Медицинская наука Армении 3.2011
Hemorphin-7
Hemorphin-7 regulates interleukin-2 promoter activity by Ca2+(calmodulin/calcineurin/NFAT signaling pathway
Kaywords: hemorphin-7 (H-7), calcineurin, NF-AT, IL-2 promoter.
Hemorphin-7 (YPWTQRF, H-7) is a member of the hemorphins family, an endogenous nonclassical opioid peptides derived from hemoglobin (Hb) [for review see Ref.17]. All hemorphins, whatever their source, originated from the same region of the β-chain of Hb (residue 31-40 of bovine and residue 32-41 of human Hb), named LVV-hemorphin-7 [12]. By using in vivo microdialysis in combination with electrospray mass spectrometry processing of H-7 from LVV-hemorphin-7 in rat brain and blood was shown [21]. It should be mentioned that catepsin B participates in the generation of hemorphins-7, LVV-hemorphin-5 and hemorphins-5 from LVV-hemorphin-7 in vitro, acting both as dipeptidyl carboxypeptidase and endopeptidase [2]. H7 has been reported to be the most potent among the hemorphins in μ-opioid receptors (MOR) binding [26]. The MOR were reported to exert anti-inflammatory properties, and MOR agonists were claimed to be new therapeutic molecules for treating autoimmune and inflammatory diseases [19]. H-7 was reported to inhibit the acute inflammatory response to substance P (SP) by binding to MOR [20]. It was shown the small, but significant passage of hemorphin-7 across the blood-brain barrier [17]. Hemorphin-7 has a capacity to release β-endorphin from pituitary tissue into circulatory system [17] and, likewise β-endorphin, regulates the hypothalamo-pituitary-adrenocortical (HPA) axis activity [8]. Ca2+/calmodulin (CaM) – dependent protein phosphatase calcineurin is known as a key enzyme in the signal transduction cascade leading to T cell activation. This enzyme controls gene expression of several cytokines, including IL-2, tumor necrosis factor a (TNFa) and other cytokines and regulatory proteins via dephosphorylation (activation) and nuclear translocation of NFAT (nuclear factor of activated T cell), family members [22]. NFAT transcription factors cooperate with AP-1(activator protein-1) proteins (Jun/Fos) in DNA binding and transactivation, and this association results in stabilization of the NFAT-DNA interaction [15]. It should be emphasized that besides AP-1, other transcription factor NFkB also plays a critical role in the induction of IL-2, TNFa and others cytokines genes [10]. Thus, AP-1 and NFkB are partners of both NFAT and calcineurin by participation in the regulation of several cytokines and otherproteins gene transcriptions. Importantly, the involvement of calcineurin and NFkB in immunological synapse formation has also been reported [25]. Earlier it has been shown that 5 hemorphins (VVYPW, VVYPWT, LVVYPWT, VVYPWTQR, LVVYPWTQRF) isolated from bovine hypothalamus are able to modulate the brain calcineurin activity by binding to CaM, demonstrating concentration-dependent biphasic response to enzyme activity [9]. Later, using synthetic LVV-hemorphin-4 the same biphasic response was observed on lymphocytes calcineurin activity at the same concentration range as in case of its action on brain calcineurin activity [4]. Because recently it has been found out that H-7 affects DNA-binding activity of transcription factors NFAT AP-1 and NFkB [5], it is suggested that H-7 may modulate lymphocytes calcineurin activity. Therefore one of the goals of the present work is to determine if H-7 is also able to modulate lymphocytes calcineurin activity. Hemorphins were shown to affect IL-2 synthesis in both physiological and pathophysiological conditions and IL-2 receptor expression in human T lymphocytes suppressed by tumor product [4, 16]. Therefore, the next goal of the present work is to examine if H-7 may regulate IL-2 promoter activity in stimulated human Jurkat T leukaemia cells. In the experiments synthetic H-7 was used.
Materials and Methods
Calcineurin activity assay. Lymphocytes were isolated from fresh venous blood of healthy volunteers (35-40 yrs. old) by Ficol-verografin gradient centrifugation (1.077 g/ml, 400g). Cells were cultured in RPMI 1640 medium (Sigma) and supplemented with 5% heat-inactivated fetal calf serum (FCS), 2 mM L-glutamine, and 1 mM sodium pyruvate. Calcineurin activity was measured by spectrofluorimetric assay using 4-methylumbelliferyl phosphate (4-MUP) as a substrate [1]. A typical enzyme assay was performed in 1 ml of incubation mixture, containing 50 mM Tris-HCl, pH 7.6, 0.5 mM DTT, 1 mg/ml bovine serum albumin (BSA), 1 mM MgCl2, 0.3 mM CaCl2, 1 µM MUP, 30 x 106 lymphocytes (as enzyme preparation) and H-7 (at concentration ranging from 10-9 to 10-4M). After incubation at 32oC for 1 h with stirring, the reaction was stopped by addition of 0.25 ml of 30%- trichloracetic acid. After centrifugation at 5000x g, the pH of supernatant was adjusted to 8.0 by addition of 0.5 ml of 1 M Tris. The quantity of 4-methylumbelliferon (4-MU) was determined fluorimetrically using a Perkin-Elmer MPF-44A spectrofluorimeter. The fluorescence was measured at 445 nm (exitation at 365 nm). As control the substrate and enzyme were incubated separately. One unit of enzyme activity is defined as an amount of enzyme that caused formation of 0.1 nM of 4-MU at 32o C for 1 hr. When the mutual effect of H-7and trifluoperazine (TFP) (10-4 M) on calcineurin activity was studied, they were preincubated with lymphocytes for 10 min at room temperature, then substrate was added. The same approach was used to study the effect of EDTA (10-3 M) on lymphocytes calcineurin activity.
Cells and Transient DNA Transfections. Human Jurkat T leukaemia cells were cultured in RPMI medium supplemented with 5% fetal calf serum. They were transfected by IL-2 promoter (300 bp)-luciferase-reporter gene construct. Jurkat T cells were placed into 6-well dish (1,5 ml of 5x105 suspension per well) and 5 µg of plasmid DNA was transfected into 5x105 Jurkat T cells in the presence of “SuperFect” transcription reagent (Qiagen) according to the manufacturer’s protocol. Then transfection plate was incubated for 5hrs, at 37ºC/5%CO2. 1hr before inducing the cells with TPA (12-O-tetradecanoylphorbol-13 acetate;10 ng/ml final concentration) and ionomycin (0, 5 µM final concentration) cells were treated with H-7 (in concentrations range from 10-6 to 10-12M). Cells were incubated for 20 hrs at 37ºC/5%CO2 and then harvested for luciferase activity.
Luciferase Assay. Luciferase catalyzes the release of light upon addition of luciferin and ATP. The relative luciferase activity was assayed and quantified by measurement of light production. The photon production by catalytic oxidation of luciferin occurs from an enzyme intermediate, luciferyl-AMP.
Luciferin + ATP → Luciferyl-AMP + PP
Luciferyl-AMP + O2 → oxyluciferyl + light
Relative luciferase activity was measured by luminonometer (Berthold, Germany), ising the dual luciferase reporter system from Promega.
Statistical analysis
The results were expressed as the means ± SEM. Data were analysed statistically by one-way ANOVA using GraphPad Prism 4 software. Statistical significance indicates p ‹ 0.05.
Results and Discussion
To investigate the influence of synthetic H-7 on human blood lymphocytes calcineurin activity, peptide was used at concentrations of 10-9 to 10-4 M. Before using blood lymphocytes were lysated by 0.05 % Triton X-100. It should be noted that the incubation mixture did not contain exogenous CaM, because it is considered that lymphocytes contained sufficient for detection of
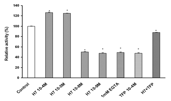
Fig.1 Effect of hemorphin-7 (H-7) on human blood lymphocytes total phosphatases activity. The phosphatase activity determined in incubation mixture, containing
50 mM Tris-HCI, pH 7.6, 0.5 mM DTT, 1 mg/ml BSA, 1 mM MgCI2, 0.3 mM CaCI2, 1μM 4-MUP, 30 x 106 lymphocytes at 32oC for 1 h was taken as 100%. H-7, TFP (10-4M) or EGTA (1mM) were preincubated with lymphocytes for 10 min at room temperature, then substrate was added. Data are presented as means ± SEM. *p ‹ 0.001.
calcineurin activity amounts of endogenous CaM. Indeed as one can see in the presence of 1 mM EGTA the total phosphatase activity of blood lymphocytes decreases by 50,7% (Fig.1.). It has been shown that H-7 at concentrations 10-5 to 10-4 M increases the blood lymphocytes total phosphatase activity (25-26, 5%). The same peptide at concentrations of 10-9 – 10-8 M induces statistically significant inhibition of blood lymphocytes total phosphatase activity (52,3-45,5%) (Fig.1). Earlier it was demonstrated that hemorphins were bound with both N- and C-terminal domain of CaM demonstrating higher affinity to N-terminal domain [6]. It seems very likely that different Kd values for binding of hemorphins to N- and C-terminal domain of CaM may explain this concentration-dependent biphasic effect of hemorphins on calcineurin activity [6]. The mutual effect of TFP (CaM antagonist and calcineurin inhibitor) and H-7 on blood total phosphatase activity has been studied. The results obtained have revealed that when the incubation mixture contains both hemorphin (in nM concentration) and TFP (10-4 M), a reduction of the inhibitory effect, caused by each of these compounds separately, takes place [4]. These results may be explained by our earlier finding pointing that hemorphins change the sensitivity of CaM to TFP and other its antagonists [3]. It is likely that the binding sites for hemorphins and TFP on the surface of CaM are different, but they influence each other within the ternary complex (CaM-hemorphin-TFP).
Fig.2. Hemorphin-7 negatively regulates IL-2 promoter activity in nM concentrations in human Jurkat T cells transfected with IL-2 promoter-luciferase reporter gene construct. Data are presented as mean ± SEM, *p ‹ 0.05
All above mentioned indicates that modulation of total phosphatase activity of blood lymphocytes under the influence of H-7 is due to the activation/inhibition of lymphocytes calcineurin activity.
It has been demonstrated that H-7 in nM concentrations negatively regulates (by 44.5%) IL-2 promoter transcriptional activity (Fig.2). As it was mentioned above H-7 inhibits DNA binding activity of NFAT and AP-1 (by 38, 7 and 49,8% respectively) in nM concentrations [5]. It should be noted that activation of NFAT by calcineurin is sensitive to calcineurin inhibitors and immunosuppressive agents, such as cyclosporin A and FK506 [11]. Moreover, it is proposed that H-7 regulates IL-2 promoter activities by Ca2+/CaM/ calcineurin/ NFAT signalling pathways. The ability of hemorphins to regulate transcriptional activity may explain their anti-cancer, anti-inflammatory and immunoregulatory properties [4, 7, 16, 20, 24].
It is known that NFAT proteins are activated under different stimuli that lead to increased intracellular calcium concentrations [22]. Besides participation in cytokines gene expression properties, NFAT family members have been shown to regulate other genes related to cell cycle progression, cell differentiation and apoptosis, revealing a broader role for these proteins in normal cell physiology. However, it has been reported that NFAT family members participate in malignant cell transformation and tumorigenic processes as well [13-14, 23]. Importantly, calcineurin is also involved in pathophysiology of cancer [18]. It is proposed that hemorphins, demonstrate a wide spectrum of biological activity, likewise other neuropeptides. They serve as factors that switch on compensatory system in the organism. This is based on several mechanisms and implication of different signaling pathways in order to recover the homeostatic disturbance in the organism. Better understanding the mechanisms by which NFAT proteins can be regulated by members of endogenous protective system will be useful for development of a new generation of drugs without side effects for treatment of severe diseases, including cancer.
Поступила 31.08.11 г.
References
- Anthony F.A., Merat D.L., and Cheung W.Y. A spectrofluorimetric assay of calmodulin-dependent protein phosphatase using 4-methylumbelliferyl phosphate, Anal. Biochem., 1986, 155, p. 103-107.
- Barkhudaryan N. Hemorphins: Processing and possible mechanism of action in the brain and immune system. Proc. Int. Conf. Biochemical and Molecular-Biological Aspects of the Brain Immune System (A. Galoyan Ed.). Encyclopedia Publishing House, Yerevan, 2001, p.132-139.
- Barkhudaryan N., Barsegyan K., Avetisian N., Zakaryan T., Galoyan A. The changes of the sensitivity of calmodulin against its antagonists under the influence of hypothalamic coronaro-constrictory peptide factors. Neurokhimiya (RAS & NAS RA), 199211, p.228-234.
- Barkhudaryan N., Gambarov S., Gyulbayazyan T., Nahapetyan, K. LVV-hemorphin-4 modulates Ca2+/calmodulin-dependent pathways in the immune system by the same mechanism as in the brain. J. Mol. Neurosci., 2002, 18:203-210.
- Barkhudaryan N. H., Hunanyan O.V., Gabrielyan A.V., Serfling E. Hemorphin-7 regulates DNA-binding activity of NF-AT, AP-1 and NF-κB transcription factors in stimulated Jurkat T cells, Blood (Ministry Health RA), 2010, 10, p. 70-74.
- Barkhudaryan N., Orosz F., Liliom K., Barsegyan K., Ovadi J., Galoyan A. New data on binding of hypothalamic coronaro-constrictory peptide factors with calmodulin. Neurokhimiya (RAS & NAS RA), 1991, 10, p.155-166.
- Barkhudaryan N.H., Sarukhanyan F.P., Garybyan D.V., Stepanyan H.M., Grigoryan I.E., Dalyan Y.B. LVVYPW demonstrates the ability to affect DNA structure. Proc. Int. Conf.” Biotechnology and health” & DAAD Alumni seminar, Yerevan, 2009, p. 21-29.
- Barkhudaryan N., Zakaryan H., Sarukhanyan F., Gabrielyan A., Dosch D., Kellermann J., Lottspeich F. Hemorphins act as homeostatic agents in response to endotoxin-induced stress, Neurochem. Res., 2010, 33, p. 925-933.
- Barsegyan K., Barkhudaryan N., Galoyan A. The investigation of the effect of native and synthetic coronaro-constrictory peptide factors on Ca2+, calmodulin-dependent phosphoprotein phosphatase activity. Neurokhimiya (RAS & NAS RA), 1992, 11, p.141-149.
- Bondeson J., Sundler R. Auranofin inhibits the induction of interleukin 1 and tumor necrosis factor mRNA in macrophages. Biochem. Pharmacol., 1995, 50:1753-1759.
- Crabtree G.R., Olson E.N. NFAT signaling choreographing the social lives of cell. Cell, 2002, 109, p.S-67- S-79.
- Glamsta E.-L., Meyerson B., Silberring J., Terenius L., Nyberg F. Isolation of a hemoglobin-derived opioid peptide from cerebrospinal fluid of patients with cerebrovascular bleedings. Biochem. Biophys. Res. Comm., 1992, 184, p.1060-1066.
- Jauliac S., Lopez-Rodriguez C., Shaw L.M., Lawrence F., Brown F., Rao A., Toker A. The role of NFAT transcription factors in integrin-mediated carcinoma invasion. Nat.Cell. Biol., 2002, 4, p. 540-544.
- Kim J.M., Voll R.E., Ko C., Kim D.-S., Park K.-S., Kim S.-Y. A new regulatory mechanism of NF-kB activation by I-kB β in cancer cells. J. Mol. Biol., 2008, 384, p.756-765.
- Macian F., Lopez-Rodrigues C., Rao A. Partners in transcription: NFAT and AP-1. Oncogene, 2001, 20, p. 2476-2489.
- Mikhailova A., Belevskaya R.G., Kalyzhnaya M., Fonina L.A., Liashenko V.A., Petrov R.V. Mielopeptide-2 recovers Intwerleukin-2 synthesis and intwerleukin-2 receptor expression in human T lymphocytes by tumor products or measels virus. J. Immunother., 2006, 29, p.306-312.
- Nyberg F., Sanderson K., Glamsta E.-L. The hemorphins: a new class of opioid peptides derived from the blood protein hemoglobin. Biopolymers, 1997, 43, p. 147-156.
- Padma S., Sowjanya A.P., Poli U.R., Jain M., Rao B.N., Ramakrishna G. Downregulation of calcineurin activity in cervical carcinoma. Cancer Cell Int., 2005, 5, p. 7-12.
- Philippe D., Dubuquoy L., Groux H., Brun V., Van Chuoi-Mariot M.T., Gaveriaux-Ruff C., Colombel J.-F., Kieffer B., Desreumaux P. Anti-inflammatory properties of the opioid receptor support its use in the treatment of colon inflammation. J. Clin. Invest., 2003, 111, p. 1329-1338.
- Sanderson K., Nyberg F., Khalil Z. Modulation of pheripheral inflammation by locally administered hemorphin-7. Inflamm. Res., 1998, 47, p. 49-55.
- Sanderson Nydahl, K., Pierson, J., Nyberg, F., Caprioli, R.M., Andren P.E. In vivo processing of LVV-hemorphin-7 in rat brain and blood utilizing microdialysis combined with electrospray mass spectrometry. Rapid Commun. Mass Spectrom., 2003, 17, p. 838-844.
- Serfling E., Berberich-Siebelt F., Chuvpilo S., Jankevics E., Klein-Hessling S., Twardzik T., Avots, A., The role of NF-AT transcription factors in T-cell activation and differentiation. Biochim.Biophys. Acta, 2000, 1498, p. 1-18.
- Shen Q., Uray I.P., Li Y., Strecker T.E., Kim H.-T., Brown P.H. The AP-1 transcription factor regulates breast cancer cell growth via cyclins and E2F factor. Oncogene, 2008, 27, p. 366-377.
- Yamamoto Y, Kanazawa T, Shimamura M et al. Inhibitoty effects of spinorphin, a novel endogenous regulator, on chemotaxis, O2¯ generation, and exocytosis by N-formylmethionyl-leucyl-phenylalanine (FMLP)-stimulated neutrophils. Biochem. Pharmacol., 1997, 54, p.695-701.
- Zeyda M., Geyeregger R., Poglitsch M., Weichhart T., Zlabinger G.J., Koyasu S., Hörl W.H., Stulnig T.M., Watschinger B., Saemann M.D. Impairment of T cell interactions with antigen-presenting cells by immunosuppressive drugs reveals involvement of calcineurin and NF-B in immunological synapse formation. J. Leukoc. Biol., 2007, 81, p.319-327.
- Zhao Q., Garreau I., Sannier F., Piot J.M. Opioid peptides derived from hemoglobin: Hemorphins. Biopol. Peptide Sci., 1997, 43, p.75-98.
24.10.2011 Читайте также
Ключевые слова: соединительнотканая дисплазия, фенотипические признаки, полиорганные морфофункциональные нарушения
Дисплазия соединительной ткани (ДСТ) – это нарушение развития соединительной ткани в эмбриональном и постнатальном периодах вследствие генетически измененного фибриллогенеза внеклеточного матрикса...
31.10.2011 Kлючевые слова: чувствительность, резистентность, стафилококки, полирезистентность
Со второй половины XIX века, когда клинически были описаны заболевания и посредством лабораторных исследований выявлены их возбудители (стафилококки)...
28.10.2011 Ключевые слова: лактулоза, вагинальные лактобациллы, пробиотик, пребиотик, синбиотик
Пребиотики – обычно пищевые волокна – неперевариваемые ингредиенты пищи, которые способствуют улучшению здоровья за счет избирательной стимуляции роста и/или метаболической активности одной...
27.10.2011 Ключевые слова: LPS (липополисахариды), IL-4, IL-10, незрелые дендритные клетки (iDCs), зрелые дендритные клетки (mDCs)
Иммунная система, существующая у позвоночных животных, объединяет органы и ткани, идентифицирует и уничтожает разнообразных возбудителей, от вирусов до паразитических червей...
26.10.2011 Keywords: hemorphin, streptozotocin-induced diabetes, β-endorphin, µ-opioid receptors (MOR), Ca2+-binding proteins
LVVYPW (LVV-H3, LVV-hemorphin-3, mielopeptide-2) is a member of hemorphins family, the nonclassical endogenous opioid peptides, derived from hemoglobin (Hb) [for review see Ref 34]...
25.10.2011 Ключевые слова: синаптическая активность, овариоэктомия, нейродегенерация, синэстрол, гидропонический дубровник беловойлочный, нейропротекция
Центральная нервная система является одной из наиболее важных нерепродуктивных мишеней для женских половых гормонов. Специфические рецепторы к этим гормонам локализованы...
21.10.2011 Ключевые слова: митохондрии сердца, Са2+-регуляция, сукцинат, α-кетоглутарат, трансаминирование
Са2+-сигнал посылается митохондриям от экстраклеточных Са2+-сигналов. Важно отметить, что сигнал поступает не непрерывно, а циклически...
20.10.2011 Ключевые слова: нестабильная стенокардия, маркеры воспаления, статины
По литературным данным последних лет, в основе возникновения атеросклероза лежат два взаимосвязанных процесса: нарушение метаболизма и транспорта липидов (ЛП) и воспалительные явления в сосудистой стенке...
19.10.2011 Ключевые слова: аминокислоты, лекарственные растения, комплекс-ный терапевтический эффект
Методы современной фармакологии позволяют определить конкретное действие (зачастую достаточно сильное), которое свойственно многим вторичным метаболитам (алкалоидам...
18.10.2011 Ключевые слова: гингивит, пародонтит, диодный лазер, метрогил, эпидемиологические индексы
Воспалительные заболевания пародонта поддерживаются и усугубляются неблагоприятными местными факторами, важнейшими из которых являются плохая гигиена полости рта...
17.10.2011 Ключевые слова: синдром Бехчета, атипичные проявления, характеристика
Болезнь Бехчета – мультисистемное, воспалительное заболевание. В 1937 г. турецкий дерматолог H. Behcet сообщил о заболевании, и с тех пор оно известно как болезнь Бехчета...
14.10.2011
САМЫЕ ЧИТАЕМЫЕ СТАТЬИ
-
Нормы роста и веса детей – данные ВОЗ
-
Зеленые выделения из влагалища: причины и лечение
- Анатомо-физиологические особенности дыхательной системы у детей
-
Насморк с кровью: причины симптома и способы лечения
- Анатомо-физиологические особенности сердечно-сосудистой системы у детей
- Анатомо-физиологические особенности пищеварительной системы у детей
- Анатомо-физиологические особенности мочевыделительной системы у детей
- Сравнительная характеристика параметров функции внешнего дыхания (обзор литературы)
- Современные представления о норме и патологических отклонениях размеров восходящей аорты при приобретенных пороках сердца
- Анатомо-физиологические особенности детей
- Анатомо-физиологические особенности костно-мышечной системы у детей
- Паллиативная химиотерапия рака: основные понятия и особенности (oбзор литературы)
-
Что можно и что нельзя делать после удаления аппендицита
-
Увеличенные яичники: симптомы, причины и лечение
-
Новейшие достижения онкологии в МЦ «Наири»: интервью с Артемом Степаняном. nairimed.com
-
О чем говорит головная боль за ухом? Причины, симптомы и лечение
-
Как снизить риск инсульта. erebunimed.com
-
Характер мужчины проявляется в выборе позы для секса
-
Армянская ассоциация медицинского туризма (ААМТ)
-
Желтые выделения из влагалища: причины и лечение
-
Рвота у ребенка без температуры: возможные причины
- Применение летрозола для стимуляции овуляции
- Врожденные аномалии и пороки развития
-
КАТИОНОРМ – представитель нового поколения искусственных слез для симптоматической терапии синдрома “сухого глаза”
-
Арам Бадалян: Родинку трогать нельзя?
- Применение противоспаечных средств в профилактике спаечной болезни живота (oбзор литературы)
-
Как избавиться от лямблий — 25 эффективных рецептов народной медицины
-
Вздутие живота при месячных: 7 способов справиться с неприятным ощущением
-
Компресс при ангине: будет ли полезным прогревание горла?
-
Онкология является самой быстроразвивающейся отраслью медицины: интервью с Левоном Бадаляном
-
Лечение марганцовкой
- Некоторые новые подходы к системной терапии метипредом больных ревматоидным артритом
- Медицинские информационные системы.Информационная система для интегрального фармацевтического и здравоохранного мониторинга
-
Фармацевтическая опека
- Подходы к оперативному лечению костно-хрящевых экзостозов
- Повреждения при родах
- Инциденталома надпочечников
-
Курение марихуаны влияет на потенцию
-
Почему противозачаточные увеличивают грудь?
- Применение индинола и эпигаллата при аденомиозе













Научная медицина
Болезни
Традиционная медицина
Здоровый образ жизни
Косметология
Медицинское право
Алгоритмы, тесты
Цифры, факты, случаи
Историческая хроника
Афоризмы
Карьерная лестница
Дети
Женщина
Мужчина
Рейтинговая система

