Медицинская наука Армении 4.2011
Экстрацеллюлярная NADPH оксидаза из асцитной жидкости карциномы Эрлиха и дисбаланс между прооксидантными и антиоксидaнтными металлопротеинами клеток тканей мышей
Ключевые слова: асцитная карцинома Эрлиха, ткань, NADPH оксидаза, металлопротеины
В настоящее время широко исследуются механизмы пролиферации и апоптоза клеток асцитной карциномы различного характера, ассоциированные со свойственными изменениями метаболизма активных форм кислорода (АФК). Так, при Уолкер 256 асцитной опухоли у крыс ионы Ca стимулируют энергетический баланс лимфоцитов селезенки с повышением уровня АФК [6]. При асцитной карциноме гепатомы Сеиделя окислительно-восстановительный статус в плазме крови и в зоне развития асцитных опухолевых клеток печени опухоленосителей существенно повышается число лейкоцитов. При этом происходит стимулирование оксидативного повреждения здоровых клеток, а в зоне развития опухоли уровень макрофагов снижается, соответственно падает содержание АФК [12]. Путем увеличения уровня АФК 54 нмоль диазепамом (убихиноновое лекарство) наблюдается стимулирование роста клеток асцитной карциномы Эрлиха (АКЭ) [10]. Однако под влиянием ультразвука (2,17 MГц, с интенсивностью 3W/см2) наблюдается оксидативное повреждение мембран клеток продуцируемыми гидроксильными радикалами, вызывается апоптоз опухолевых клеток [7]. С другой стороны, механизмы подавления антиопухолевой активности in vitro связываются с апоптозом опухоли Т-клетками, которые в большинстве локализованы в тимусе, как органе иммунной системы. У мышей, носителей клеток АКЭ, число этих клеток обратно пропорционально содержанию тимоцитов. Опухоль индуцирует апоптоз тимоцитов при АКЭ у мышей, а черный чай защищает клетки тимуса и подавляет оксидативное повреждение тимоцитов, снижая уровень АФК, продуцируемых в тимусе, но повышая их уровень при АКЭ у мышей, проявляя противоопухолевый эффект [8]. При АКЭ in vivo наблюдается дисбаланс между повышенным уровнем перекиси водорода, продуцируемым супероксиддисмутазой, и пониженным уровнем ГПО (утилизирует H2O2). На поверхности гранул внутриклеточного липопротеина клеток АКЭ найдены места восстанавления паранитрофиолетового тетразолия, что свидетельствует о продуцировании О¯2 на поверхности этих гранул [11]. С другой стороны, при АКЭ активность антиоксидантных ферментов (СОД, ГПО, глутатионтрансфераза) снижается в логарифмической фазе развития опухолевых клеток, но повышается в следующей фазе их развития [14]. После облучения видимого света ртутной лампой АКЭ наблюдается повышение уровня АФК in vitro, с существенным снижением выживаемости опухолевых клеток [9].
К настоящему времени еще комплексно и одновременно не определены уровни металлопротеинов прооксидантной активности – МПА (изоформа NADPH оксидазы из АКЭ), металлопротеинов антиоксидантной активности – МАА (изоформы СОД, каталаза) из тканей мышей. Это явилось целью работы.
Материал и методы
АКЭ у белых мышей массой 19-22 г вызывали внутрибрюшинным введением 0,3 мл асцитной жидкости (около 1 млн опухолевых клеток) [1,2]. Через 13-16 дней после декапитации животных производился забор АКЭ.
Выделение фракций изоформ NADPH оксидазы (или цитохрома b558) из мембран клеток селезенки (МКС), мембран клеток печени (МКП), мембран клеток почек (МКПЧ) белых мышей
Фракцию NАDРН оксидазы из водной смеси МКС, МКП и МКПЧ выделяли и очищали лицензированным способом без использования детергента для солюбилизации этих гемопротеинов (использовали по 0,1 г ткани селезенки, 5 г печени и 0,5 г почек). После промывания тканей физиологическим раствором и взвешивания их гомогенизировали в 0,25 М сахарозы (по 0,5г ткани в 10 мл сахарозы) стеклянным гомогенизатором с тефлоновым пестиком в течение 1 мин при 4оС. Мембраны клеток осаждали дифференциальным центрифугированием. Осадок мембран промывали водой (1:50 об/об) и повторно центрифугировали (10 000 об/мин, 10 мин). Очищенные от следов сахарозы и других сопутствующих водорастворимых солей МКС, МКП, МКПЧ смешивали с водой (1:5 об/об) и окончательно гомогенизировали в аналогичном режиме и после солюбилизации фракции изоформы NADPH оксидазы из этих очищенных мембран, удаления нерастворимых осадков центрифугированием и диализа надосадочных растворов против воды, фракции изоформ NADPH оксидазы из приведенных мембран клеток подвергали ионообменной хроматографии на колонке с целлюлозой КМ-52 (для удаления следов гемоглобина или других сопутствующих белков основной природы). Не задерживающиеся на колонке с КМ-52 белковые фракции далее подвергали ионообменной хроматографии на колонке с целлюлозой ДЕ-52. После промывания этой колонки сначала водой, а затем 0,01 М калий-фосфатным буфером рН 7,4 (КФБ) фракции изоформ NADPH оксидазы кислой природы элюировали из колонки с ДЕ-52 0,2 М КФБ [3].
Выделение фракции NADPH оксидазы из эритроцитарных мембран (ЭМ) мышей
Фракцию NADPH оксидазы из ЭМ у интактных мышей и мышей, носителей АКЭ, выделяли лицензированным способом [4], путем их солюбилизации из ЭМ (из 0,5 мл эритроцитов), диализа против воды, центрифугирования и ионообменной хроматографии супернатанта на колонке с целлюлозой KM-52 и DE-52.
Выделение фракций экстрацеллюлярной NADPH оксидазы из сыворотки крови мышей и асцитной жидкости карциномы Эрлиха
После инкубирования очищенной от следов эритроцитов и плаз-менных клеток сыворотки крови мышей и асцитной жидкости в течение 4 суток при 4о их подвергали диализу против воды. После центрифугирования диализата (6000 об/мин, 10 мин) и удаления из нее липопротеина высокой плотности, супрола, повторным центрифугированием фракцию экстрацеллюлярной NADPH оксидазы выделяли ионообменной хроматографией надосадочного раствора на сефадексе ДЕАЕ А-50 с элюированием 0,04 М КФБ. После разбавления элюата водой (20 раз) и ионообменного хроматографирования на колонке с целлюлозой ДЕ-52 фракцию экстрацеллюлярной NADPH оксидазы элюировали 0,04 М КФБ [5].
Уровень NADPH оксидазы определяли путем измерения характерной для нее оптической плотности при А530 (β-полоса поглощения). Удельное содержание NADPH оксидазы (цит b558) из МКС, МКП, МКПЧ, ЭМ, сыворотки крови и асцитной жидкости определяли из расчета на 1 мл раствора цит b558, полученного из 1 г селезенки, 1г печени, 1г почек, 1 мл сыворотки, 1 мл асцитной жидкости и 1 мл эритроцитов.
Определение NАDРН-зависимой О¯2-продуцирующей активности изоформ NADPH оксидаз (изоформы цит b558) мышей
NАDРН-зависимую О¯2-продуцирующую активность изоформ NADPH оксидазы определяли нитротетразолиевым синим (НТС) методом, путем вычисления процента образующегося формазана при 560 нм в результате восстанавления НТС супероксидными радикалами. За единицу NАDРН-зависимой О¯2-продуцирующей активности изоформ NADPH оксидазы принимали количество белка (плотность оптического поглощения β-полосы цит b558 при 530 нм), которое стимулирует образование формазана на 50%. Удельная NADPH-зависимая О¯2-продуцирующая активность была определена в расчете на 1 мл эритроцитов, 1 мл сыворотки или 1 г тканей.
Определение ферриHb-восстанавливающей активности NADPH оксидазы (изоформы цит b558)
ФерриНb-восстанавливающую активность изоформы NADPH оксидазы определяли с использованием свежеполученной ферриНb цитоплазмы эритроцитов белых мышей с величиной плотности оптического поглощения (α-полоса поглощения) при А565= 0,6 оптических единиц. Непосредственно в кварцевых кюветах спектрофотометра к 3 мл раствора ферриНb добавляли 0,2 мл цит b558 с А530 = 0,2. После перемешивания реакционной смеси ее инкубировали в аэробных условиях в течение 15-16 ч при 30о. Далее, после повторного перемешивания реакционной смеси, определяли кинетику восстановления ферриHb до ферроHb, путем измерения снижения плотности α-полосы поглощения ферри Hb при 565 нм (это снижение прямо пропорционально образующемуся ферроHb при А555). За единицу ферриНb-восстанавливающей активности NADPH оксидазы принимали количество белка, вызывающего снижение плотности максимального оптического поглощения α-полосы ферриHb величиной до 0,05 оптических единиц в течение часа при 20о. Удельная ферриНb-восстанавливающая активность изоформы NADPH оксидазы была определена в расчете на 1 мл эритроцитов, 1 мл сыворотки и 1 г тканей [13].
Оптические спектральные измерения осуществляли на спектро-фотометре “Specord UV/VIS” (Германия), с длиной оптического пути 1 см. Статистическую обработку полученных результатов осуществляли общеизвестным методом вариационной статистики Стьюдента-Фишера с определением критерия достоверности «p».
Результаты и обсуждение
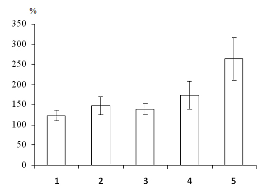
По сравнению с показателями интактных мышей, у мышей-носителей АКЭ в подавляющем большинстве наблюдается резкое повышение уровня изоформ NADPH оксидазы (цит b558) из МКС, МКП, МКПЧ и ЭМ (16-191%). Снижается только уровень экстрацеллюлярной NADPH оксидазы из сыворотки крови мышей (27,3 %), носителей АКЭ, как это показано на рис.1. Резко повышается и NADPH-зависимая О¯2-продуцирующая активность этих NADPH оксидаз в среднем от 23 до 164 % (рис.2). У мышей, носителей АКЭ, ферриHb-восстанавливающая активность заметно снижается (12-41 %), как это показано на рис.3. При этом наблюдается неадекватное изменение уровня и активности NADPH оксидаз в мембранах клеток приведенных тканей. На этом фоне активность
Рис.1. Изменение (%) уровня МПА (плотность максимального оптического поглощения NADPH оксидаз при 530 нм) в тканях мышей, носителей АКЭ: сыворотка крови (1), ЭМ (2), МКП (3), МКПЧ (4) и МКС (5), р‹0,05, n=6
Рис.2. Изменение (%) NADPH-зависимой О2¯- продуцирующей активности NADPH оксидазы в тканях мышей, носителей АКЭ: сыворотка крови (1), ЭМ (2), МКП (3), МКПЧ (4) и МКС (5), р‹0,05, n=6
Рис.3. Изменение (%) ферриHb-восстанавливающей активности NADPH оксидазы в тканях мышей, носителей АКЭ: сыворотка крови (1), ЭМ(2), МКП (3), МКПЧ (4) и МКС (5), р‹0,05, n=6
Рис.4. Изменение (%) супероксиддисмутазной активности фракции в тканях мышей, носителей АКЭ: эритроциты (1), печень(2), почки (3) и селезенка (4), р‹0,05, n=6
Cu,Zn-СОД эритроцитов и суммарная Cu,Zn-СОД и Мn-СОД активность печени, почек и, особенно, селезенки повышается до 2,16 раза (рис. 4). Повышение СОД активности является ответом адаптационных механизмов клеток против резкого повышения уровня О¯2. С другой стороны, у мышей-опухоленосителей активность каталазы в эритроцитах и печени снижается, но повышается в клетках почек и клетках селезенки (69,1 ± 6,5, р‹0,02) (рис. 5). Возможное увеличение уровня каталазы в клетках почек и селезенки ассоциировано с увеличением активности СОД (продуктом дисмутирования О¯2 по схеме: 2О¯2 + 2Н+ → H2O2 + O¯2 является перекись водорода, которая является субстратом каталазы) для того, чтобы расщепить продуцируемую перекись водорода. Однако это предположение не действует на примере эритроцитов и печени. Видимо, уровень H2O2 снижается глутатионпероксидазой, уровень которой повышается [14]. Расчетный суммарный уровень МПА значительно превышает таковой у МАА. В результате этого уровень АФК (О¯2, H2O2, HO●) повышается в клетках этих тканей мышей, вызывая их оксидативное повреждение [7, 8,12].
Рис.5. Изменение (%) каталазной активности фракции в тканях мышей, носителей АКЭ: эритроциты (1), печень (2), почки (3) и селезенка (4), р‹0,05, n=6
Оптические спектральные характеристики фракций NADPH оксидазы из ЭМ, МКС, МКП, МКПЧ и сыворотки в подавляющем большинстве не отличаются от таковых у NADPH оксидаз из мембран клеток тканей мышей, носителей АКЭ (рис.6). На примере оптического спектра поглощения NADPH оксидазы из МКС можно заметить наличие характерной формы и максимумов оптического поглощения (при 530 нм, 560 нм, 412 нм – в окисленном состоянии, 558 нм, 562 нм и 518 нм – в восстановленном).
Рис.6. Оптические спектры изоформ NADPH оксидазы: селезенка и эритроциты (1), печень (2) и почки (3) в окисленном состоянии и после восстановления последней дитионитом натрия (------)
Впервые из асцитной жидкости АКЭ получена изоформа NADPH оксидазы слабокислой натуры с характерными для экстрацеллюлярной NADPH оксидазы из сыворотки млекопитающих оптическими спект-ральными свойствами (имеется характерный для экстрацеллюлярной NADPH оксидазы максимум оптического поглощения при 485 нм) (рис.7). Из 40 мл асцитной жидкости АКЭ получено 20 мл фракции NADPH оксидазы слабокислого характера с А560 = 0,2 оптических единиц. Причем NADPH оксидаза из АКЭ также обладает NADPH-зависимой О¯2-продуцирующей и ферриHb-восстанавливающей активностью. По сравнению с экстрацеллюлярной NADPH оксидазой из сыворотки крови человека и крыс, NADPH-зависимая О¯2-продуцирующая активность экстрацеллюлярной NADPH оксидазы из АКЭ снижена на 19,1 ± 2,5% (р‹0,02),
Рис.7. Оптические спектры поглощения концентрированной экстрацеллюлярной NADPH оксидазы из асцитной жидкости АКЭ: сыворотка крови млекопитающих (человек, крыса, мышь) (1) и после их разбавления 0,2 М калий-фосфатным буфером, рН 7,4, в окисленном (2) и восстановленном дитионитом натрия состоянии (----)
16,8 ± 3,3% (р‹0,02) соответственно и повышена на 28,3 ± 4,1% (р‹0,02) по сравнению с экстрацеллюлярной NADPH оксидазой из сыворотки здоровых мышей. Фактически для пролиферации и развития опухолевых клеток основным источником продуцирования О¯2 является экстрацеллюлярная NADPH оксидаза при АКЭ in vivo. Чрезмерное продуцирование О¯2 этим ферментом на конечных этапах проживания мышей может повысить фон оксидативного повреждения этих клеток, вызывая гибель животных. Уровень NADPH оксидазы из опухолевых клеток АКЭ на конечных стадиях эксперимента (через 14-16 дней) ниже такового у экстрацеллюлярной NADPH оксидазы из асцитной жидкости до 8-10 раз.
Таким образом, характерной особенностью канцерогенеза АКЭ является то, что ключевым источником продуцирования О¯2 для аэробных метаболических процессов при развитии АКЭ является экстрацеллюлярная NADPH оксидаза, у которой ферриHb-восстанавливающая активность снижена (31,5±3,0, p‹0,05), по сравнению с сывороточными NADPH оксидазами других млекопитающих. Это является фактором изменения кислородного гомеостаза в опухолевых клетках у мышей при АКЭ.
Полученные данные дают основание выдвинуть предположение о возможном уничтожении экстрацеллюлярной NADPH оксидазы (как основного компонента АKЭ) антителами, образующимися против этого фермента, полученного из асцитной жидкости АКЭ.
Литература
- Даниелян Э.П., Овсепян Гу.П., Степанян Г.М., Арсенян Ф.Г., Гарибджанян Б.Т. Влия-ние заместителей на противоопухолевую активность некоторых дистиосемикарбазонов метил глиоксаля и их хелатов с ионами меди (Cu+2). Хим.фарм., 2008, 9, с. 42-44.
- Ирадян М.А., Ирадян Н.С., Степанян Г.М., Арсенян Ф.Г., Гарибджанян Б.Т. Произ-водные имидазола XXVIII. Синтез и противоопухолевая активность 4(5)-[4(3,3-диметилтриазено-1]-3-нитрофенил имидазола и pодственных веществ. Хим.фарм. 2001, 35, 4, с. 7-9.
- Симонян Г.М., Симонян Р.М., Симонян М.А. Способ получения цитохрома b558 из клеточных компонентов. Лицензия изобрет. Армпатента, N 2233 А. Ереван, 2008.
- Симонян Г.М., Симонян Р.М., Симонян М.А. Способ получения цитохрома b558 из эритроцитарных мембран. Лицензия изобрет. Армпатента, N 908. Ереван, 2001.
- Симонян М.А., Симонян Г.М., Симонян Р.М. Способ получения металлопротеинов крови. Лицензия изобрет.Армпатента, N 341. Ереван, 1997.
- Degasperi G.R., Velho J.A., Zecchin K.G., Souza C.T et al. Role of mitochondria in the immu-ne response to cancer: a central role for Ca+2. J.Bioenerg.Biomembr., 2006, 38(1): 1-10.
- Hao G., Liu G., Wang X., Li T., Tong W.Y. Membrane damage effect of therapeutic ultrasound on Ehrlich ascetic tumor cells. Cancer.Biother.Radiopharm., 2004, 24(1): 41-48.
- Maddal D., Lahiry L., Bhattacharyya A., Chattopadhyay S., Siddiqi M., S.Gi., Das.T. Black tea protects thymocytes in tumor-bearing animals by differential regulation of intracellular ROS in tumor cells and thymocytes. J.Emiron.Pathol.Toxicol., 2005, 24(4):91-104.
- Prilutska S.V., Burlaka A.P., Matyshevska O.P., Golub A.A. et al. Effect of the visible light irradiation of fullerene-containing composites on the ROS generation and the viability of tumor cells. Exp.Oncol., 2006, 28(2): 160-162.
- Sakai M., Ferranz-de-Paula V., Pinheiro M.L. et al. Translocator protein (18 kDa) mediates the pro-growth of diazepam on Ehrlich tumor cells in vivo. Eur.J. Pharmacol., 2010, 626(2-3):131-138.
- Schwartsburd P.M., Lankin V.Z. Endogenous induction of transient oxidant-imbalances in Ehrlich cells as a possible trigger to fast tumor liquid accumulation. Med.Oncol., 1995, 12(4): 203-207.
- Shatalin Iu. V., Naumov A.A.,Potselueva M.M. Variation in cell population size and reactive oxygen species level in the blood and the ascites liquid of tumor carrier. Tsitologia, 2010, 52(2): 131-135.
- Simonyan G.M., Simonyan R.M., Simonyan M.A. The reduction of hemoglobin by erythrocyte membranes cytochrome b558III at various pathological states in vitro. Electronic J. Natural Sci. NAS RA, 2006, 2(7): 3- 6.
- Smirnova L.P., Kondakova I.V. Dependence of antioxidant enzyme activities rate and tissue organization of Ehrich’s carcinoma. Biomed.Khim., 2004, 50(6):566-575.
25.01.2012 Читайте также
Ключевые слова: нейропротекторы, лекарственные растения, комплексный терапевтический эффект
Нейропротекторы относятся к ноотропным препаратам смешанного типа с широким спектром эффектов. В основе терапевтического действия ноотропных препаратов лежит несколько механизмов: улучшение энергетического состояния нейронов (усиление синтеза АТФ...
31.01.2012 Ключевые слова: вирус Эпштейна-Барр, HHV, герпес-вирус, В-лимфоциты, патогенез, иммунопатогенез
В последние годы наблюдается рост числа больных, страдающих хроническими рецидивирующими герпесвирусными инфекциями...
30.01.2012 Ключевые слова: постлучевая макулопатия, радиационная ретинопатия, брахитерапия, меланома хориоидеи, осложнения после брахитерапии, офтальмоаппликатор, транспупиллярная термотерапия, органосохранное лечение внутриглазной меланомы
Идея локального разрушения хориоидальной меланомы с помощью контактного радиоактивного облучения появилась в 1930 г., когда Р. Moore [23] впервые ввел в склеру пораженного глаза радиоактивный радон...
27.01.2012 Ключевые слова: перекисное окисление липидов, малоновый диальдегид, свободнорадикальное окисление, антиокислительная активность
Кислородное голодание является одним из наиболее серьезных осложнений, часто сопровождающихся хроническими и острыми повреждениями головного мозга...
26.01.2012 Ключевые слова: радионуклиды, солюбилизация, радиоактивность, слизни, дождевые черви
Экологические последствия радиоактивного загрязнения почв заключаются в том, что, проникая в трофическую систему почва–растение–животное, радионуклиды...
24.01.2012 Ключевые слова: экстракция, спектрофотометрия, трифенилметановый краситель, фуксин, чувствительность
Оксациллин – это натриевая соль моногидрата пенициллина. Оксациллин является полусинтетическим пенициллином. Как все антибиотики, оксациллин с несложной структурой синтезируется с помощью простых органических соединений...
23.01.2012 Ключевые слова: вирусные гепатиты,больные, полость рта, слизистая оболочка, пародонт, бактериологическое исследование
Воспалительные заболевания пародонта отличаются высокой распространенностью (среди взрослого населения их частота составляет 90%), неуклонным ростом заболеваемости...
20.01.2012
САМЫЕ ЧИТАЕМЫЕ СТАТЬИ
-
Нормы роста и веса детей – данные ВОЗ
-
Зеленые выделения из влагалища: причины и лечение
- Анатомо-физиологические особенности дыхательной системы у детей
-
Насморк с кровью: причины симптома и способы лечения
- Анатомо-физиологические особенности сердечно-сосудистой системы у детей
- Анатомо-физиологические особенности пищеварительной системы у детей
- Анатомо-физиологические особенности мочевыделительной системы у детей
- Сравнительная характеристика параметров функции внешнего дыхания (обзор литературы)
- Современные представления о норме и патологических отклонениях размеров восходящей аорты при приобретенных пороках сердца
- Анатомо-физиологические особенности детей
- Анатомо-физиологические особенности костно-мышечной системы у детей
- Паллиативная химиотерапия рака: основные понятия и особенности (oбзор литературы)
-
Что можно и что нельзя делать после удаления аппендицита
-
Увеличенные яичники: симптомы, причины и лечение
-
Новейшие достижения онкологии в МЦ «Наири»: интервью с Артемом Степаняном. nairimed.com
-
О чем говорит головная боль за ухом? Причины, симптомы и лечение
-
Как снизить риск инсульта. erebunimed.com
-
Характер мужчины проявляется в выборе позы для секса
-
Армянская ассоциация медицинского туризма (ААМТ)
-
Желтые выделения из влагалища: причины и лечение
-
Рвота у ребенка без температуры: возможные причины
- Применение летрозола для стимуляции овуляции
- Врожденные аномалии и пороки развития
-
КАТИОНОРМ – представитель нового поколения искусственных слез для симптоматической терапии синдрома “сухого глаза”
-
Арам Бадалян: Родинку трогать нельзя?
- Применение противоспаечных средств в профилактике спаечной болезни живота (oбзор литературы)
-
Как избавиться от лямблий — 25 эффективных рецептов народной медицины
-
Вздутие живота при месячных: 7 способов справиться с неприятным ощущением
-
Компресс при ангине: будет ли полезным прогревание горла?
-
Онкология является самой быстроразвивающейся отраслью медицины: интервью с Левоном Бадаляном
-
Лечение марганцовкой
- Некоторые новые подходы к системной терапии метипредом больных ревматоидным артритом
- Медицинские информационные системы.Информационная система для интегрального фармацевтического и здравоохранного мониторинга
-
Фармацевтическая опека
- Подходы к оперативному лечению костно-хрящевых экзостозов
- Повреждения при родах
- Инциденталома надпочечников
-
Курение марихуаны влияет на потенцию
-
Почему противозачаточные увеличивают грудь?
- Применение индинола и эпигаллата при аденомиозе













Научная медицина
Болезни
Традиционная медицина
Здоровый образ жизни
Косметология
Медицинское право
Алгоритмы, тесты
Цифры, факты, случаи
Историческая хроника
Афоризмы
Карьерная лестница
Дети
Женщина
Мужчина
Рейтинговая система






