Вопросы теоретической и клинической медицины 5.2011
Влияние литиевой соли гамк на субклеточный метаболический профиль ь-аргинина в гиппокампе и гипоталамусе крыс при хроническом стрессе
Введение
Хронический стресс (ХС), в отличие от острого, сопровождается значительными нейрохимическими изменениями в головном мозге и является фактором риска развития большой депрессии (БД) и тревожных расстройств [21]. Клинические и экспериментальные наблюдения свидетельствуют в пользу того, что депрессивное состояние может возникать в результате нарушения функций целого ряда систем, включая моноаминергическую, гипоталамо-гипофизарно- адренокортикальную, интерлейкинов и прочих, которые взаимосвязны, но в каждом конкретном случае вклад одной из них может оказаться преобладающим, и терапия, нацеленная на ее коррекцию, будет эффективной [6]. В этой связи особый интерес представляет универсальный мессенджер оксид азота (К0), который участвует в процессах нейротрансмиссии, влияя на механизмы обучения и памяти, психический статус, эмоции и поведение [4,5]. На сегодняшний день накоплено множество данных о вовлечении L-аргининзависимого синтеза КО в патогенетические механизмы стрессиндуцированных болезней, включая психические расстройства и развитие депрессивных состояний [17].
В головном мозге функционируют основные изоформы NО синтазы (NOS), кальцийзависимые “конститутивные” NOS (сNOS), нейрональная, которая участвует в механизмах нейротрансмиссии, эндотелиальная, регулирующая мозговой кровоток и кальцийнезависимая “индуцибельная” (iNOS), функционирующая в рамках врожденного иммунного ответа Аlderton [8]. Недавно открыта конститутивная форма К08, локализованная во внутренней мембране митохондрий тканей головного мозга [19]. Мито-хондриальная NOS участвует в обратимом ингибировании цитохром оксидазы, функционально связана с комплексом I митохондриальной дыхательной цепи, при инактивировании которого оказывает прооксидантное действие [28]. Известно, что К0 ингибирует цитохром оксидазу, подавляя клеточное дыхание, и вызывает деполяризацию мембран и дисфункцию митохондрий [10], сопровождающуюся нарушениями клеточного энергообмена и нейропластических процессов, которые участвуют в патогенезе психических расстройств [29].NO опосредует глутаматергическую нейротрансмиссию - связь между глутаматом, ГАМК и L-аргинином и его метаболитами прослеживается во многих отделах мозга [23]. Глутамат- ГАМКергическая “цепочка” контролируется нейро- модуляторными системами, включая нитрергическую, которая относится к факторам, вовлеченным в патофизиологию депрессии и действие антидепрессантов [9]. Ранее, в разработанной нами модели ХС- индуцированного депрессивноподобного поведения крыс, впервые были продемонстрированы реги- онспецифические сдвиги продукции NO, связанные с разнонаправленной регуляцией разных изоформ NOS в митохондриальном и цитозольном компартментах структур лимбической системы мозга [1]. В настоящей работе исследовалось влияние литиевой соли ГАМК на субклеточный метаболический профиль L-аргинина в гиппокампе и гипоталамусе крыс на собственной модели ХС-индуцированного депрессивноподобного состояния крыс.
Материал и методы исследования
Эксперименты проводили на половозрелых белых крысах-самцах линии Вистар массой 100-140г, которые содержались в виварии, в условиях естественного освещения и свободного доступа воды и пищи. Животные были разделены на четыре группы (n= 18/группу): контрольная - здоровые крысы; три опытные группы - крысы, подвергнутые воздействию стрессирующих факторов и декапитированные сразу после 14-дневного ХС, 4 дня спустя и через 2 дня после одноразовой обработки литиевой солью ГАМК в дозе 0,9 мг/кг массы животного (0,3 мл препарата вводили внутрибрюшинно спустя 2 дня после ХС). ХС осуществляли по описанной ранее собственной методике: крыс в течение 14 дней подвергали воздействию одного или двух стрессирую- щих факторов из шести (принудительное плавание, вдыхание паров эфира, лишение пищи, иммобилиза- ционный, холодовой и ортостатический стресс), которые для предотвращения предсказуемости повторялись через каждые два дня с разной длительностью воздействия и в определенные часы, с учетом циркадианных ритмов, в результате чего у крыс раз-вивалось депрессивноподобное поведение [2].
Выделение митохондриальной и цитозольной фракций тканей отделов мозга. Животных декапитировали, на льду из головного мозга извлекали ПФК и стриатум, гомогенизировали в 10 объемах 20мМ HEPES буфера, рН-7,4, содержащем 0,25М сахарозу и выделяли цитозольную и несинаптическую обогащенную нейронами и глией митохондриальную фракции [12].
Активность NOS определяли по аккумуляции NO и его стабильных метаболитов (окислы азота (NO2-, NO3-, N2O4, N2O3), нитрозотиолы и т.д.) после долговременной инкубации проб (24ч, 37оС) в 20мМ HEPES буфере pH-7,4, содержащем 2мМ дитиотреитол, 3мМ MgCl2.6H2O в присутствии 5,3 мМ L-аргинина, 0,2мМ NADPH, 20 мкМ (6R)-5,6,7,8- тетрагидробиоптерина, 6мкМ FAD и 5,5мкМ FMN. Общая активность NOS определялась при инкубации проб в присутствии 1,7мМ CaCl2, активность iNOS - в присутствии 5мМ ЭДТА (без CaCl2 в инкубационной среде); активность сNOS вычислялась по разности между общей активностью NOS и активностью iNOS. В параллельных контрольных экспериментах пробы инкубировали в присутствие 5мМ N(омега)- монометил L-аргинина, конкурентного неселективного природного ингибитора NOS. Активность NOS выражали в нмоль (NO2- ) • мг-1 белка • 24 ч-1.
Содержание NO и его стабильных метаболитов в супернатантах депротеинизированных проб определяли с использованием реактива Грисса- Илосвая спектрофотометрически при длине волны 546м [30].
Определение содержания L-аргинина осуществляли модифицированным методом Akamatsy и Watanabe [7]. Супернатанты депротеинизированных проб смешивали с рабочим раствором (смесь растворов: 0,02% 8-оксихинолина в 96%-ном этиловом спирте с 2,5% сульфосалицилата натрия в 0,01М растворе глицина и 2,5% NaOH, 1:1:1 по объему) и 1% гипобромитом натрия в соотношении 3:1:0.2 по объему и оценивали содержание L-аргинина спектрофо-тометрически при длине волны 525нм.
Содержание белка определяли методом Лоури [25].Статистика. Достоверность различий при множественных сравнениях оценивали с использо-ванием параметрического однофакторного дисперсионного анализа (one-way Anova) с последующим постдисперсионным анализом Холм-Сидака с помощью пакета программ SigmaStat 3.5 for Windows. Анализ корреляций проводили на основе расчета ко-эффициента линейной корреляции Пирсота (r). В ка-честве критерия достоверности принимали р‹ 0.05.
Результаты и обсуждение
На рис. 1 представлены результаты анализа in vivo субклеточного содержания субстрата NOS L-аргинина и продуктов NOS реакции NO и его стабильных метаболитов (активных форм азота, АФА) в гиппокампе крыс. Сразу после стресса (группа 1) и спустя 4 дня после прекращения воздействия стрессирующих факторов (группа 2) в цитозоле тканей гиппокампа повышается содержание L-аргинина в 2.9- и 9.3 раза и АФА в 5.5- и 9.3 раза соответственно. В митохондриях гиппокампа в группе 1 концентрации L-аргинина и АФА также резко возрастают в 15- и 8 раз, а в группе 2 их уровень снижается, однако превышает контрольные значения в 5- и 2.5 раза соответственно. Через два дня после ХС крысам одноразово внутрибрюшинно вводили литиевую соль ГАМК в дозе 0.9мг/кг, которая соответствовала су- бэффективным дозам лития (1мг/кг), влияющим на поведенческие реакции грызунов Kiyani А. [22] и втрое ниже дозы ГАМК (2.6мг/кг), оказывающей антидепрессантное воздействие на стрессированных крыс в тесте принудительного плавания Cuang С.Y. [13]. Препарат снижает до нормы содержание аргинина и АФА в цитозоле, и аргинина в митохондриях, тогда как на содержание АФА в последних статистически достоверного воздействия не оказывал. При этом в гиппокампе наблюдается положительная корреляция между уровнями аргинина и АФА в цитозоле (г=0.96) и митохондриях (г=0.99).
Рис. 1. Влияние литиевой соли ГАМК на субклеточное содержание L-аргинина и NO и его стабильных метаболитов в гиппокампе крыс при ХС. Результаты представлены в виде М ± SЕМ, n=18, достоверность различий при сравнении всех групп: F=89.93, р ‹0.001; F=48.62, р ‹0.001 (относительно L-аргинина) и F=26.9, р‹ 0.001; F=10.98, р‹0.001 (относительно NO и его стабильных метаболитов) в цитозоле и митохондриях соответственно
Как видно из рис. 2, ХС вызывает более выра-женные изменения в интрацеллюлярном уровне ар-гинина и АФА в гипоталамусе. В группе 1 содержание аргинина возрастает в цитозоле и митохондриях в 9.9- и 11.7 раза, а в группе 2- в 9.9- и 11.1 раза соответственно, по сравнению с контрольной группой. Одновременно в группе 1 содержание АФА повышается в цитозоле и митохондриях гипоталамуса в 3.3- и 8.7 раза, а в группе 2- в 11.2- и 9.85 раза соответственно, по сравнению с контролем. Одноразовая обработка литиевой солью ГАМК снижает в клеточных компартментах гипоталамуса уровень аргинина и АФА даже несколько ниже нормы, и они достоверно позитивно коррелируют между собой в цитозоле и митохондриях (г=0.76 и г=0.97 соответственно).
Рис. 2. Влияние литиевой соли ГАМК на субклеточное содержание L-аргинина и NO и его стабильных метаболитов в гипоталамусе крыс при ХС. Результаты представлены в виде M ± SEM, n=18, достоверность различий при сравнении всех групп: F=99.37, p ‹0.001; F= 78.53, p ‹0.001 (относительно L-аргинина) и F=55.37, p‹0.001; F=16.49, p‹0.001 (относительно NO и его стабильных метаболитов) в цитозоле и митохондриях соответственно
Следует отметить, что мембранный потенциал митохондрий экспоненциально модулирует высво-бождение NO в цитозоль: в сердце доля цитозольного NO, диффундирующего из митохондрий, составляет 90%) Valdez L.B. [32]. Дофамин, концентрация которого изменяется при стрессе и влияет на поведенческие характеристики, может оказывать воздействие на поглощение митохондриями кислорода и их мембранный потенциал [14]. Причем аргинин способен влиять на эти процессы - введение аргинина снижает базальный уровень дофамина в пре- фронтальном кортексе крыс через 48ч после инъекции основного компонента сенильных бляшек мозга бета-амилоида (Abetal-42) Trabace L. [30]. Таким образом, взаимосвязь между аргинином и АФА носит как прямой, так и опосредованный характер.
Повышение концентрации цитозольного аргинина в исследуемых отделах головного мозга может оказывать ингибирующее воздействие на механизмы активного поглощения креатина митохондриями, влияя на их энергетическое состояние [16]. К тому же увеличение содержания NO может способствовать процессам нитрозилирования сульфгидрильных групп креатинкиназы с подавлением ее активности [27]. Устойчивое повышение содержания аргинина в гиппокампе и гипоталамусе может быть связано как с активированием его синтеза, так и с подавлением утилизации аргинина aргининметаболизирующими ферментами. К ним относится аргиназа, которая лимитирует содержание аргинина в тканях, и в головном мозге грызунов представлена цитозольной и митохондриальной изоформами [36]. По-видимому, при ХС пути превращения аргинин→орнитин→тлутамат→ГАМК ингибируются внутри клетки в важнейших клеточных компартментах, а введение препарата ГАМК будет препятствовать торможению этих реакций. В пользу наших предположений свидетельствуют данные о том, что у пациентов с биполярными аффективными расстройствами происходит падение аргиназной актив-ности, которое сопровождается возрастанием концентрации аргинина и значительным повышением уровня нитритов в плазме [35].
При ХС возможно ингибирование и аргининдекарбоксилазы, которая, наряду с аргиназой, не только конкурирует с NOS за общий субстрат, но и синтезирует агматин, подавляющий активность NOS [20], в то время как аргиназа продуцирует мочевину, инги-бирующую самосборку активных димеров NOS [26]. Эти ферменты вовлечены в синтез ряда аминов (путресцин, агматин) и полиаминов (спермин, спермидин), которые участвуют в механизмах иммунного и стрессового ответов организма, проявляют антидепрессантное и анксиолитическое действие и могут оказывать влияние на патофизиологические механизмы психических расстройств [18]. Наши предположения подтверждаются данными о том, что в гиппокампе крыс, подвергнутых повторяющемуся иммобилизационному стрессу, происходит 75%-ное, а в гипоталамусе-51%-ное падение содержания агматина, введение последнего предотвращало стресс- индуцированные структурные повреждения мозга в этих регионах [37].
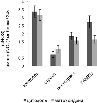
Долговременная инкубация субклеточных фракций гиппокампа и гипоталамуса показала, что L-аргининзависимый синтеза NO in vitro подавляется при введении в состав реакционной среды 5мМ N(омега)-монометил L-аргинина (L-NMMA), природного конкурентного неселективного ингибитора всех исследуемых изоформ NOS, что подтерждает их вклад в генерирование АФА. Как видно из рис.3,в гиппокампе активность cNOS падает в цитозоле в 3.7- и 2.6 раза в группах 1 и 2 соответственно, тогда как в митохондриях ее колебания недостоверны.
В то же время активность 1К08 резко возрастает цитозоле в 32.5 раза (группа 1) и также резко падает на 4-й день после стресса (группа 2), но и в этом случае в 4.6 раза превышает норму; в митохондриях обнаружена слабая тенденция к повышению iNOS (1.4- и 1.9 раза в группах 1 и 2 соответственно). Одноразовая субэффективная доза литиевой соли ГАМК нормализует в гиппокампе активность iNOS в цитозоле и подавляет ее в митохондриях, вызывая ее падение ниже нормы, но не оказывает воздействия на с NOS.
Рис. 3. Влияние литиевой соли ГАМК на субклеточную активность конститутивной и индуцибельной изоформ NOS (cNOS и iNOS, соответственно) в гиппокампе крыс при ХС. Результаты представлены в виде M ± SEM, n=18, достоверность различий при сравнении всех групп: F=14.21, р ‹0.001; F=0.88, р=0.454 (относительно cNOS) и F=49.33, р ‹0.001; F=12.09, р ‹0.001 (относительно iNOS) в цитозоле и митохондриях соответственно
В тканях гипоталамуса ХС также сопровождается подавлением cNOS в цитозоле и митохондриях в 4.7- и 2.9 раза (группа 1) и 1.8- и 2 раза (группа 2) соответственно, и одновременно стимулированием iNOS с повышением ее активности в цитозоле и ми-тохондриях примерно в 12- и 8 раз (группа 1), и 7- и 52.6 раза (группа 2) соответственно, по сравнению с контролем (рис. 4). Любопытно, что в гипоталамусе литиевая соль ГАМК не изменяет паттерн активности iNOS в клеточных компартментах и таковой ми-тохондриальной cNOS, но стимулирует тенденцию восстановления активности cNOS в цитозоле в пост- стрессорный период.
Рис. 4. Влияние литиевой соли ГАМК на субклеточную активность конститутивной и индуцибельной изоформ NOS (cNOS и iNOS, соответственно) в гипоталамусе крыс при ХС. Результаты представлены в виде M ± SEM, n=18, достоверность различий при сравнении всех групп: F= 14.48, р ‹0.001; F= 12.75, р ‹0.001 (относительно cNOS) и F=6.49, р
ХС-индуцированное снижение активности cNOS в гиппокампе и гипоталамусе будет отражаться на процессах нейротрансмиссии. Фармакологические исследования показывают, что введение ингибиторов нейрональной NOS снижают локомоторную активность у грызунов [15] и уровень дофамина [31], что ассоциируется с развитием у них депрессивноподобного поведения. Снижение общей актив-ности сNOS, наблюдаемое в гиппокампе и гипоталамусе при ХС, по всей видимости, отражает снижение активности дофаминергической системы, которая, согласно последним данным, стимулирует сNOS в стриатуме [3]. Сдвиги в активности изоформ NOS свидетельствуют о том, что именно iNOS вызывает гиперпродукцию АФА в исследуемых клеточных компартментах гиппокампа и гипоталамуса. Следует отметить, что в отличие от конститутивных изоформ, iNOS способна продуцировать NO в течение нескольких дней и стойко повышать его уровень [24]. Будучи высокопроизводительной формой она больше, чем cNOS зависит от концентрации аргинина в среде и выявленное нами ХС-индуцированное повышение содержания этой аминокислоты, возможно, является одним из факторов стимулирующих iNOS в подобных условиях. Недавно было продемонстрировано, что подавление активности iNOS в гиппокампе оказывает антидепрессантное действие при ХС [34]. Примечательно, что экзогенный L-аргинин подавляет анксиолитическое действие диазепама сти-мулируя продукцию NO в гиппокампе и коре головного мозга крыс [33]. Активирование iNOS в свою очередь может способствовать повышению содержания интрацеллюлярного аргинина, поскольку первый интермедиат реакции NOS NG-гидроксиаргинин является мощным ингибитором аргиназы, лимитирующей уровень аргинина в органах и тканях [11].
Различия в регуляции изоформ К08 проявляются и в различном влиянии на них литиевой соли ГАМК, одноразовая щадящая доза которой оказалась недостаточной для модулирования субклеточной активности сК08, однако препарат подавляет ХС-индуцированное устойчивое активирование 1К08 в митохондриях и цитозоле гиппокампа, препятствуя перепродукции К0 и развитию разрушительных биохимических процессов. Избыток К0 ингибирует ферменты, ответственные за репарацию ДНК, при стрессе он взаимодействует с активными формами кислорода с образованием его более агрессивной формы пероксинитрита (ПН), который ингибирует в митохондриях цикл трикарбоновых кислот, железосерные центры 1-111 комплексов дыхательной цепи, нитрозилирует мембранные тиолы и цитохрома С, нарушая перенос электронов в дыхательной цепи, одновременно происходит выход цитохрома С (в том числе и нитрованного) в цитоплазму, запуская процессы апоптоза с открытием гигантской митохон-дриальной поры Bolanos J.P., Heales S.J. R. [10].
Резюме
Таким образом, ХС-индуцированное депрес-сивноподобное состояние крыс сопровождается по-вышением содержания L-аргинина и сопряженным стимулированием iNOS и продукции NO и его ста-бильных метаболитов, а также и подавлением актив-ности cNOS в цитозоле и митохондриях гиппокампа и гипоталамуса. Одноразовая внутрибрюшинная инъекция в постстрессовый период субэффективной дозы литиевой соли ГАМК нормализует содержание L-аргинина в цитозоле и митохондриях вышеуказанных регионов мозга и предотвращает стимулирование системы iNOS/NO в цитозоле и митохондриях гиппокампа и связанное с ним устойчивое повышение содержания АФА, вызывающие нитрози- рующий стресс и дисфункцию митохондрий а также способствует восстановлению активности цитозольной cNOS в гипоталамусе. Различия во влиянии литиевой соли ГАМК на нитрергическую систему мозга могут быть обусловлены спецификой региона, дозировкой препарата и/или его разновременным влиянием, что еще предстоит выяснить. Дальнейшие исследования в этом направлении будут способствовать выяснению внутриклеточных механизмов депрессивных расстройств и разработке новых путей их профилактики и терапии.
Список литературы
- Назарян Н. С. Мед. наука Армении НАН РА, 2011, т. LI (2), с. 21-33.
- Назарян Н.С., Мовсесян Н.О., Алчуджян Н.Х., Мовсе- сян О. А., Геворкян А.Г., Айрапетян Р.Л., Геворкян Г. А. Мед. наука Армении НАН РА, 2011, т. LI (1), с. 62-74.
- Савельев С.А. Физиол. Журн. им. И.М. Сеченова, 2005, т. 91, N 8, с. 942-948.
- Серая И.П., Нарциссов Я.Р. Успехи Совр. Биол., 2002, Т. 122, N 3, c. 249-258.
- Сосунов А.А. Сорос. Образ. Журн., 2000. N10, c. 105110.
- Шишкина Г.Т., Дыгало Н.Н. Журн. высш. нерв. деят.,2010,т. 60, 2, с. 131-152.
- Akamatsy S., Watanabe T.J. J. Biochem., 1961, v. 77 (3), p. 484.
- Alderton W.K., Cooper C.E., Knowles R.G. Biochem. J.,2001,v. 357, p. 593-615.
- Barbosa L., Resstel M., Guimaraes F.S. Cereb Cortex,2008,v. 18 (9), p. 2027-2035.
- Bolanos J.P., Heales S.J.R. Front Neuroenergetics, 2010, v. 2, p. 1-9.
- Buga GM, Singh R, Pervin S. et al. Am. J. Physiol., 1996, v. 271, H1988.
- Bustamante J., Czerniczyniec A., Lores-Arnaiz S. Front. Biosci., 2007, v. 12, p. 1034-1040.
- Cuang C.Y., Shi Y.C., You H.P., Pan T.M. Agric. Food Chem., 2011, v. 59 (7), p. 3027-3034.
- Czerniczyniec A., Bustamante J., Lorez-Amaiz S. Mol. Cell Biochem., 2010, 341(1-2), p. 251-257.
- Del Bel E.A., Guimaraes F.S. et al. Cell Mol. Neurobiol., 2005, v. 25, p. 371-392.
- Dolder M., Walzel B., Speer O., Wallimann T. J. Biol. Chem., 2003, v. 278(20), p.17760-17766.
- Esh T., Stefano G.B., Fricchione G.L., Benson H. Med. Sci. Monit., 2002, v. 8 (6), p. 103-118.
- Fiori L.M., Turecki G. J. Psychiatry Neurosci., 2008, v. 33(2), p. 102-110.
- Guilivi C. Novaris Found Symp., 2007, v. 287, p. 92-100.
- Halaris A., Plietz J. CNS drugs, 2007, v. 21, 11, p. 885900.
- Jankord R., Herman J.P. Ann. N Y Acad. Sci., 2008, v. 1148, p. 64-73.
- Kiyani A., Javadi-Paydar M. et al. Behav. Brain. Res.,2011,v. 219 (2), p. 240-247.
- Liu P., Jing Y., Zhang H. Neuroscience, 2009, v.164 (2), p. 611-628.
- Lowenstein, C. J., Padalko, E. iNOS (NOS2) at a glance. J. Cell Sci., 2004, v. 117, p. 2865-2867.
- Lowry O.H., Rosebrough N.J., Farr A.L., Randall R.J. J. Biol. Chem., 1951, v. 193, p. 265-275.
- Moeslinger T., Friedl R. et al. Kidney Int., 1999, V. 56, N 2,P. 581-588.
- Murphy M.P. Nitric oxide and cell death. Biochem. Biophys. Acta. 1999, v. 1411, p. 401-414
- Parihar M.S., Parihar A. et al. Biochem. Biophys. Res. Commun., 2008, v. 367, 4, p. 761-767.
- Rezin G.T., Amboni G. et al. Neurochem. Res., 2009, v.34,p. 1021-1029.
- Schmidt H.H.H.W., Kelm M. Chichester; 1996, p. 491497.
- Trabace L., Kendrick K.M. et al. Neuroscience. 2007, v. 147(3), p. 652-663.
- Valdez L.B., Boveris A. Front. Biosci., 2007, v. 12, p. 1210-1219.
- Volke V., Soosaar A., Koks S., Mannisto P.T. Eur. J. Pharmacol., 1998, v. 351 (3), p. 287-290.
- Wang D., An S.-C., Zhang X. J. Neurosci. Lett., 2008, v. 433, p. 59-64.
- Yanik M., Vural H., Tutkun H. et al. Eur. Arch. Psychiatry Clin. Neurosci., 2004, v. 254(1), p. 43-47.
- Yu H., Iver R.K., Kern R.M., Cederbaum S.D. J. Neurosci. Res., 2001, v. 66, No 3, p. 406-422.
- Zhu M-Y., Wang W-P., Regunathan S., Ordway G. Eur J Neurosci., 2008, v. 27(6), p. 1320-1332.
16.11.2011 Читайте также
Высокая частота развития постдискэктомического синдрома, устойчивость к существующим методам лечения, большой процент инвалидизации больных...
30.11.2011 Введение
Еще в ранних исследованиях было показано, что прорастанию регенерирующих нервных волокон содействуют даунрегуляция миелиновых генов, дедифференциация и пролиферация Шванновских клеток (ШК)...
29.11.2011 Осложнения после гайморотомии и закрытия ороантральных сообщений-проблема чрезвычайно актуальная для челюстно-лицевых хирургов и хирургов стоматологов, поскольку одонтогенные гаймориты встречаются довольно часто...
28.11.2011 В течение миллионов лет человеческой эволюции процесс заживления ран был оптимизирован организмом для максимально быстрого и эффективного действия в любых антисанитарных условиях...
25.11.2011 С точки зрения современных положений медицинской науки и организации здравоохранения очень актуальны исследования стоматологической заболеваемости. Как показал анализ литературы...
24.11.2011 Цель данного обзора заключалась в сравнении эффективности, побочных эффектов, неблагоприятных клинических явлений и приемлемости хирургических и медикаментозных методов индукции аборта во втором триместре беременности...
23.11.2011 Бисфосфонаты (БФ) применяются при лечении различных метаболических и злокачественных костных заболеваниях. БФ составляют часть химиоте-рапевтического лечения при множественной миеломе и злокачественных костных метастазах при раке молочной железы...
22.11.2011 Введение
Общеизвестным является утверждение что, целью современного ортодонтического лечения является не только достижение функциональной окклюзии, но еще и получение гармоничного и эстетичного лицевого профиля...
21.11.2011 В настоящее время заболевания полости рта занимают ведущее место по распространенности среди болезней человека, а стоматологическая помощь является одним из массовых видов медицинского обслуживания [27,32,17,39]...
18.11.2011 Циклофосфамид (ЦФ) является цитостатиком, используемым при химиотерапии онкологических заболеваний различной этиологии, для подавления роста опухолевых клеток...
17.11.2011 Синдром длительного раздавливания (СДР) представляет собой опасное для жизни осложнение длительного сдавливания большой массы мягких тканей, внутренних органов, встречающихся при катастрофах [4,7,10]...
15.11.2011 Частота встречаемости нагноившихся одонтогенных кист челюстей колеблется от 47.4 до 77 % [2,5]. Традиционное лечение нагноившихся кист включает два этапа: оказание неотложной помощи и радикальное лечение [6,7,10,12]...
14.11.2011
САМЫЕ ЧИТАЕМЫЕ СТАТЬИ
-
Нормы роста и веса детей – данные ВОЗ
-
Зеленые выделения из влагалища: причины и лечение
- Анатомо-физиологические особенности дыхательной системы у детей
-
Насморк с кровью: причины симптома и способы лечения
- Анатомо-физиологические особенности сердечно-сосудистой системы у детей
- Анатомо-физиологические особенности пищеварительной системы у детей
- Анатомо-физиологические особенности мочевыделительной системы у детей
- Сравнительная характеристика параметров функции внешнего дыхания (обзор литературы)
- Современные представления о норме и патологических отклонениях размеров восходящей аорты при приобретенных пороках сердца
- Анатомо-физиологические особенности детей
- Анатомо-физиологические особенности костно-мышечной системы у детей
- Паллиативная химиотерапия рака: основные понятия и особенности (oбзор литературы)
-
Что можно и что нельзя делать после удаления аппендицита
-
Увеличенные яичники: симптомы, причины и лечение
-
Новейшие достижения онкологии в МЦ «Наири»: интервью с Артемом Степаняном. nairimed.com
-
О чем говорит головная боль за ухом? Причины, симптомы и лечение
-
Как снизить риск инсульта. erebunimed.com
-
Характер мужчины проявляется в выборе позы для секса
-
Армянская ассоциация медицинского туризма (ААМТ)
-
Желтые выделения из влагалища: причины и лечение
-
Рвота у ребенка без температуры: возможные причины
- Применение летрозола для стимуляции овуляции
- Врожденные аномалии и пороки развития
-
КАТИОНОРМ – представитель нового поколения искусственных слез для симптоматической терапии синдрома “сухого глаза”
-
Арам Бадалян: Родинку трогать нельзя?
- Применение противоспаечных средств в профилактике спаечной болезни живота (oбзор литературы)
-
Как избавиться от лямблий — 25 эффективных рецептов народной медицины
-
Вздутие живота при месячных: 7 способов справиться с неприятным ощущением
-
Компресс при ангине: будет ли полезным прогревание горла?
-
Онкология является самой быстроразвивающейся отраслью медицины: интервью с Левоном Бадаляном
-
Лечение марганцовкой
- Некоторые новые подходы к системной терапии метипредом больных ревматоидным артритом
- Медицинские информационные системы.Информационная система для интегрального фармацевтического и здравоохранного мониторинга
-
Фармацевтическая опека
- Подходы к оперативному лечению костно-хрящевых экзостозов
- Повреждения при родах
- Инциденталома надпочечников
-
Курение марихуаны влияет на потенцию
-
Почему противозачаточные увеличивают грудь?
- Применение индинола и эпигаллата при аденомиозе













Научная медицина
Болезни
Традиционная медицина
Здоровый образ жизни
Косметология
Медицинское право
Алгоритмы, тесты
Цифры, факты, случаи
Историческая хроника
Афоризмы
Карьерная лестница
Дети
Женщина
Мужчина
Рейтинговая система







