Вопросы теоретической и клинической медицины 1.2011
Сравнительная характеристика методов выявления Helicobacter Pylori в полости рта
Возникший в последнее время большой интерес к инфекции H. pylori (НР) стимулировал появление множества различных методов диагностики, что создало для врачей-клиницистов и специалистов лабораторной диагностики определенные трудности в выборе адекватных и достоверных способов ее обнаружения. Пределы возможностей методов, позволяющих выявлять и идентифицировать НР, могут быть ограничены не только их чувствительностью, но, зачастую, зависят от возраста пациента, его индивиду-альных особенностей, стадии заболевания, а также идивидуальных характеристик инфекции [1,2,4,7]. Выбор метода диагностики НР имеет принципиальное значение в зависимости от поставленной цели. Одни методы приемлемы в целях первичной диагностики - обнаружения инфекции и обоснования лечения, и в этом случае, методы первичной диагностики НР-инфекции должны быть направлены на непосредственное выявление бактерии или продуктов ее жизнедеятельности в организме больного [3,6,7,8,]. Другие же методы диагностики применяются с целью контроля за успешностью антибактериального лечения после проведенной эрадикационной терапии (диагностика эрадикации).
Каждый из методов выявления НР имеет свои преимущества и недостатки, различаясь своей чув-ствительностью и специфичностью. Многочислен-ными сравнительными исследованиями установлено, что результаты, полученные с применением раз-личных методов, не всегда идентичны. Было сдела-но заключение о необходимости одновременного использования двух, и даже трех методов, с целью избежания ложнонегативных или ложнопозитивных результатов [2,3,4,6]. Для более точной диагностики наличия инфекции результат может считаться поло-жительным или отрицательным при совпадении по-казателей всех методов исследования. Наличие опре-деленной связи патологических процессов в перио донте с общесоматической патологией [5,9,10], делает необходимым динамическое наблюдение за характером носительства HP в ротовой полости, с целью формирования групп риска по HP-ассоциированной патологии пародонта и проведения индивидуальных профилактических мероприятий. В связи с этим, несомненно актуальна проблема разработки новых критериев диагностики и эффективности лечения пациентов с сочетанной патологией заболеваний желудочно-кишечного тракта и полости рта.
Цель исследования
Сравнение бактериологического, биохимического и ПЦР методов диагностики НР в полости рта у больных с язвенной болезнью желудка и двенадцатиперстной кишки, а также у пациентов, с отсутствием жалоб со стороны желудочно-кишечного тракта.
Материал и методы исследования
Обследованы 96 человек в возрасте от 18 до 65 лет (средний возраст-41,5 лет), среди них женщин - 54%, мужчин - 46%. Все пациенты были разделены на 5 групп. В I группу вошли 19 человек, не имеющих жалоб со стороны желудочно-кишечного тракта. Во II группу вошли 24 пациента с диагностированной язвенной болезнью желудка и двенадцатиперстной кишки, не прошедших общий курс эрадикационной терапии. III группу составили 18 человек, с диагностированной язвенной болезнью желудка и двенадцатиперстной кишки, обследованные сразу после окончания общего курса эрадикационной терапии, проведенной гастроэнтерологом. В IV группу были включены 13 пациентов с диагностированной язвенной болезнью желудка и двенадцатиперстной кишки, обследованных спустя 1,5-2 мес. после окончания общего курса эрадикационной терапии. В V группу вошли 22 пациента с недиагностированной язвенной болезнью желудка и двенадцатиперстной кишки, но имеющих жалобы со стороны желудочно-кишечного тракта (боли в эпигастральной области, изжога).
Материалом данного исследования являлись смешанная слюна, десневая жидкость и зубной налет. Забор десневой жидкости и слюны осуществлялся при помощи инсулинового шприца с физиологическим раствором. без иглы. За 12 часов до взятия (сбора) слюны исключался прием пищи, алкоголя и лекарственных препаратов. Перед тем, как собрать десневую жидкость и слюну, пациенты чистили зубы без зубной пасты, затем хорошо прополаскивали рот без использования раздражающих средств. Далее, сначала из десневого кармана вестибулярной стороны моляров собирали десневую жидкость, а затем тем же шприцом отсасывали общую (смешанную) слюну со дна рта и особенно в области моляров нижней челюсти и переносили в пробирку (эпендорф) с физиологическим раствором. Транспортировка полученного материала в лабораторию осуществлялась непосред-ственно после сбора в сумке-холодильнике, а при необходимости до отправки в лабораторию хранилась в холодильнике (+4-+60С) не более 12 часов.
Зубной налет получали методом соскоба с вестибулярной поверхности моляров верхней и нижней челюстей с помощью гладилки. Материал непосредственно помещался на быстрый уреазный ХЕЛПИЛ- тест на основе твердого пористого гигроскопичного волокнистого носителя.
Бактериологическое исследование полученного материала осуществлялось на базе НИИ эпидемиологии, вирусологии и медицинской паразитоло-гии им. А.Б.Алексаняна. Основу метода составляет культивирование микроорганизма на специальных питательных средах при определенных температурных условиях. Материал непосредственно помещали на чашку Петри с селективной питательной средой и растирали по ее поверхности с помощью петли или стеклянного шпателя. Оптимальный рост колоний наблюдали при рН среды от 6,7 до 8,0. На не-селективной питательной среде (Muller-Hinton) НР на 3-5 сутки при первичном посеве и на 2 сутки при пересевах чистой культуры формирует мелкие, круглые, гладкие, прозрачные, росинчатые колонии ди-аметром 1-3 мм. На селективной питательной среде (полимиксин В – 2500 МЕ/л, ванкомицин – 10 мг/л, триметоприм – 5 мг/л, амфотеррицин В – 10 мг/л, трифенилтетразолий хлорид – 40 мг/л) колонии НР приобретают характерное золотисто-желтое окраши-вание за счет присутствующего в среде трифенил- тетразолий хлорида. При появлении колоний, сходных по морфологии с НР, диаметром до 0,5 – 2 мм в виде «капель росы» или при сплошном росте, образующие прозрачную пленку, производилась их идентификация окрашиванием мазков по Граму. В случае НР под микроскопом обнаруживают грамотрицательные изогнутые палочки. Бактериологический метод исследования дает возможность определять резистентность НР к антибиотикам и проводить за ней динамические наблюдения. Без применения бактериологического метода невозможно планировать клиническое испытание лекарственных препаратов, так как основной причиной, снижающей эффективность эрадикационной терапии является антибиотикорезистентность НР.
Выделенные клинические штаммы HP были проверены на чувствительность к широкому кругу антибиотиков и антибактериальных препаратов, используемых в схемах антихеликобактерной терапии:производные нитроимидазола (метронидазол, тинидазол), макролиды (кларитромицин, азитромицин,рокситромицин), тетрациклины (тетрациклина гидрохлорид), нитрофураны (фуразолидон), группа пенициллина (ампициллин, амоксициллин). Для определения спектра антибиотикорезистентности HP использовали стандартный метод серийных разведений и метод диффузии в агар. В опытах использовали тиогликолевую полужидкую среду и шоколадный агар.Однако у бактериологического метода существуют и недостатки, к которым относятся: отсроченное получение результатов на 7-10 дней; трудность транспортировки материала для сохранения микроорганизма в жизнеспособном состоянии; высокие требования к условиям культивирования (определенные питательные среды, ограничение доступа кислорода); снижение эффективности выделения НР в случае низкой обсемененности, при отсутствии обострения инфекции и визуальных признаков воспаления. Недостатком данного метода считается также невозможность определять кокковые формы НР.
Биохимическое исследование зубного налета производилось нами с использованием ХЕЛПИЛ- теста непосредственно после взятия материала на базе стоматологической поликлиники N1 ЕГМУ им. М.Гераци. Тест содержит в качестве индикатора бромтимоловый синий с рН перехода от 6,0 до 7,6. Для оценки уреазной активности зубной налет помещали на тест-билет и в течение 3 минут наблю-дали появление индикационного эффекта - синего пятна на желтом фоне. О степени уреазной активно-сти свидетельствует как скорость появления пятна, так и его диаметр и интенсивность окраски. Окрашивание теста вокруг биоптата шириной до 1 мм расценивалось нами как 1 степень, от 1 до 2 мм - 2 степень и более 2 мм - 3 степень уреазной активности.
ПЦР-диагностика полученного материала вы-полнялась в лаборатории молекулярной генетики Центра медицинской генетики и первичной охраны здоровья. Перед выделением ДНК взятый материал предварительно обрабатывался. К одному обьему слюны или десневой жидкости добавлялся равный обьем в- меркаптоэтанола 0,1М. Смесь тщательно перемешивалась и инкубировалась при комнатной температуре в течение 30 минут. Выделение ДНК проводилось с помощью китов фирмы Gentra. ПЦР проводили по программе, согласно инструкции к на-бору. В аппарат для горизонтального электрофореза заливали однократный ТВЕ буфер, приготовленный на дистиллированной воде, в количестве, обеспечивающем контакт геля и буфера. Подключали аппарат к источнику тока и проводили электрофоретическое разделение продуктов амплификации при напряжении 100В в течение 20мин. Гель переносили на стекло трансиллюминатора и проводили анализ резуль-татов ПЦР.
Рис. 1. Определение НР методом ПЦР - диагностики
Фрагменты анализируемой ДНК проявляются в виде светящихся оранжевых полос. При анализе ре-зультатов ПЦР присутствие полосы на уровне соответствующего контроля свидетельствует о наличии данного возбудителя в пробе. Полученные результаты документируют фотографированием гелей в УФ свете с использованием оранжевого светофильтра (рис.1).
Результаты и их обсуждение
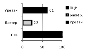
Результаты исследований показали, что генетические маркеры НР были обнаружены у 54-х пациентов из всех групп (56,25%). Проведенные в дальнейшим бактериологические исследования слюны и десневой жидкости этих пациентов дали положительные результаты только у 12-ти из них (22,2%). По результатам определения чувствительности НР к антибиотикам группы макролидов установлена наибольшая активность к кларитромицину (Фромилид). Этот антибиотик угнетал рост микроорганизма в 76% случаев. По результатам чувствительности НР к антибиотикам группы пенициллина установлена наибольшая активность ампициллина и амоксициллина. Эти антибиотики угнетали рост микроорганизма в 69% слу-чаев. Чувствительность НР к антибиотикам и антибактериальным препаратам других групп составляла меньше 50%. Следовательно, применение кларитромицина в составе 1 -й линии эрадикационной терапии Н.ру1ог1, а также в составе десневых повязок при лечении заболеваний пародонта, ассоциированных с язвенной болезнью желудка и двенадцатиперстной кишки, является клинически оправданным. Все 54 пациента прошли также уреазный тест, оказавшийся положительным у 33-х (61,1%) пациентов.
Таким образом, наибольшей степенью надеж-ности для выявления НР в ротовой полости обладает ПЦР-диагностика (рис.2). Кроме высокой степени информативности, к преимуществам этого метода можно, прежде всего, отнести его неинвазивность, простоту и быстроту выполнения (на постановку 30 исследований необходимо 4,5-5 часов) и относительно низкую себестоимость по сравнению с уреазным тестом и бактериальными методами исследования.
Рис. 2. Процент положительных результатов на наличие НР в ротовой полости в зависимости от применяемого метода исследования
Ввиду невысокой себестоимости данного теста он может быть использован не только для первичного диагноза НР и контроля за эрадикацией хелико- бактерной инфекции после проведенного лечения, но и для эпидемиологических исследований. Получение положительных результатов уреазного теста при отрицательных — бактериологического метода или ПЦР может объясняться тем, что при проведении уреазного теста определяются продукты жизне-деятельности НР, а не сам микроорганизм, который может не попасть во взятую пробу материала, иссле-дуемого с помощью бактериологического метода или ПЦР. Как видно из вышеизложенных данных, все методы диагностики НР имеют свои преимущества и недостатки, вследствие чего, для получения четкого представления о наличии НР в полости рта необходимо соблюдать следующие правила диагностики:
- Использование 2-х и более методов диагностики НР.
- Использование метода ПЦР как наиболее точного для диагностики НР.
- Использование для контроля эрадикации НР преимущественно неинвазивных методов не ранее, чем через 1,5-2 месяца после окончания терапии.
Список литературы
- Корниенко Е.А., Эмануэль В.Л., Дмитриенко М.А. Хелпил-тест и Хелик-тест для диагностики хеликобак- териоза. Пособие для врачей. 2005., стр.7.
- Ценева Г.Я., Рухляда Н.В. и др. Патогенез, диагностика и лечение инфекций, обусловленной Helicobаcter pylori. Санкт-Петербург, 2003., стр. 39, стр. 40-56.
- Bermejo San Jose F., Boixeda de Miguel D., Gisbert J. et al. Rev. Clin. Esp. 2000. V 200. P. 475-479.
- Brooks H., Ahmed D., McConnell M., Barbezat G. Diagn. Microbiol. Infect. Dis. 2004. V50. P. 1-5.
- Desai H.G., Gill H.H., Shankaran K. et al. Scand. J.Gastroenterol. 1998. Vol. 26. P.1205-1208.
- Hilpi Rautelin,Philippe Lehours and Francis Megraud. Diagnosis of Helicobacter pylori infection. Helicobacter. Volume 8.Supplement 1, 2003, p 13-20.
- Hirschi A.M., Makristathis A. Helicobacter . 2007. V.12, suppl.2. P.6-11.
- Katarzyna Dzierzanowska-Fangrat, Philippe Lehours. Diagnosis of Helicobacter pylori infection. Helicobacter. Volume 11.Supplement 1, 2006, p 6-10
- Shames B., Krajen S., Fursa M. et. al. J. Clin. Microbiol. 89. V 27. P. 2849-2850.
- Song O., I. Lange, A. Spahr et. al. J. Med. Microbiol. V. 49. 2000. 349-353.
12.04.2011 Читайте также
Наметившаяся за последние годы тенденция к переходу от описательного метода характеристики клинически полиморфного обсессивно-компульсивного расстройства (ОКР) к аналитическим методам его оценки...
29.04.2011 Введение
Армения является горной страной, 98% территории которой расположены в интервале высот (800 - 3500)м над уровнем моря (н.у.м.), из которых 40% расположены выше 2000м н.у.м. Высока также средняя продолжительность солнечного сияния-Более 2700 часов в год...
28.04.2011 Различные гранулематозные болезни, в частности туберкулез и саркоидоз, нередко имеют сходные клинические и морфологические проявления, что в значительной мере затрудняет их дифференциальную диагностику [2,3,4]...
27.04.2011 Введение
В связи с наБлюдающимся в атмосфере Земли за последние десятилетия в средних и высоких широтах обоих полушарий уменьшением общего содержания озона (ОСО)...
26.04.2011 Практика применения антибиотиков представ-ляет собой комплекс организационных медицинских мероприятий, направленных на повышение эффективности и безопасности их использования...
25.04.2011 Актуальность исследования. Ухудшение де-мографической ситуации и показателей здоровья населения, несмотря на проводимые реформы в здравоохранении РА, связано как с социально-экономическими переменами...
22.04.2011 Введение
В настоящее время в качестве одного из отрицательных последствий периода социально-экономических реформ нередко указывается каче-ственное изменение системы общественных и личностных ценностей...
21.04.2011 По всем направлениям государственного проекта «Развитие первичной медицинской помощи» МЗ РА ежегодно планировал конкретные мероприятия, параметры их выполнения и ожидаемые результаты...
20.04.2011 В последнее десятилетие отмечается рост числа заволеваний органов пищеварения, что свидетельствует о неовходимости активации научных исследований, касающихся первичной профилактики гастроэнтерологических заволеваний в детском возрасте...
19.04.2011 Неотъемлемой частью системы оценки качества медицинской помощи являются шкалы, в которых производится оценка овъема и качества медицинской помощи по критериям, включенным в перечень оценочной системы...
18.04.2011 Проблема беременности при варикозной болезни до сих пор остается актуальной. Высокая частота варикозной болезни у беременных и родильниц объясняется возникновением в период гестации ряда предрасполагающих факторов...
15.04.2011 В современном обществе проблема травм и отравлений является актуальной, так как она занимает первое место в структуре причин смертности и инвалидности молодых людей [6]...
14.04.2011 Трансфузия эритроцитарной массы одна из главных составляющих интенсивной терапии, рутинно проводится критическим больным отделения интенсивной терапии (ОИТ) как средство борьбы с анемией...
13.04.2011 Введение
В последнее десятилетие, в связи с увеличением нейродегенеративных заболеваний, все большее значение в синхронизации работы нервных сетей придается взаимодействию нейромедиаторов, в особенности, между глутамати ГАМК-ергической системами...
11.04.2011
Warning: mysqli::query(): (HY000/1): Can't create/write to file '/var/tmp/MYTLWQNE' (Errcode: 28 - No space left on device) in /sites/med-practic.com/classes/DatabaseManager_2.1.php on line 1381
Fatal error: Uncaught Error: Call to a member function fetch_assoc() on bool in /sites/med-practic.com/classes/DatabaseManager_2.1.php:1384 Stack trace: #0 /sites/med-practic.com/classes/article_class.php(102): TableManager->querySelectClassic('SELECT a.id, a....', Array) #1 /sites/med-practic.com/includes/include_footer_amen_kard_hod.php(5): Article->SelectAmenakardacvatsArticles(2) #2 /sites/med-practic.com/includes/include_bottom.php(9): require_once('/sites/med-prac...') #3 /sites/med-practic.com/bottom.php(7): require_once('/sites/med-prac...') #4 /sites/med-practic.com/article_more.php(151): require_once('/sites/med-prac...') #5 {main} thrown in /sites/med-practic.com/classes/DatabaseManager_2.1.php on line 1384















Научная медицина
Болезни
Традиционная медицина
Здоровый образ жизни
Косметология
Медицинское право
Алгоритмы, тесты
Цифры, факты, случаи
Историческая хроника
Афоризмы
Карьерная лестница
Дети
Женщина
Мужчина
Рейтинговая система

