Медицинская наука Армении 3.2011
Влияние альфа-кетоглутарата на окисление сукцината и Са2+-динамику в митохондриях сердца
Ключевые слова: митохондрии сердца, Са2+-регуляция, сукцинат, α-кетоглутарат, трансаминирование
Са2+-сигнал посылается митохондриям от экстраклеточных Са2+-сигналов. Важно отметить, что сигнал поступает не непрерывно, а циклически, в зависимости от функциональных стимулов: реципрокных гормонов и циклических нуклеотидов, cATP/cGTP [10, 12,17], сокращения-расслабления мышц [6, 7, 17, 23]; он инициирует циклическую активацию Са2+-чувствительных митохондриальных ферментов, ионных каналов, предупреждает перегрузку Са2+ [7, 8, 10, 15, 17]. Допускается, что митохондрии имеют свои системы Са2+-контроля [17, 18]. В качестве таковой мы рассматриваем феномен трансаминирования (ТА), принимая во внимание чувствительность к изменению концентрационных соотношений, участвующих в ТА субстратов, α-кетоглутарата (α-КГЛ) и глутамата (ГЛУ), и активность сукцинатзависимого (СЗ) накопления Са2+ в митохондрии [3, 4, 20]. В работе приводятся данные по изучению указанного феномена в митохондриях сердечной мышцы в норме и условиях патологии сердца.
Материал и методы
Использовались сердца интактных животных (собаки, кролики, крысы), из которых выделяли митохондрии [1] или изготовляли (у крыс линии Вистар) гомогенаты [3]. Исследовали состояния с гипок-сией/ишемией миокарда в острой и хронической стадиях. Модель 1 вызывали у собак (массой 10-16 кг) путем перфузии сердца донорской кровью (с объемной скоростью 60 мл/мин на 1 кг массы, 30-40 мин, T=300C). Собак распределили в три группы: контрольную (без каких-либо осложнений) – а, группу с развитием гемацидоза и спонтанной фибрилляции – б и/или остановки сердца – в. Модель 2 (теофиллин-адреналиновый миокардит) вызывали у кроликов (массой 3-3,5 кг) [5]. Часть из них лечили α-КГЛ: ежедневно в течение первых и последних 12 дней (с интервалом между ними в 10 дней) патологии в краевую вену уха вводили раствор Na соли α-КГЛ (рН 7,4) по 50 мг на 1 кг массы. Контролем служили кролики без миокардита и с таковым без терапии α-КГЛ. Измеряли (под наркозом) показатели силы сокращения (max систолического – СД и конечного диастолического давления – КДД) в левом желудочке. Затем сердце и печень быстро извлекали и переносили в буферную смесь на льду. В модели 1 исследовали фосфорилирующее окисление, в модели 2 – флуоресценцию NADH митохондрий и ультраструктуру кардиомиоцитов. Учитывали падеж животных.
Митохондриальные функции измеряли с помощью следующих методов: дыхание – полярографическим способом с помощью платинового электрода; скорость синтеза ATP – по убыли Н+ (защелачивание среды) с помощью водородного электрода. Ввели также новый тест для оценки эффективности синтеза ATP, как отношение скорости убыли Н+ к скорости стационарного уровня рН; окислительно-восстановительное превращение NАDH – по его флуоресценции (366-450 нм); поглощение Cа2+ – по противофазному изменению Н+/Са2+ обмена с помощью Н+-электрода. СаСl2 добавляли порциями до спонтанного выброса из митохондрий. Сумма поглощенных катионов характеризует Cа2+-емкость.
Ультраструктуру кардиомиоцитов изучали с помощью электронного микроскопа ЭВМ-100 ЛМ при ускоряющем напряжении 75 кВ.
В качестве субстрата окисления использовали сукцинат в различной комбинации с α-КГЛ, ГЛУ, оксалоацетатом (ОАА), фосфоенолпируватом (ФЕП), малатом – природными источниками ОАА, ингибиторами активности трансаминаз –сукцинатдегидрогеназы (СДГ) и α-кетоглутаратдегидрогеназы (α-КГЛДГ), аминооксиацетатом (АОА), малонатом и арсенитом соответственно. Состав сред инкубации для тканевых препаратов, а также концентрация добавленных субстратов и активаторов дыхания (ADP, 2,4-динитрофенола – DNP) указаны в подписях к рисункам. Измерения проводили в течение не более 30-40 минут с момента получения препаратов при 230С. Белок измеряли методом Лоури. Результаты обрабатывали по
t-критерию Стьюдeнта.
Результаты и обсуждение
Представлены результаты по дозозависимому притормаживающему влиянию α-КГЛ на окисление сукцината, поддерживаемое им дыхание (табл. 1), уровень NADH (рис. 1) и Са2+ -емкость (рис. 2, табл. 2) в митохондриях и гомогенатах сердечной мышцы. Приведены сравнительные данные по влиянию субстратов ТА, α-КГЛ и ГЛУ на вышеуказанные СЗ реакции.
Рис. 1. А – притормаживающее действие α-кетоглутарата (α-КГЛ ) на поддерживаемый окислением сукцината (С) уровень NАDН в митохондриях сердца; Б – смена между окислением-восстановлением NАDН во взаимодействии с накоплением-убылью оксалоацетата в митохондриях сердца.
Условия инкубации: среда инкубации общим объемом 1 мл содержит: сахарозы 250 мМ, КС1 60 мМ, КН2РО4 1,5 мМ, Tris-буфера 1,5 мМ, рН 7,4.
А – митохондрии из сердца собаки. Флуоресценция NАDН на сукцинате (С) 4 мМ (1), α-КГЛ 6 мМ (2), сукцинате и α-КГЛ (3). Последовательно, после обратимого восстановления NAD (на воздействие ADP), добавлено: α-КГЛ по 3мМ четыре раза для (1), сукцинат 4 мМ (для 2) и ADP (для 1 и 2), что соответствует кривой (3). Везде ADP 200 мкМ;
Б – митохондрии из сердца кролика. Последовательно добавлено: сукцинат 4 мМ, малат, ГЛУ, α-КГЛ по 6 мМ и ротенон 2 мкМ
Таблица 1
Ограничение α-кетоглутаратом дыхания на сукцинате в митохондриях интактного сердца собаки
|
Субстрат окисления, мМ |
Скорость дыхания в метаболических состояниях, нмоль О2 /сек на мг белка. Прирост дыхания, %
|
Показатели сопряженности
|
||||
|
V2 |
VADP |
V4 |
VDNP |
ДК -V3 /V4 |
P/О |
|
|
1. C 4, (n=9) |
2,4 ± 0,1 100%
|
7,6± 0,28 +217 |
2,6± 0,14 +4 |
– |
2,9 |
2,2 |
|
2. C+ ГЛУ 2, (n=8) |
*2,7 ± 0,1 +12
|
8,2 ± 0,45 +242 |
2,9 ± 0,1 +21 |
9,7 ± 0,4 +304 |
2,9
|
2,5
|
|
3.C+ (n=7) |
*2,1 ± 0,14 – 13
|
6,2 ± 0,25 +158 |
2,0 ± 0,2 –17 |
7,1 ± 0,3 +196
|
3,0 |
3,0
|
|
4.C+ (n=7) |
*1,7 ± 0,07 – 29
|
4,9 ± 0,5 +100 |
1,6 ± 0,06 –33 |
6,5 ± 0,1 +171 |
3,1
|
3,9
|
|
5. C+ (n=5) |
*1,3 ± 0,01 - 46 |
4,6 ± 0,12 +86 |
1,2 ± 0,05 – 50
|
5,1 ± 0,2 +113 |
3,8
|
4,0
|
|
6. α-КГЛ 6/9, (n=9) |
*1,2 ± 0,05 – 42
|
4,9 ± 0,26 +104 |
1,2 ± 0,01 – 46 |
5,2 ± 0,1 +116 |
4,1 |
4,1 |
|
7. ГЛУ 6, (n=9) |
*1,3 ± 0,05 – 46 |
4,9 ± 0,05 + 104 |
1,3 ± 0,05 – 42 |
– |
3,8 |
3,6 |
Примечание. Условия инкубации те же, что на рис.1. Скорости дыхания на добавленном сукцинате 4 мМ (1), сукцинате и ГЛУ 2 мМ (2), сукцинате и α-КГЛ по 3, 6 и 9 мМ (3, 4 и 5), α-КГЛ 6/9 мМ (6) и ГЛУ 6 мМ (7). Везде ADP по 200 мкМ, 2,4 -динитрофенол (DNP) по 30 мкМ. Субстраты добавлены до внесения в среду (по 1,35 мг) белка митохондрий (МХ). Прирост дыхания соотнесен к скорости дыхания на добавленном сукцинате, принятой за 100%.
*р = 0,01 к скорости дыхания на добавленном сукцинате
Табл. 1 демонстрирует притормаживающее действие α-кетоглутарата на поддерживаемое окислением сукцината дыхание и уровень NАDН в митохондриях сердца у собаки. Видно, что α-КГЛ последовательно (с нарастанием дозы от 3 до 6/9мМ) притормаживает дыхание на сукцинате в состоянии без активатора и стимуляции ADP и DNP, приближая его к уровню дыхания при моноокислении α-КГЛ; усиливает сопряжение дыхания с накоплением энергии, что выражается относительно к сукцинату повышением показателей дыхательного контроль (ДК) на 31% и P/O на 81%. В отличие от α-КГЛ , ГЛУ активирует окисление сукцината без заметного изменения значений P/O и ДК (табл.1 [3, 4]). Заметим, что значения ДК и P/O при окислении только ГЛУ одинаково с α-КГЛ высокие. Сходное дыханию ограничение α-КГЛ видим по другим СЗ реакциям (см. ниже).
Рис. 2. Притормаживающее действие α-кетоглутарата и оксалоацетата на поддерживаемое окислением сукцината поглощение Са2+ в митохондриях сердца собаки. Обращение торможения глутаматом, углубление аминооксиацетатом.
Среда инкубации: общий объем 2 мл. Представлена Са2+-емкость на добавленном: А – сукцинате 4мМ (1), сукцинате и α-КГЛ 3 мМ или ОАА 1,5 мМ (2), сукцинате и α-КГЛ 6мМ или ОАА 3 мМ (3); Б, Б1 – на добавленных сукцинате, α-КГЛ 6 мМ и ГЛУ 10 мМ (1), сукцинате, α-КГЛ 6 мМ, ГЛУ 10 мМ и АОА 2 мМ (2), сукцинате, α-КГЛ 6 мМ, ГЛУ 10 мМ, АОА 2мМ, малонате 2 мМ и
арсените 1 мМ (3)
Таблица 2
Ограничение α -кетоглутаратом и фосфоенолпируватом стимулированного глутаматом накопления Са2+ на сукцинате в митохондриях сердца у животных (крысы, кролики). Торможение накопления Са2+ аминооксиацетатом(АОА) и малонатом
|
Препарат |
Са2+ -емкость, нмоль Н+ на мг белка |
|||||
|
Субстрат окисления, мМ |
||||||
|
1. С4 |
2. С + ГЛУ1 |
3. С+ГЛУ1 |
4. С+ГЛУ10
|
5. С+ ГЛУ10 +АОА 2 |
6. С+ГЛУ10 +АОА 2+малонат2
|
|
|
Гомогенат cердца крысы (n = 11) |
203 ± 25
|
*389 ± 15 100% |
+α-КГЛ10 |
|||
|
251 ± 24 - 32 |
*329 ± 15 - 16 |
187 ± 20 - 52 |
*99 ± 5 - 74 |
|||
|
+ФЕП1 |
||||||
|
248 ± 28 - 36 |
*344 ± 28 - 9 |
184 ± 17 - 53 |
*89 ± 7 - 77 |
|||
|
МХ сердца крысы (n = 2) |
- |
314 100% |
180 - 43 |
- |
113 - 64 |
- |
|
МХ сердца собаки (n = 9) |
137 ± 7
|
*241 ± 7 100% |
+ α-КГЛ6 |
|||
|
159 ± 13 - 34 |
*215 ± 5 - 11 |
127 ± 3 - 53 |
*42 ± 6 - 83 |
|||
|
+ФЕП1 |
||||||
|
147 ± 4 - 39 |
*239 ± 3 - 1 |
119 ± 7 - 51 |
*37 ± 2 - 85 |
|||
Примечание. % соотнесен к Са2+-емкости на добавленном сукцинате и глутамате (С+ГЛУ), (принятой за 100%), для 3, 4, 5 и 6 (вторые строчки). Условия инкубации те же, что на рис. 2.
*р = 0,01 к Са2+ -емкости на добавленном сукцинате
Из данных рис.1 А видно, что α-КГЛ дозозависимо уменьшает (32-38%) поддерживаемый окислением сукцината уровень флуоресценции NАDН, изменяет характер обратимого (на воздействие ADP) превращения NAD, приближая к таковому для моноокисления α-КГЛ (короткая амплитуда, замедленная фаза, некоторая избыточность восстановления). Данными рис. 1 Б представлена ритмическая смена восстановления –окисления NADН на сукцинате в ответ на последовательное внесение в среду малата, ГЛУ, α-КГЛ и ротенона, где ГЛУ восстанавливает вызванное малатом окисление NADН, α-КГЛ отменяет это действие, ГЛУ – окисляет NADН, что обращается ротеноном. Очевидно соответствие между колебанием уровня NADН и таковым (отводом- генерацией) эндогенного ОАА.
Рис. 2 демонстрирует притормаживающее действие α-кетоглутарата на поддерживаемое окислением сукцината поглощение Са2+. Имеется сходство во влиянии на поглощение Са2+ α-кетоглутарата, фосфоенолпирувата и оксалоацетата. Из данных рис. 2 видно также, что α-КГЛ дозозависимо уменьшает (17-39%) СЗ накопление Са2+ и сокращает время удержания катиона в митохондриях сердца. Это действие для 3 и 6 мМ α-КГЛ сходно с таковым для 1,5 и 3 мМ ОАА, легко отменяется превышающими (9 мМ) дозами ГЛУ и подавляется под влиянием ингибиторов: АОА (46%), малоната+арсенита (93%).
Применение нового приема – изменения концентрационного соотношения ГЛУ и α-КГЛ в диапазоне 1 : 10 мМ, позволило выявить высокую чувствительность к этому изменению показателя Са2+-емкости в сердцах животных (табл. 2). Из данных табл. 2 следует, что Са2+-емкость при концентрационном преобладании (10 : 1) α-КГЛ над ГЛУ уменьшается
(34%), сходно действует и ФЕП. Тормозящее поглощение Са2+ действие α-КГЛ, ФЕП и ОАА (рис. 2) избытком (10мМ) ГЛУ обращается. И последовательно углубляется в ряду ингибиторов: АОА (19%) и малоната (30%).
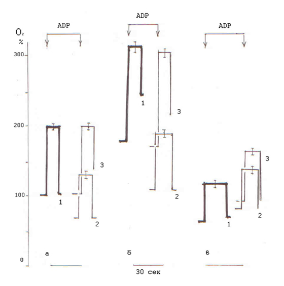
Торможение α-кетоглутаратом гиперактивации окисления сукцината и усиление сопряжения с накоплением энергии при нарушении функции сердца у собак. На рис. 3 сравниваются кривые дыхания (на сукцинате, сукцинате и α-КГЛ, сукцинате, α-КГЛ и ГЛУ) для митохондрий желудочков с разным течением перфузии сердца: неосложненной (а), после спонтанной фибрилляции (б) или остановки сердца (в).
Из данных рис. 3 явствует, что α-КГЛ притормаживает гиперак-тивное дыхание на сукцинате, ускоряет переход в отрегулированное состояние при фибрилляции и стимулирует дыхание при его спаде – остановке сердца. Тормозящее действие α-КГЛ на окисление сукцината отменяет ГЛУ.
Эффект курсовой терапии α-КГЛ при модельном миокардите у кроликов. Из данных рис. 4 видно, что терапия α-КГЛ приводит к росту выживаемости (от 0-40% до 100%), стабилизации сократительной функции миокарда (значение СД/КДД у леченой группы составило 120/1 против 91/7 в группе без лечения, в контроле = 0, р=0,01), нормализации амплитуды и фазы окислительно-восстановительного превращения NADH в митохондриях сердца и печени. В кардиомиоцитах замечены скопления мелких митохондрий вокруг активного ядра, множество рибосом, по сравнению с таковыми у нелеченых животных.
Проведенные исследования на митохондриях и гомогенатах мышцы сердца в норме и условиях патологии сердца у животных (табл. 1 и 2, рис. 1-3) подтверждают роль ТА в переключении окисления между субстратами
Рис. 3. Сопрягающее действие α-кетоглутарата на поддерживаемое окислением сукцината дыхание митохондрий желудочков в условиях фибрилляции и остановки сердца у собак.
Митохондрии из сердца собак. Перфузия сердца: без осложнений (в венозной крови: рН=7,3, ВЕ=2, PO2=45 и НвО2=63 mmHg) (а); в условиях гипоксии/гемацидоза (рН=7,27-7,0, ВЕ= -5-11, PО2=45-55, НвО2=63-34 mmHg) и фибрилляции желудочков (б) или остановки сердца (в). Везде (а, б, в) дыхание на добавленном сукцинате 4 мМ (1), сукцинате и α-КГЛ 6 мМ (2), сукцинате, α-КГЛ и ГЛУ 10 мМ (3). Субстраты добавлены до внесения в среду (по 1,35 - 1,5 мг) белка митохондрий. Скорость дыхания на добавленном сукцинате в контроле (равная 3,0 нг-ат.О2/сек на мг белка) принята за 100%. Полярограммы – в виде диаграмм. Среда инкубаии: см. рис 1.
Рис.4. Эффект введенного α-кетоглутарата на метаболизм и функцию миокарда в организме при экспериментальном миокардите у кроликов
Митохондрии из сердца (А), печени (Б) кроликов: интактных (1), с миокардитом – без лечения (2) и терапией α-КГЛ (3). СД/КДД мм Hg и выживаемость % (В). Везде флуоресценция NАDН на добавленном сукцинате 4 мМ с последовательным внесением CaCl2 по 100 нмоль.
Среда инкубаии: см. рис 1.
ЦТК, сукцинатом и α-КГЛ и, опосредовано, Са2+ -динамики, представленной ранее [3, 4]. Важно отметить, что окисление сукцината и СЗ накопление Са2+ под действием α-КГЛ и ГЛУ, субстратов, участвующих в ТА, изменяется реципрокно. При этом α-КГЛ дозозависимо притормаживает окисление сукцината, ГЛУ отменяет это торможение, что связываем с влиянием ОАА, его попеременным отводом-накоплением в реакции ТА. Это подтверждается данными по сходству в тормозящем окисление сукцината действии α-КГЛ с таковым ОАА, малата, ФЭП, эндогенных источников ОАА и вероятностью обращения, реактивации тормо-жения ГЛУ, чувствительной к влиянию ингибитора активности транса-миназ – АОА (рис.1,Б, рис. 2, табл. 2 [4]).
Рассматриваемые в работе данные подтверждают, что сукцинат окисляется с большей интенсивностью, чем только α-КГЛ или ГЛУ – сходные по моноокислению, но реципрокные по влиянию на окисление сукцината (табл. 1 [3, 4]). Показано, α-КГЛ дозозависимо притормаживает поддерживаемые окислением сукцината скорости дыхания без активатора и в присутствии ADP, DNP от 13 до 46% (табл.1), уровень NADН от 10 до 38% (рис.1), уменьшает Са2+-ёмкость от 17 до 38-43%, а также сокращает время удержания Са2+ (рис.2) до характерного для моноокисления α-КГЛ уровня и усиливает энергетический контроль дыхания. Это выражается относительно к сукцинату – увеличением P/O от 2,2 до 4,0 и ДК от 2,9 до 3,6 (табл.1); избыточным (после синтеза ATP) восстановлением NAD (рис.1); четким оперативным переходом от активного защелачивания среды к стационарному уровню pH с превышением (21 ± 6,0) значения отношения их скоростей над P/O (4,0 ± 0,1); огра-ничением накопления - удержания Са2+ (рис. 2, табл. 2). По-видимому, все эти особенности действия α-КГЛ, могут указывать на повышение его вклада в окисление сукцината.
Проведенные исследования показывают (рис. 3), что в условиях гемацидоза и гипоксии миокарда переход к доминирующему окислению α-КГЛ выражается обратимым (под влиянием ГЛУ) торможением гиперактивного дыхания на сукцинате, спровоцированного фибрилляцией, или слабой активацией (при спаде дыхания). Проявляется гомеостазирующее свойство метаболита. Гибкая смена субстратами ТА активации – торможения окисления сукцината подтверждает адаптивное значение этого феномена.
Известно, что общий пул и ток интермедиатов ЦТК адаптивно при сокращении мышц увеличиваются, а в покое – уменьшаются, но концентрации, неравномерные для отдельных интермедиатов ЦТК, для α-КГЛ и сукцината – реципрокные: истощению одного соответствует нарастание второго [14, 22]. Есть мнение, что сукцинат – «природное топливо» для активной работы, α-КГЛ – для отдыха [1].
В процессе активной работы анионы ЦТК выходят в цитозоль, включаются в разные циклы и вновь, альтернативными путями, по ветвям анаплеротической сети возвращаются на «круги своя», восполняют их убыль [16, 18, 19, 21, 24]. Как показано на примере напряженно работающего сердца, доставка малата из пирувата через маликэнзим [21] и отвод α-КГЛ (обходным маршрутом, через аспартаттрансаминазу [1, 8, 11]) прямо к α-КГЛДГ, компенсирует субстратный и энергетический дефицит, повышается показатель dP/dt [19, 21]. В то же время с ускорением притока α-КГЛ и активацией (под влиянием α-КГЛ и Са2+) α-КГЛДГ усиливается сигнал к утилизации α-КГЛ и накоплению сукцината.
Установлено, что α-КГЛ, в зависимости от концентрации притормаживает активность ферментов метаболизма ОАА, приводит к его удержанию в матриксе митохондрий и увеличению ингибирующего влияния на активность СДГ – к отмене окисления сукцината. Однако утилизация α-КГЛ делает вероятным расходование ОАА и переключение, доминирование в окислении сукцината.
Итак, в роли «переключателя» окисления между сукцинатом/α-КГЛ выступает субстрат ТА – ОАА, с присущим ему свойством взаимодействовать с активным центром реципрокных дегидрогеназ – СДГ [1] и α-КГЛДГ [13], вызывать их перемежающуюся (в унисон ТА – «водителю ритма») инактивацию с последующим накоплением, «автоматической заправкой» субстрата и усилением сигнала к окислению (самообновлению): “Eadem mutate resurgo” – измененная, я воскресаю той же.
Заметим, что α-КГЛ и сукцинат не антагонисты, напротив, как две составляющие одной метаболической системы они дополняют, потенцируют (по принципу «реципрокного альтруизма») действие друг друга. Ритмичность наполнения – окисления сукцината/α-КГЛ, по-видимому, может влиять на Са2+-сигнализацию и формирование Са2+-ответов в митохондриях, т.е. стать механизмом увеличения концентрации и кинетики перемещения Са2+ в систоле и уменьшения в диастоле [6, 7, 9] – основой гибкой и надежной работы сердца.
В работе показано (рис. 4), что корригирующее действие физиологических доз α-КГЛ сопряжено с новообразованием митохондрий кардиомиоцитов; с оптимизацией энергетического метаболизма в сердце и печени; стабилизацией сократительной функции миокарда: понижением КДД, повышением СД (нормализацией СД /КДД); уменьшением падежа животных.
Кардиогепатопротекторное свойство низких доз α-КГЛ , таковое и сукцината [2, 5], связываем с рецепторопосредуемым действием этих метаболитов, направленным на устранение недостаточности метаболической регуляции.
Таким образом, реципрокное управление, трансаминирования потоками метаболитов ЦТК ответственно за переключение окисления между α-КГЛ /сукцинатом (убыли - восполнения субстратов, инактивации-реактивации дегидрогеназ, отмены - возобновления окисления) и, опосредовано, за Са2+ -динамику в митохондриях сердца в норме и условиях его патологии. Это управление основано на циклическом превращении (убыли-регенерации) ОАА в реакции ТА, свойстве ОАА взаимодействовать, вызывать попеременную инактивацию реципрокных дегидрогеназ (СДГ и α-КГЛДГ) и накопление - окисление субстрата. Через это управление усовершенствуется регуляция и координация направления Са2+-токов в митохондриях по пути, задан-ному энергетическими и сигнальными запросами клеток, сохраняется энергетический и Са2+ -гомеостаз, что обеспечивает защиту миокарда от повреждений [4].
Допускаем, что трансаминирование является важным звеном в механизме поддержания циклической работы сердца. Это подтверждают регуляторные физиологические эффекты на введение в организм малых доз α-КГЛ (рис. 4) и/или сукцината [2, 5], внося вклад в изучение механизмов регуляции работы сердца на субклеточном уровне.
Поступила 18.03.11
Литература
- Кондрашова М.Н. Вопр. биол. мед. фарм. химии, 2002, 1, с.7-12.
- Микаелян А.Л., Саакян И.Р., Шердукалова Л.Ф., Карапетян Т.Д. Эксп. клин. Гастро-энтер., 2006, 5, с. 82-85.
- Саакян И.Р., Саакян Г.Г. Биомед. химия, 2006, 52(3), с.287-297.
- Саакян Г.Г., Саакян И.Р. Биомед. химия, 2008, 54(6), 696-705.
- Саакян И.Р., Шердукалова Л.Ф. Мед.наука Армении НАН РА, 2006, 4, с.63-65.
- Beutner G., Sharma V.K., Lin L., Ryu S-Y., Dirksen R.T., Sheu S.-S. Biochim. Biophys. Acta, 2005, 1717, p.1-10.
- Chen X., Zharig X., Kubo H., Harris D.M., Mills G.D., Moyer J., Berretta R., Potts S.T., Marsh J.D., Houser S.R. Circ. Res., 2005, 11, p.100-1017.
- Contrera, L. and Satrustegu, J. J. Biol. Chem, 2009, 284, p.7091-7099.
- Denton R.M., McCormack J.G. Annu. Rev. Physiol., 1990, p.52, 451-456.
- Duszynski J, Koziel R., Brutkowski W., Szczepanowska J., Zablocki K. Biochim. Biophys. Acta, 2006, 1757, p.380-387.
- Fahien L.A., Komiotek E.N., MacDonald M.J., Fibich B., Mandic M. J. Biol. Chem., 1988, 263(22), p.10687-10697.
- Fischmeister R., Castro L.R.V., Abi-Gerges A. et al. Circ. Res., 2006, 13, p.816-828.
- Frank, R.A.W., Price, A.J., Northrop, F.D., Perham, R.N., Luisi, B.F. J. Mol. Biol., 2007, 368, p.639-651.
- Gibala M.J., Gonzalez-Alonso J., Saltin B. J. Physiol., 2002, 545(2), p.705-713.
- Gutierrez J., Ballinger S.W., Darley-Usmar V.M., Landar A. Circ. Res., 2006, 99, p.924-932.
- Hakimi. P., Yang J., Casadesus G., Massillon D., Tolentino-Silva F., Nye C.K., Cabrera M.E., et al. J. Biol. Chem., 2007, 282(45), p.32844-328455.
- Lee C-H., Kuo K-H., Dai J. and van Breemen C. Can. J. Physiol. Pharmacol., 2005, 83, p.733-741.
- Ozaki T., Vamash T., and Ishiguro S. (2011) Archiv Biochem. Biophys. 507(2), p.254-261.
- Russell R.R. and Taegtmeyer, H. Am. J. Physiol., 1991, 261(30), p.H1756-H1762.
- Saakyan I.R., Kondrashova M.N. Mitochondrion, 2002, 1(6), p.525.
- Sack M.N. Circ. Res., 2009, 104(6), p.717-719.
- Sharma N., Okere, I.C. Brunengraber D.Z., McElfresh T.A., King K.L., Sterk J.P., Hung H., Chandler M.P., Stanley W.C. J. Physiol., 2005, 562(2), p.593-603.
- Shimamoto Y., Suzuki M., Ishiwata S. Biochem. Biophys. Res. Commun., 2008, 366, p.233-238.
- Wu F., Yang F., Vinnakota K.C. and Beard D.A. J. Biol. Chem., 2007, 82(34), p.24525-24537.
20.10.2011 Читайте также
Ключевые слова: соединительнотканая дисплазия, фенотипические признаки, полиорганные морфофункциональные нарушения
Дисплазия соединительной ткани (ДСТ) – это нарушение развития соединительной ткани в эмбриональном и постнатальном периодах вследствие генетически измененного фибриллогенеза внеклеточного матрикса...
31.10.2011 Kлючевые слова: чувствительность, резистентность, стафилококки, полирезистентность
Со второй половины XIX века, когда клинически были описаны заболевания и посредством лабораторных исследований выявлены их возбудители (стафилококки)...
28.10.2011 Ключевые слова: лактулоза, вагинальные лактобациллы, пробиотик, пребиотик, синбиотик
Пребиотики – обычно пищевые волокна – неперевариваемые ингредиенты пищи, которые способствуют улучшению здоровья за счет избирательной стимуляции роста и/или метаболической активности одной...
27.10.2011 Ключевые слова: LPS (липополисахариды), IL-4, IL-10, незрелые дендритные клетки (iDCs), зрелые дендритные клетки (mDCs)
Иммунная система, существующая у позвоночных животных, объединяет органы и ткани, идентифицирует и уничтожает разнообразных возбудителей, от вирусов до паразитических червей...
26.10.2011 Keywords: hemorphin, streptozotocin-induced diabetes, β-endorphin, µ-opioid receptors (MOR), Ca2+-binding proteins
LVVYPW (LVV-H3, LVV-hemorphin-3, mielopeptide-2) is a member of hemorphins family, the nonclassical endogenous opioid peptides, derived from hemoglobin (Hb) [for review see Ref 34]...
25.10.2011 Hemorphin-7 regulates interleukin-2 promoter activity by Ca2+(calmodulin/calcineurin/NFAT signaling pathway
Kaywords: hemorphin-7 (H-7), calcineurin, NF-AT, IL-2 promoter...
24.10.2011 Ключевые слова: синаптическая активность, овариоэктомия, нейродегенерация, синэстрол, гидропонический дубровник беловойлочный, нейропротекция
Центральная нервная система является одной из наиболее важных нерепродуктивных мишеней для женских половых гормонов. Специфические рецепторы к этим гормонам локализованы...
21.10.2011 Ключевые слова: нестабильная стенокардия, маркеры воспаления, статины
По литературным данным последних лет, в основе возникновения атеросклероза лежат два взаимосвязанных процесса: нарушение метаболизма и транспорта липидов (ЛП) и воспалительные явления в сосудистой стенке...
19.10.2011 Ключевые слова: аминокислоты, лекарственные растения, комплекс-ный терапевтический эффект
Методы современной фармакологии позволяют определить конкретное действие (зачастую достаточно сильное), которое свойственно многим вторичным метаболитам (алкалоидам...
18.10.2011 Ключевые слова: гингивит, пародонтит, диодный лазер, метрогил, эпидемиологические индексы
Воспалительные заболевания пародонта поддерживаются и усугубляются неблагоприятными местными факторами, важнейшими из которых являются плохая гигиена полости рта...
17.10.2011 Ключевые слова: синдром Бехчета, атипичные проявления, характеристика
Болезнь Бехчета – мультисистемное, воспалительное заболевание. В 1937 г. турецкий дерматолог H. Behcet сообщил о заболевании, и с тех пор оно известно как болезнь Бехчета...
14.10.2011
САМЫЕ ЧИТАЕМЫЕ СТАТЬИ
-
Нормы роста и веса детей – данные ВОЗ
-
Зеленые выделения из влагалища: причины и лечение
- Анатомо-физиологические особенности дыхательной системы у детей
-
Насморк с кровью: причины симптома и способы лечения
- Анатомо-физиологические особенности сердечно-сосудистой системы у детей
- Анатомо-физиологические особенности пищеварительной системы у детей
- Анатомо-физиологические особенности мочевыделительной системы у детей
- Сравнительная характеристика параметров функции внешнего дыхания (обзор литературы)
- Современные представления о норме и патологических отклонениях размеров восходящей аорты при приобретенных пороках сердца
- Анатомо-физиологические особенности детей
- Анатомо-физиологические особенности костно-мышечной системы у детей
- Паллиативная химиотерапия рака: основные понятия и особенности (oбзор литературы)
-
Что можно и что нельзя делать после удаления аппендицита
-
Увеличенные яичники: симптомы, причины и лечение
-
Новейшие достижения онкологии в МЦ «Наири»: интервью с Артемом Степаняном. nairimed.com
-
О чем говорит головная боль за ухом? Причины, симптомы и лечение
-
Как снизить риск инсульта. erebunimed.com
-
Характер мужчины проявляется в выборе позы для секса
-
Армянская ассоциация медицинского туризма (ААМТ)
-
Желтые выделения из влагалища: причины и лечение
-
Рвота у ребенка без температуры: возможные причины
- Применение летрозола для стимуляции овуляции
- Врожденные аномалии и пороки развития
-
КАТИОНОРМ – представитель нового поколения искусственных слез для симптоматической терапии синдрома “сухого глаза”
-
Арам Бадалян: Родинку трогать нельзя?
- Применение противоспаечных средств в профилактике спаечной болезни живота (oбзор литературы)
-
Как избавиться от лямблий — 25 эффективных рецептов народной медицины
-
Вздутие живота при месячных: 7 способов справиться с неприятным ощущением
-
Компресс при ангине: будет ли полезным прогревание горла?
-
Онкология является самой быстроразвивающейся отраслью медицины: интервью с Левоном Бадаляном
-
Лечение марганцовкой
- Некоторые новые подходы к системной терапии метипредом больных ревматоидным артритом
- Медицинские информационные системы.Информационная система для интегрального фармацевтического и здравоохранного мониторинга
-
Фармацевтическая опека
- Подходы к оперативному лечению костно-хрящевых экзостозов
- Повреждения при родах
- Инциденталома надпочечников
-
Курение марихуаны влияет на потенцию
-
Почему противозачаточные увеличивают грудь?
- Применение индинола и эпигаллата при аденомиозе













Научная медицина
Болезни
Традиционная медицина
Здоровый образ жизни
Косметология
Медицинское право
Алгоритмы, тесты
Цифры, факты, случаи
Историческая хроника
Афоризмы
Карьерная лестница
Дети
Женщина
Мужчина
Рейтинговая система



