолиевым синим (НТС) методом, путем вычисления процента образующегося формазана при 560 нм в результате восстановления НТС супероксидными радикалами. За единицу NАДРН зависимой О2-продуцирующей активности Nox принимали количество белка (плотность оптического поглощения β-полосы при 530нм), которое стимулирует образование формазана на 50%. Удельная NADPH зависимая О2-продуцирующая активность Nox была определена в расчете на 1мл эри-троцитов, 1мл сыворотки, 1г селезенки и 1г костного мозга [4].
Определение ферригемоглобин-восстанавливающей активности Nox. Ферригемоглобин (ферри- НЬ)-восстанавливающую активность изоформ Nox [11] в гомогенной и гетерогенной фазах (непосредственно в мембранах) определяли, используя свеже- полученный ферриНЬ цитозоли эритроцитов крыс с величиной плотности оптического поглощения (а-полоса поглощения) при А565=0,8. Непосредственно в кварцевых кюветах спектрофотометра, к 3мл раствора ферриНb добавляли 0,2мл Nox с А530=0,3. После перемешивания реакционной смеси ее инкубировали в аэробных условиях в течение 15-16ч при 30о. Далее, после повторного перемешивания реак-ционной смеси определяли кинетику восстановления ферриНb до ферроНb путем измерения снижения плотности а-полосы поглощения ферриНЬ при 565нм (это снижение прямо-пропорционально количеству образующегося ферроНb при А555). За единицу ферриНЬ-восстанавливающей активности Nox принимали количество белка, вызывающего снижение плотности максимального оптического поглощения а-полосы ферриНЬ величиной до 0,05 оптической единицы в течение часа при 20о. Удельная ферриНb-восстанавливающая активность изоформы Nox была определена в расчете на 1мл эритроцотов, 1 мл сыворотки, 1 г селезенки и 1 г костного мозга.
Условия воздействия преднизолона на изоформы Nox в гомогенной фазе (в растворв). В опытных пробах ПН (фирмы «Sigma», США) в количестве 10мг был растворен в этаноле (по 1мл) и добавлен к растворам (по 5 мл) приведенных электрофоретически гомогенных изоформ Nox (последние были растворены в 0,2М КФБ) in vitro (гомогенная фаза). K контрольным пробам были добавлены по 1 мл этанола в приведенном режиме. Контрольные (К) и опытные (Оп) пробы Nox из МККМ, МКС, ЯКС, ЭМ и из сыворотки крови (еКох) инкубировали при 36о в течение 60мин. После центрифугирования проб при 12000об/мин в течение 10мин были определены оптические спектральные показатели, NADPH зависимая О2-продуцирующая и ферриИb-востанавливающая активности этих Nох.
Условия воздействия ПН на изоформ Nох в гетерогенной фазе. В опытных пробах ПН в количестве до 10мг были растворены в этаноле (по 1мл) и добавлены к смесям МККМ, МКС, ЯКС и ЭМ (по 5мл). К контрольным пробам были добавлены по 1мл этанола в приведенном режиме. Контрольные и опытные пробы МККМ, МКС, ЯКС, ЭМ инкубировали при 36о в течение 60мин. Вначале были определены NADPH зависимая О2-продуцирующая и ферриИb-восстанавливающая активности этих ферментов в гетерогенной фазе (непостредственно в МККМ, МКС, ЯКС, ЭМ). Далее из них было осуществлено выделение фракций изоформ Кох по вышеприведенными способами, с определением их оптических спектральных характеристик и активностей. Оптические спектральные измерения осуществляли на спектрофотометре “Specord UV/VIS” (Германия), с длиной оптического пути 1см. Статистическую обработку полученных результатов осуществляли общеизвестным методом вариационной статистики Стьюдента-Фишера с определением критерия достоверности «р».
Результаты и обсуждение
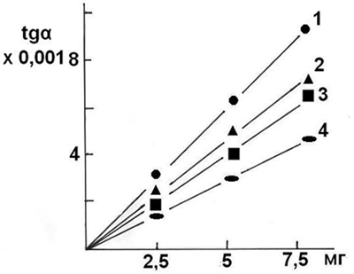
В гомогенной фазе, в результате инкубирования ПН (по 10мг) с растворами электрофоретически гомогенных изоформ Кох из ЭМ, МККМ, МКС, ЯКС и сыворотки крови в приведенных условиях происходит существенное снижение плотности характерного максимального оптического поглощения (при 530нм) этих Кох. При этом ПН не изменяет этот показатель у еКох (рис.1). С другой стороны, ПН не вызывает изменение формы оптических спектров поглощения приведенных Кох. Больше всего снижается плотность оптического поглощения Nох из ЭМ, далее из МККМ, МКС и, наконец, из ЯКС (рис.2). С увеличением доз ПН наблюдается повышение скорости tg наклона угла кинетических кривых) снижения плотности оптического поглощения Nох (при 530нм), которая выше у Nох из ЭМ, далее из МККМ, МКС и, наконец, из ЯКС (рис.3). Под влиянием ПН в указанном режиме также наблюдается снижение NADPH зависимой О2-продуцирующей и ферриИЬ- восстанавливающей активностей приведенных Nох из ЭМ. МККМ. МКС и ЯКС. В этих условиях активности у еКох практически не изменяются (таблица).
Под влиянием ПН также наблюдается снижение уровня и активностей Кох в гетерогенной фазе (непосредственно в ЭМ, МККМ, МКС и ЯКС), как это показано на рис.4. ПН вызывает необратимую агрегацию (потерия растворимости) изоформ Кох из клеточных компонентов органов иммунной системы (костный мозг, селезенка), а также из ЭМ в гомогенной и гетерогенной фазах. Об этом свидетельствует необратимое снижение уровня
Таблица. NADPH зависимая О2- - продуцирующая и ферриHb-восстанавливающая активности Nox из контрольных (К) и опытных (ОП) проб, после воздействия 10 мг ПН. p‹ 0,03, П =6)
|
Источники Кох |
О2--продуцирующая активность Кох |
ФерриИЬ-восстанавливающая активность Кох |
||
|
К |
ОП |
К |
ОП |
|
|
Сыворотка крови |
25,4 ± 4,8 р<0,01 |
24,8 ± 5.2 р<0,01 |
14,8 ± 2 7 |
14,5 ± 3,0 |
|
ЭМ |
12,9 ± 1,8 |
5,6 ± 0,7 |
10,7 ± 1,6 |
4,8 ± 0,3 |
|
МККМ |
22,3 ± 3,1 |
7,8 ± 0,5 |
12,3 ±1,1 |
4,3 ± 0,1 |
|
МКС |
14,6 ± 3,2 |
4,4 ± 0,2 |
8,5 ± о,6 |
2,6 ± 0,2 |
|
ЯКС |
12,2 ± 1,4 р<0,02 |
2,7 ± 0.1 р<0,01 |
10,1 ± 0,5 |
2.3 ± 0,07 |
и активностей Кох, выделенных из приведенных объектов. Фактически в клеточных форморованиях ПН вызывает необратимую агрегацию Nох. Механизм необратимой агрегации Nох в гомогенной и гетерогенной фазах с соответснвенной потерей уровней, NADPH зависимой О2--продуцирующей и ферриИb-восстанавливающей активностей Кох под влиянием ультразвука, гамма-излучения [1], а также двуокиси углерода (предварительные результаты) связывается с необратимым изменениен изоэлектрической точки Кох. Этот механизм видимо действует и при инактивации этих ферментов преднизолоном. Таблетки ПН (по 5мг) применяют в клинике как противовоспалительный препарат. Мы использовали ПН ниже и выше этой дозы, для выявления дозозависимого воздействия ПН. Фактически ПН оказывает антивоспалительный эффект, подавляя О2--продуцирующую активность приведенных Nох, которые являются ключевыми ферментами продуцирования О2- клетками органов иммунной системы [12]. В данном исследовании используемые дозы ПН могут подавлять не только активность иммунной системы, но и осляблять кислородный гомеодтаз, путем снижения ферриИb- восстанавливающей активности Nох. При этом толерантность Nох против ПН несравнвнно выше у еNох, далее у Nох из ЯКС, МКС и, в последнюю очередь, из МККМ и ЭМ. Механизм повышенной толерантности еКох из сыворотки крови, скорее всего, связан с высокой стабильностью этого фермента в отношении внешних факторов.
Рис.1. Оптические спектры поглошения электрофоретически гомогенных изоформ Nox без инкубирования (а -1) и после инкубирования Nox с 10 мг ПН) из: ЯКС (а -2), МКС (а-3), ЭМ (а-4). То же самое у Nox из МККМ без инкубирования (б-1) и после инкубирования с 10 мг ПН (б-2). Оптические спектры поглощения eNox без инкубирования (----) и после инкубирования с 10 мг ПН (в-1) в течение часа, при 36о
Рис. 2. Относительное изменение (%) уровня (плотность оптического поглощения при 530 нм) изоформ Nox в гомогенной фазе по сравнению с 100% -ными контрольными показателями до (1) и после инкубации с ПН (10 мг, в течение часа при 36о) с Nox из: сыворотки крови (2)., ЯКС (3)., МКС (4)., МККМ (5) и ЭМ (6)
Рис. 3. Скорость tg угла наклона кинетических кривых) снижения плотности оптического поглощения изоформ Nox (при 530 нм) после их инкубации в течение часа при 36o с ПН. Показатели Nox из: ЭМ (1), МККМ (2), МКС (3) и ЯКС (4)
Рис. 4. Относительное изменение NADPH зависимой О 2--продуцирующей и ферриHb-восстанавливающей активностей Nox в гетерогенной фазе, непосредственно в ЭМ, МККМ, МКС, ЯКС (эти активности изменяются аналогичным образом) после их инкубирования с 10 мг ПН в течение часа при 36о по сравнению с 100%-ными контрольными показателями (1): для ЯКС (2), МКС (3), МККМ (4) и ЭМ (5) . Аналогичным образом изменяются и уровни (плотность оптического поглощения при 530 нм) Nox после их выделения из этих мембран
Таким образом, во избежание необратимого подавления иммунной активности и кислородного гомеостаза, необходим более осторожный подбор эффективных доз применяемого ПН.
Список литературы
- Мелконян Л.Г., Симонян Р.М., Секоян Э.С., Симонян Г.М., Симонян М.А. ДНАН РА, 2009, 109(3): 225-235. 7.
- Симонян Г.М., Симонян Р.М., Симонян М.А. Лицензия изобрет.Армпатента, К 2233 А. Ереван, 2008.8.
- Симонян Г.М., Симонян Р.М., Симонян М.А. Лицензия изобрет.Армпатента, К 908. Ереван, 2001.9.
- Симонян Г.М., Симонян Р.М., Бабаян М.А., Симонян М.А., Галоян А.А. Мед. наука. Армении, 2003, 10. ХЬШ(1): 30-34.
- Симонян М. А., Симонян Г.М., Симонян Р.М. Лицензия 11. изобрет.Армпатента, К 341. Ереван, 1997.
- Marumo T., Schini-Kerth V.B., Brandes R.P., Busse R. Hypertension, 1998, 32(6): 1083-1088.
- Miesel R., Hartung R., Kroeger H. Infl ammation, 1996, 20(4): 427-438.
- Muzaffar S., Shukla N., Angelini G.D., Jeremi J.Y. Br.J.Pharmacol., 2005, 145(5): 688-697.
- Roshol H., Strede K.K., Aero C.E., Wiik P. Eur.J.Pharmacol., 1995,286(1): 9-17.
- Sanner B.M., Meder U., Zidek W., Tepel M. Steroids, 2002, 67(8):715-719.
- Simonyan G.M., Simonyan R.M., Simonyan M.A. Electronic J. Natural Sci. NAS RA, 2006, 2(7): 3-6.
- Vignais P.V. Cell Mol. Life Sci., 2002, 59(9): 1428-1459.
20.04.2012 Читайте также
На современном этапе развития общества, в рамках радикальных преобразований в системе охраны психического здоровья, важнейшей медикосоциальной проблемой является стигматизация и дискриминация лиц с психическими расстройствами [2,11,49]...
30.04.2012 Молекулярно-биохимические механизмы зло-качественного новообразования легких еще окончательно не определены [1]. Контролируемое продуцирование О2- NADPH оксидазами в нефагоцитирующих клетках играет определенную роль в процессе регуляции функции клеток (включая опухолевые клетки)...
27.04.2012 Эффективность ортопедического лечения больных с использованием несъемных конструкций протезов зависит, помимо других факторов, так же от их качественной фиксации на опорных зубах...
26.04.2012 Поиск путей активного влияния на процессы восстановления, т.е. создания оптимальных условий регенерации поврежденных органов и тканей, является основной целью настоящего исследования...
25.04.2012 Актуальность проблемы
Мировой опыт показывает, что огромный потенциал повышения эффективности оказания медицинской помощи заложен в реформировании сестринского дела [1,3]. Все чаще рассматривается оценка качества сестринской помощи и системный подход к деятельности медсестры...
23.04.2012 Введение
Бесплодие остается и на сегодняшний день важной как медицинской, так и социальной проблемой, так как неспособность иметь детей существенно влияет на психологическую и социальную адаптацию человека в обществе и снижает качество жизни...
19.04.2012 Актуальность темы. Относительно здоровья детского населения РА следует отметить, что в настоящее время сложилась тревожная ситуация. Наблюдается рост врожденных дефектов и отклонений [1]...
18.04.2012 Ежегодная смертность от рака щитовидной железы на 100.000 человек, согласно различным регистрам, составляет от 0.2 до 1.2 у мужчин и от 0.4 до 2.8 у женщин. В целом, уровень смертности от тиреоидного рака сравнительно низкий...
17.04.2012 Известно, что хронический тонзиллит вызывает различные изменения в организме [1,2,3]. В литературе немало сообщений о происходящих изменениях в небных миндалинах при различных заболеваниях и состояниях [3]...
16.04.2012 Имеются указания на неравномерное распространение заболевших карциномой щитовидной железы в различных регионах мира, обусловленное географическими и национальными особенностями...
13.04.2012 Актуальность. Проблема создания модели здравоохранения, обеспечивающей высокоэффективную помощь, не требующую больших затрат, актуальна для любого государства, независимо от уровня его экономического развития...
12.04.2012 Введение
Несмотря на интенсивные исследования механизмов развития нейроде- и регенеративных процессов в очаге раздавливания ПН, многое еще остается недостаточно изученным. В частности, показано, что хронический краш ПН вызывает конкурентные апоптоз и пролиферацию ШК...
11.04.2012 Привычный выкидыш, или привычное невынашивание беременности, определяется как повторяющаяся остановка развития беременности. Существует много синдромов, связанных с привычным невынашиванием беременности: анатомические аномалии...
10.04.2012
САМЫЕ ЧИТАЕМЫЕ СТАТЬИ
-
Нормы роста и веса детей – данные ВОЗ
-
Зеленые выделения из влагалища: причины и лечение
- Анатомо-физиологические особенности дыхательной системы у детей
-
Насморк с кровью: причины симптома и способы лечения
- Анатомо-физиологические особенности сердечно-сосудистой системы у детей
- Анатомо-физиологические особенности пищеварительной системы у детей
- Анатомо-физиологические особенности мочевыделительной системы у детей
- Сравнительная характеристика параметров функции внешнего дыхания (обзор литературы)
- Современные представления о норме и патологических отклонениях размеров восходящей аорты при приобретенных пороках сердца
- Анатомо-физиологические особенности детей
- Анатомо-физиологические особенности костно-мышечной системы у детей
- Паллиативная химиотерапия рака: основные понятия и особенности (oбзор литературы)
-
Что можно и что нельзя делать после удаления аппендицита
-
Увеличенные яичники: симптомы, причины и лечение
-
Новейшие достижения онкологии в МЦ «Наири»: интервью с Артемом Степаняном. nairimed.com
-
Как снизить риск инсульта. erebunimed.com
-
О чем говорит головная боль за ухом? Причины, симптомы и лечение
-
Характер мужчины проявляется в выборе позы для секса
-
Армянская ассоциация медицинского туризма (ААМТ)
-
Желтые выделения из влагалища: причины и лечение
-
Рвота у ребенка без температуры: возможные причины
- Применение летрозола для стимуляции овуляции
- Врожденные аномалии и пороки развития
-
КАТИОНОРМ – представитель нового поколения искусственных слез для симптоматической терапии синдрома “сухого глаза”
-
Арам Бадалян: Родинку трогать нельзя?
- Применение противоспаечных средств в профилактике спаечной болезни живота (oбзор литературы)
-
Как избавиться от лямблий — 25 эффективных рецептов народной медицины
-
Вздутие живота при месячных: 7 способов справиться с неприятным ощущением
-
Компресс при ангине: будет ли полезным прогревание горла?
-
Онкология является самой быстроразвивающейся отраслью медицины: интервью с Левоном Бадаляном
-
Лечение марганцовкой
- Некоторые новые подходы к системной терапии метипредом больных ревматоидным артритом
-
Фармацевтическая опека
- Медицинские информационные системы.Информационная система для интегрального фармацевтического и здравоохранного мониторинга
- Подходы к оперативному лечению костно-хрящевых экзостозов
- Повреждения при родах
- Инциденталома надпочечников
-
Курение марихуаны влияет на потенцию
-
Почему противозачаточные увеличивают грудь?
- Применение индинола и эпигаллата при аденомиозе













Научная медицина
Болезни
Традиционная медицина
Здоровый образ жизни
Косметология
Медицинское право
Алгоритмы, тесты
Цифры, факты, случаи
Историческая хроника
Афоризмы
Карьерная лестница
Дети
Женщина
Мужчина
Рейтинговая система



