Медицинская наука Армении 1.2012
Влияние анемизации на электрическую активность яичникового отдела рога матки крысы
Ключевые слова: матка, яичниковый отдел, спайковая активность, частота, амплитуда, время вспышек, маточная артерия
Для нормальной возбудительно-сократительной деятельности матки имеет важное значение ее кровоснабжение. Показано, что такой орган, как сердце, высоко чувствителен к изменениям в потоке крови, в то же время желудочно-кишечный тракт достаточно резистентен к уменьшению кровоснабжения [7,9]. Вместе с тем гладкомышечная ткань характеризуется низкой скоростью метаболизма и поэтому достаточно большой промежуток времени активность данной ткани устойчива к изменениям аноксии и, соответственно, кровоснабжения [14,16].
К особенностям крыс и мышей относится наличие так называемой двойной матки (два отдельных рога). Маточная артерия при этом опоясывает каждый рог в отдельности [5], поступление же крови происходит от концов рога к его середине для каждой маточной трубы [12,15].
Согласно электрофизиологическому анализу, маточные трубы крысы обладают способностью генерировать спонтанную электрическую активность, которая обеспечивает их сократительную деятельность [6,8]. Ритмогенные зоны маточной трубы располагаются в ее яичниковом (ovarian) и маточном (uterine) отделах. Вместе с тем установлено, что более частый ритм наблюдается в яичниковом отделе [10]. Исходя из данного фактора можно заключить, что именно эта зона рога играет основную роль в обеспечении продольной контрактуры маточной трубы [4].
В настоящей работе мы попытались исследовать значение кровоснабжения для локальных биоэлектрических процессов яичникового отдела каждой маточной трубы крысы.
Материал и методы
Опыты проводили на небеременных самках крыс массой 200-250 г, наркотизированных нембуталом (50-55 мг/кг) внутрибрюшинно. Эксперименты были острыми, и после завершения регистраций животные забивались.
Вскрывалась брюшная полость и обнажались корпус матки с расположенными с двух сторон маточными трубами (рогами). Матка денервировалась перерезкой корешков нервов plexus hypogastricus, uterinus, uterovaginalis. Регистрация активности проводилась с поверхности яичникового отдела каждой из маточных труб.
Рис. 1. Схема маточных труб (рогов) и артерии, снабжающих кровью каждый рог в отдельности
На рис.1 схематически представлены обе маточные трубы с так называемыми петлями маточной артерии, опоясывающими каждый рог. Спонтанная активность из указанного верхнего отдела маточной трубы отводилась биполярными электродами (межэлектродное расстояние соответствовало 2 мм) и регистрировалась на электроэнцефалографе (EEG-8 S, Hungary). Маточная артерия зажималась с помощью эластического резинового жгута непосредственно до подхода к яичнику и соответствующему ему рогу.
Результаты экспериментов статистически обрабатывались программой Sigma Plot 11.0 с применением t-критерия Стьюдента.
Все эксперименты были проведены в соответствии с правилами Ереванского государственного медицинского университета по этике в области ухода и использования лабораторных животных. Эксперименты, а также уход за животными выполнены в соответствии с «Правилами и нормами гуманного обращения с объектами исследования».
Сосудистая система маточного рога крысы выявлялась при использовании кальций-аденозинтрифосфатного метода Чилингаряна [2]. На препаратах сосудисто-капиллярная сеть выявляется за счет отложения мелкозернистого черного осадка в эпителии стенок кровеносных сосудов. Окрашиваются также элементы гладкомышечных клеток, благодаря чему легко дифференцируются артериальные, венозные и капиллярные русла. Артериальное звено выделяется яркой исчерченностью благодаря наличию гладкомышечных клеток стенок сосудов.
Результаты и обсуждение
Как было отмечено выше, лишь крайние отделы маточных труб (яичниковый и маточный) способны генерировать спонтанную электрическую активность. Причем последняя может регистрироваться как у беременной, так и небеременной крысы [3,6] и представляет собой разряды периодически возникающих вспышек потенциалов действия, которые являются результатом циклических деполяризаций мембран [11]. На рис. 2.1 показана типичная картина пейсмекерной электрической активности яичникового отдела маточной трубы, зарегистрированной в норме.
Рис. 2. Спонтанная активность яичникового отдела маточной трубы:
1 – нормальное кровоснабжение; 2 – через 10 мин после зажатия маточной артерии; 3 – через 15 мин после зажатия маточной артерии; 4 – через 20 мин после зажатия маточной артерии; 5 – восстановление кровотока; n=12
После зажатия маточной артерии в течение определенного времени наблюдается постепенное ингибирование всех показателей активности (частота, амплитуда спайков, продолжительность генеза вспышек). На рис. 2. 2,3,4 представлена картина изменений характера ритмогенеза, наблюдаемых соответственно в течение 10,15 и 20 мин после ишемии маточной артерии. Восстановление кровотока, как правило, приближает показатели активности к норме (рис. 2. 5).
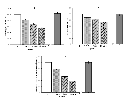
В данной серии экспериментов изменения каждой из исследуемых характеристик были проанализированы исходя из показаний активности, зарегистрированных в определенные промежутки времени: 10, 15, 20 мин. На рис. 3 представлены гистограммы изменений каждого из рассматриваемых показателей по сравнению с нормой. Как видно из рисунка, наибольшие изменения претерпевает длительность вспышек спонтанной электрической активности и амплитуда спайков (уменьшаются соответственно на 62.8 % и 45.5 %). Частота спайков также урежается, но всего лишь на 27.2 % по отношению к норме. Вместе с тем значительно продле-вается продолжительность молчащего состояния исследуемого отдела маточного рога: если в норме данный показатель соответствовал 145.2±7.3 мин, то после зажатия артерии возрастает до 216.2 ±4.9 мин. Как видно из рис. 3 (темные столбики), при последующем восстановлении кровотока регистрируется почти полное восстановление всех показателей активности до своих первоначальных значений. Причем 30 мин достаточны для получения подобной картины активности.
Рис. 3. Изменение характеристик спонтанной электрической активности яичникового отдела маточной трубы в зависимости от ишемии маточной артерии в различные периоды времени. Темный столбик – восстановление кровотока (через 30 мин). Ι – амплитуда спайков; ΙΙ – частота спайков; ΙΙΙ – продолжи-тельность генеза разрядов активности, n = 8 , P‹0,001
В течение рассматриваемого периода пейсмекерная биоэлектрическая активность яичникового отдела маточной трубы значительно подавляется, однако полного ингибирования не наблюдается. Возможно, к полной блокаде ритмогенеза могли привести увеличение периода ишемии артерии либо увеличение силы зажатия жгута до полного исчезновения просвета в сосуде. Однако такая постановка эксперимента могла бы привести к повреждению сосуда. Согласно же полученным нами результатам, последующее восстановление кровотока почти полностью приближает показатели активности к норме. Таким образом, приведенные в настоящей работе результаты могут служить подтверждением наличия определенной важной роли кровоснабжения в автоматизме, а также свидетельствуют о миогенной природе и автономности пейсмекерного автоматизма [13] , как это было показано для основной ритмогенной зоны мочеточника, локали-зованной в области перехода пиелоуретерального соустья в мочеточник [1].
Внутриорганное микроциркуляторное русло матки и маточных труб выявлялось аденозинтрифосфатным гистоангиологическим методом [2]. Одновременно с определением васкуляризации рогов матки было исследовано также сосудистое русло в близлежащей области яичников.
Рис. 4. Кровеносные сосуды микроциркуляторного русла на продольных срезах яичника (А, а) и рога матки небеременной (Б-Д) крысы (ov – яичник; corn – рог матки). Увеличение: ок. 10, об. 2,5 (а); 6,3 (Б); 10 (В, Г, Д); 16 (А)
На продольных срезах яичников обнаруживается хорошо васкуляризованное мозговое вещество. Артериальная система сильно разветвлена, поэтому на срезах повсюду обнаруживаются поперечные сечения микрососудов (рис. 4 А). Калибр венозных сосудов нередко имеет большие размеры. В корковом веществе яичников наблюдается меньшее количество кровеносных сосудов, а самая наружная его оболочка васкуляризирована весьма скудно. Переход в рог матки характеризуется менее извилистыми проходящими кровеносными сосудами, соответствующими ходу клеточных тяжей и нервных волокон, расположенных параллельно поверхности яичника (рис. 4 Б, В). В сравнении со слизистой и серозной оболочками наиболее сильно васкуляризирована мышечная оболочка маточной трубы. Кровеносные сосуды с поверхности входят в рог матки почти прямо, не извиваясь, собраны в плотный пучок и на рисунке представляют собой затемненную область. В срединном отделе маточной трубы эти сосуды принимают сильно извилистое направление, отчего на срезах наряду с короткими микрососудами в большом количестве видны их поперечные сечения (рис. 4 Г, Д). Такое расположение сосудов на всем протяжении маточной трубы характерно для небеременных самок.
Таким образом, очевидно выраженное кровоснабжение яичниковой области маточной трубы, что является немоловажным фактором в обеспечении активности данной зоны, значительно превосходящей таковую нижерасположенных участков органа.
Литература
- Казарян К.В., Ванцян В.Ц., Тираян А.С., Акопян Р.Р., Мелконян Н.Н., Симонян Л.Г. Автономность спонтанного ритмогенеза околопузырной области мочеточника кошки. Журн. Эвол. биох. и физиол., 2008, т.44, 3, с.274-278.
- Чилингарян А.М. Новый кальций-аденозинтрифосфатный метод для выявления внутриорганного микроциркуляторного русла. ДАН Армении, 1986, т.82(1),с.66-71.
- Buhimschi C. S., Saade G. R., Buhimschi I. A., Gokdeniz R., Boyle M. B., Garfield R. E. Effect of stimulatory and inhibitory drugs on uterine electrical activity measured noninvasively from the abdominal surface of pregnant rats. Am. J. Obstet. Gynecol., 2000, 183 (1):68-75.
- Crane L.H., Martin L. Pacemaker activity in the myometrium of the oestrous rat: in vivo studies using video-laparoscopy. Reprod. Fertil. Dev., 1991, 3: 519-527.
- Even M.D., Laughlin M.H., Krause G.F. , vom Saal F.S. Differences in blood flow to uterine segments and placentae in relation to sex, intrauterine location and side in pregnant rats. J. of Reproduction and Fertility,1994,102:245-252.
- Garfield R.E. and Maner W.L. Physiology and electrical activity of uterine contractions. Semin. Cell. Dev. Biol., 2007,18(3): 289-295.
- Hamilton W.F. Circulation. vol.2. (Handbook of physiology series, Section 2). American Physiological Society, Bethseda, 1963.
- Kao C.Y. Electrical properties of uterine smooth muscle. In: Wynn R.M., editor. Biology of the Uterus. Plenum Press, New York, 1977, p.423-496.
- Larcombe-McDouall J.B., Harrison N., Wray S. The in vivo relationship between blood flow, contractions, pH and metabolites in the rat uterus. Pflugers Arch. Eur. J. Physiol., 1998, 435:810-817.
- Mancinelli R., Guariglia L., Racanicchi C., Bertuzzi A., Salinari S. and Vitelli R. In vitro motility of non-pregnant rat uterine horns. Quarterly Journal of Experimental Physiology, 1988, 73: 459-469.
- Maul H., Maner W.L., Saade G.R., Garfield R.E. The physiology of uterine contractions. Clin. Perinatol., 2003, 30 : 665-676.
- Mc Laren A., Michie D. Control of pre-natal growth in mammals. Nature, 1960, 187: 363-365.
- Santicioli P., Maggi C.A. Myogenic and neurogenic factors in the control of pyeloyretral motility and uretral peristalsis. Pharmacol. Rev., 1998, 50(4): 683-721.
- Thomas P.J., Fry C.H. The effects of cellular hypoxia on contraction and extracellular ion accumulation in isolated human detrusor smooth muscle. J. Urol., 1996, 155(2): 726-731.
- Van Saal F., Dhar M. Blood flow in uterine loop artery and loop vein is bidirectional in the mouse: implications for transport of steroids between feluses. Physiology and Behavior, 1992, 52: 163-171.
- Wray S., Duggins K., Iles R., Nyman L., Osman V. The effect of metabolic inhibition and intracellular pH on rat uterine force production. Exp. Physiol., 1992, 77:307-319.
25.04.2012 Читайте также
Ключевые слова: гидропонический дубровник беловойлочный, флавоноиды, базальное ядро Мейнерта, синаптическая активность, ГАМК
Изучение мультифункциональных свойств биоактивных компонентов нейропротекторных лекарственных растений, оказывающих различные воздействия на холин-, ГАМК-, глютамин-, серотонин-, гистаминергические системы...
30.04.2012 Ключевые слова: печёночная энцефалопатия, гипераммонемия, синтез мочевины
При заболеваниях печени и желудочно-кишечного тракта происходит накопление аммиака, что оказывает токсическое действие на организм и может стать причиной развития энцефалопатии [24]...
27.04.2012 Keywords: hemorphin, calcineurin, calmodulin, sarcoma-45, doxorubicin, µ-opioid receptors (MOR)
Hemorphin-7 (H7, YPWTQRF) is a member of hemorphins family, an endogenous nonclassical opioid peptide derived from haemoglobin (Hb), demonstrating a wide spectrum of biological activities [For review see Ref. 26]...
26.04.2012 Ключевые слова: ишемический инсульт, полиморбидный синдром, са-харный диабет, ишемическая болезнь сердца, арте-риальная гипертензия
Увеличение в мире числа больных с инсультом можно рассмат-ривать как пандемию инсульта с соответствующим ростом смертности [4]. Данные Государственной службы статистики РА свидетельствуют [3]...
23.04.2012 Ключевые слова: эпидемиология рака щитовидной железы
Первые публикации о раке щитовидной железы (РЩЖ) появились в конце XIX – начале XX столетия (Леберт, 1862; Монтейфель, Гернет, 1893; М. С. Субботин, 1893; Вильсон, 1921 и др.)...
20.04.2012 Ключевые слова: городское и сельское население, распространенность и интенсивность кариеса зубов, заболевания пародонта, пародонтальный индекс
Актуальность эпидемиологического исследования заболеваний кариеса зубов и болезней тканей пародонта не потеряла своего значения и в настоящее время, считают многие исследователи [3,8]...
19.04.2012 Ключевые слова: условия труда, функциональное состояние, адаптационный потенциал, информационные технологии
Важнейшее место в структуре факторов, формирующих здоровье человека в трудоспособном возрасте, принадлежит условиям труда. Труд работников сферы информационных технологий...
18.04.2012 Ключевые слова: спортивная медицина, динамическая сегментарная диагностика
Во все времена спортивная медицина занималась диагностикой физического состояния спортсменов, их восстановлением после нагрузок и реабилитацией после травм...
17.04.2012 Ключевые слова: ожирение, левый желудочек (ЛЖ), гипертрофия левого желудочка, индекс массы тела, масса ЛЖ, дисфункция ЛЖ, сердечно-сосудистая заболеваемость и смертность
В работе австралийских исследователей [13], посвященной проблемам ожирения и его восприятия, приняло участие 412 женщин, 30% которых страдали от избыточного веса до беременности...
16.04.2012 Ключевые слова: беременность, ВИЧ-инфекция, вертикальная трансмиссия, антиретровирусная профилактика
Разработанная в 90-е годы долгосрочная программа «Безопасное материнство» предполагает дальнейшее совершенствование системы охраны здоровья матери и ребенка, обеспечение детородной функции женщин с рождением здорового потомства...
13.04.2012
САМЫЕ ЧИТАЕМЫЕ СТАТЬИ
-
Нормы роста и веса детей – данные ВОЗ
-
Зеленые выделения из влагалища: причины и лечение
- Анатомо-физиологические особенности дыхательной системы у детей
-
Насморк с кровью: причины симптома и способы лечения
- Анатомо-физиологические особенности сердечно-сосудистой системы у детей
- Анатомо-физиологические особенности пищеварительной системы у детей
- Анатомо-физиологические особенности мочевыделительной системы у детей
- Сравнительная характеристика параметров функции внешнего дыхания (обзор литературы)
- Современные представления о норме и патологических отклонениях размеров восходящей аорты при приобретенных пороках сердца
- Анатомо-физиологические особенности детей
- Анатомо-физиологические особенности костно-мышечной системы у детей
- Паллиативная химиотерапия рака: основные понятия и особенности (oбзор литературы)
-
Что можно и что нельзя делать после удаления аппендицита
-
Увеличенные яичники: симптомы, причины и лечение
-
Новейшие достижения онкологии в МЦ «Наири»: интервью с Артемом Степаняном. nairimed.com
-
О чем говорит головная боль за ухом? Причины, симптомы и лечение
-
Как снизить риск инсульта. erebunimed.com
-
Характер мужчины проявляется в выборе позы для секса
-
Армянская ассоциация медицинского туризма (ААМТ)
-
Желтые выделения из влагалища: причины и лечение
-
Рвота у ребенка без температуры: возможные причины
- Применение летрозола для стимуляции овуляции
- Врожденные аномалии и пороки развития
-
КАТИОНОРМ – представитель нового поколения искусственных слез для симптоматической терапии синдрома “сухого глаза”
-
Арам Бадалян: Родинку трогать нельзя?
- Применение противоспаечных средств в профилактике спаечной болезни живота (oбзор литературы)
-
Как избавиться от лямблий — 25 эффективных рецептов народной медицины
-
Вздутие живота при месячных: 7 способов справиться с неприятным ощущением
-
Компресс при ангине: будет ли полезным прогревание горла?
-
Онкология является самой быстроразвивающейся отраслью медицины: интервью с Левоном Бадаляном
-
Лечение марганцовкой
- Некоторые новые подходы к системной терапии метипредом больных ревматоидным артритом
- Медицинские информационные системы.Информационная система для интегрального фармацевтического и здравоохранного мониторинга
-
Фармацевтическая опека
- Подходы к оперативному лечению костно-хрящевых экзостозов
- Повреждения при родах
- Инциденталома надпочечников
-
Курение марихуаны влияет на потенцию
-
Почему противозачаточные увеличивают грудь?
- Применение индинола и эпигаллата при аденомиозе













Научная медицина
Болезни
Традиционная медицина
Здоровый образ жизни
Косметология
Медицинское право
Алгоритмы, тесты
Цифры, факты, случаи
Историческая хроника
Афоризмы
Карьерная лестница
Дети
Женщина
Мужчина
Рейтинговая система



