Медицинская наука Армении 2.2011
Bлияние вибрации на фоновую импульсную активность нейронов ядра солитарного тракта
Ключевые слова: фоновая импульсная активность, вибрация, ядро солитарного тракта
Современный уровень развития науки и техники предъявляет растущие требования к оценке возможностей функционирования вестибулярной системы в сложных условиях. Непрерывно увеличивается потребность в получении детальной информации о базовых механизмах вестибулярной регуляции и реакциях вестибулярной системы на различные воздействия, связанные с техническим прогрессом, в частности вибрационные. При воздействии вибрации на организм человека часто наблюдаются расстройства функций вестибулярного анализатора, вызывающие субъективные жалобы на головокружение и нарушение координации движения [2, 7].
Вестибулярный аппарат является основным сенсорным входом, ответственным за генез «болезни движения». Последняя сопровождается вегетативными реакциями, реализация которых возможна благодаря тесным связям вестибулярных ядер с вегетативными центрами продолговатого мозга. Одним из перспективных направлений в изучении бульбарных механизмов регуляции вестибуло-вегетативных функций представляется выяснение роли в этих процессах xарактера изменений реакций нейронов ядра солитарного тракта (ЯСТ), на которых оканчиваются первичные афферентные волокна блуждающего нерва. Известно, что некоторые ядра продолговатого мозга, в частности группа ядер вагосолитарного комплекса (ЯСТ и дорсальное моторное ядро блуждающего нерва), включаются в механизмы реализации собственных рефлексов ряда внутренних органов [12].
ЯСТ является первым и основным переключающим звеном афферентной сигнализации, поступающей по блуждающим нервам с периферии в центральную нервную систему. На основании многочис-ленных морфологических и электрофизиологических исследований установлено, что большинство вагусных висцеральных афферентов оканчиваются в каудальной области ЯСТ [3, 14]. Несомненно, изучение влияния воздействия вибрации на распределение межимпульсных интервалов нейронов ЯСТ позволит вскрыть одну из сторон механизма “болезни движения”.
Целью настоящей работы является изучение характеристик фоновой импульсной активности (ФИА) нейронов правостороннего ЯСТ в различные сроки вибрационного воздействия с использованием компьютерного метода регистрации и анализа.
Материал и методы
Эксперименты проведены на 23 крысах (массой 200–230г), наркотизированных нембуталом (40мг/кг внутрибрюшинно). Импульсная активность 266 нейронов правостороннего ЯСТ регистрировалась экстраклеточно стеклянными микроэлектродами (диаметр кончика 1–1.5 мк, сопротивление 3–5 мОм), заполненными 2М раствором хлористого натрия. Животные подвергались вибрации на вибростенде ЭВ-1 (частота 60 Гц и амплитуда 0,4 мм) ежедневно по 2 часа. Стереотаксическая ориентация электродов для попадания в структуру осуществлялась по координатам атласа (Paxinos, Watson, 2005) [13]. Регистрацию импульсной активности правосторонних нейронов ЯСТ проводили в контрольной группе животных (54 нейрона), на пятый (83 нейрона), десятый ( 73 нейрона) и пятнадцатый ( 56 нейронов) дни с сеансами вибрационного воздействия. В конце каждого эксперимента проводился гистологический контроль попадания кончика микроэлектрода.
С использованием подходов, примененных нами в предыдущих исследованиях, анализировались последовательные участки записей импульсной активности нейронов, включающие до 1200 потенциалов действия. По форме графиков скользящей частоты оценивалась стационарность фоновой активности нейронов. В случае стационарности исследуемых выборок строились нормированные гистограммы межимпульсных интервалов и аутокоррелограммы до восьмого порядка, отражающие вероятность генерации потенциалов действия в различные моменты времени. Для «стационарных» нейронов рассчитывались средняя частота разрядов и коэффициент вариации межимпульсных интервалов, равный отношению среднеквадратического отклонения межимпульсных интервалов к его среднему значению (%). Гистограммные межимпульсные интервалы классифицировались как моно-, би- и полимодальные. По частоте фоновой активности исследованные нейроны подразделялись на три группы: с низкой (до 10 Гц), средней (11–30 Гц) и высокой (свыше 31 Гц) частотой импульсации. С учетом формы аутокоррелограмм проводилась классификация нейронов по трем степеням регулярности импульсного потока: I – нейроны с регулярной активностью (аутокоррелограмма включала в себя восемь отчетливо выраженных колебаний, соответствующих периодическому увеличению вероятности появления импульса и ее снижению почти до нуля); II – промежуточные по степени регулярности импульсации нейроны (в аутокоррелограмме присутствовало несколько максимумов, вслед за которыми отмечалось плато); III – нерегулярно разряжающиеся нейроны (аутокоррелограмма характеризовалась отсутствием четко очерченных максимумов, т.е. примерно одинаковой вероятностью генерации импульсов на всем анализируемом участке фоновой активности). Нейроны с нестационарной активностью были объединены в IV группу. Динамическую структуру импульсных потоков определяли путем вычисления сериальных коэффициентов корреляции. Коэффициенты корреляции последовательных межимпульсных интервалов рассчитывали для совокупности смежных интервалов (коэффициент корреляции первого порядка), пар межимпульсных интервалов, взятых через один, два интервала и так далее (до коэффициента корреляции 50-го порядка). Совокупность сериальных коэффициентов корреляции, представленная графически, характеризовала динамику следования межимпульсных интервалов в текущей импульсной активности. В наших экспериментах были выявлены совокупности сериальных коэффициентов корреляции четырех типов. В совокупностях первого типа все коэффициенты корреляции до 50-го порядка равнялись нулю, что указывало на независимое, чисто случайное появление межимпульсных интервалов той или иной длительности в анализируемом отрезке импульсного потока. При совокупностях сериальных коэффициентов корреляции второго типа наблюдались только положительные и нулевые значения коэффициентов корреляции, это свидетельствует о локальных кратковременных увеличениях и уменьшениях частоты разрядов. Наличие положительных, отрицательных и нулевых значений коэффициентов корреляции в совокупности сериальных коэффициентов корреляции позволило полагать, что в фоновой активности возникали периодические изменения частоты в виде пачечных или групповых разрядов (третий тип динамики). Совокупности четвертой разновидности, в отличие от описанных выше, имели только положительные значения коэффициентов корреляции, что свидетельствует о тенденции к стойкому смещению (тренду) частоты текущей активности: ее учащению или урежению (монотонное изменение частоты разрядов).
Для оценки достоверности обусловленных вибрационными воз-действиями изменений распределений нейронов ЯСТ по различным признакам использовался критерий χ2. Достоверность изменений средней частоты и коэффициента вариации оценивалась по t-критерию Стьюдента.
Результаты и обсуждение
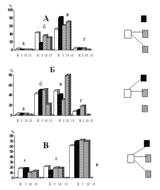
Результаты исследований свидетельствуют, что в контрольной группе животных зарегистрированы 54 нейрона, из которых по степени регулярности импульсных потоков в правостороннем ЯСТ доминируют нерегулярные нейроны – 51.8%. Несколько меньше единиц с промежуточной по степени регулярности импульсной активностью составило 42.6%. Клетки с нестационарной регулярностью и единицы с регулярной активностью в правостороннем ЯСТ составляют 3.7 и 1.9%. Анализ результатов проведенных исследований выявил, что только 5-дневная вибрация приводит к достоверным изменениям в распределении нейронов правостороннего ЯСТ по степени регулярности. После 5-дневной виб-рации в 2.5 и 1,5 раза уменьшается число промежуточных и неста-ционарных единиц соответственно и в 1.5 раза увеличивается количество нерегулярных клеток по степени регулярности единиц (р<0.01) (рис. 1А). Клетки с регулярным типом распределения межимпульсных интервалов в различные периоды вибрационного воздействия отсутствуют.
Анализ распределения нейронов ЯСТ по характеру динамической активности в интактной группе животных выявил преобладание нейронов с пачечно-групповой активностью – 48.2%. Клетки с локальными изменениями частоты разрядов составляли 42.6%. Нейроны с монотонными изменениями и случайным изменением частоты разрядов составляли соответсвенно 7.4 и 1.8 % .Изменения, наблюдаемые в поствибрационный период, не носили достоверный характер после 5- и 10- дневного воздействия (рис. 1Б). Однако после 15-дневного воздействия выявлено отсутствие нейронов со случайным характером следования межимпульсных интервалов и монотонным изменением частоты разрядов. Выявлено увелечение числа единиц с пачечно-групповой активностью в 1,6 раза и уменьшение количества клеток с локальными изменениями частоты разряда (р<0.05) (рис. 1Б).
В распределении нейронов ЯСТ по модальности гистограмм межимпульсных интервалов у интактных животных доминировали полимодальные нейроны – 61.5%. Би- и мономодальные единицы составляли соответственно 21.2 и 17.3%. Преобладание полимодальных клеток наблюдалось и в последующие сроки вибрационного воздействия (рис. 1В). Средняя частота нейронов ЯСТ интактных животных составляла 15.4±2.2Гц, коэффициент вариации – 77.8±5.0% (рис. 2 А,а1,б1). После 5-дневного вибрационного воздействия наблюдалось понижение показателя средней частоты фоновоактивных разрядов правостороннего ЯСТ – 10.9 ± 0.8Гц (р‹0.05) (рис.2А,а2) и повышение коэффициента вариации 92.6±3.9% (р‹0.05) (рис.2А,б2), после 10-дневной экспозиции средняя частота соответствовала 17,8±1,1Гц, а коэффициент вариации 87,9±3,3% (р‹0,01) (рис.2А,а3,б3). После 15-дневного воздействия средняя частота
Рис. 1. Изменение фоновой импульсной активности нейронов правостороннего ядра солитарного тракта в норме и после вибрационного воздействия: А – распределение по степени регулярности: a – регулярные, б – промежуточные, в – нерегулярные, г – нестационарные нейроны; Б – распределение по динамическим типам активности:а – случайная последовательность, б – локальное изменение частоты разрядов, в – пачечная или групповая активность, г – монотонное изме-нение частоты разрядов; В – распределение по модальности гистограмм межим-пульсных интервалов: а – моно-,б– би-, в – полимодальные нейроны;
—указывают серии экспериментов, для которых изменения в соответствующих распределениях по сравнению с нормой носят недостоверный характер (р‹0,05)
импульсации составляет 20,8±2,4Гц (р‹0,01) и коэффициент вариации равен 79,5±3,1% (рис.2 А,а4,б4). Анализ частотного диапазона нейронов ЯСТ в контрольной группе животных выявил преобладание единиц, разряжающихся с низкой частотой импульсации – 51.9%, среднечастотные – 32.7% и высокочастотные нейроны – 15.4%. Доминирование низкочастотных единиц наблюдалось и после 5–дневного вибрационного воздействия, однако в этот период количество высокочастотных клеток понижалось в 6.2 раза, а среднегрупповые единицы увеличились в 1,3 раза. Однако после 10- и 15- дневного вибрационного воздействия были выявлены статистически достоверные изменения. После 10- дневной вибрацион-ной экспозиции наблюдается увеличение в 2 раза среднегрупповых единиц и уменьшение в 2,3 и 1,3 раза низкочастотных и высокочастотных единиц соответственно (р‹0,01) (рис.2 Б). После 15- дневного воздействия число низкочастотных уменьшилось в 2,4 раза, среднечастотные единицы увеличились в 1,8 раза, а высокочастотные в 1,2 раза ( р ‹ 0,01) (рис.2 Б).
Рис. 2. Изменения частотных характеристик фоновой активности (ФА) нейронов правостороннего ядра солитарного тракта крыс в ходе длительного вибрацион-ного воздействия: А – динамика среднегрупповых значений частоты ФА (а,Гц) и коэффициента вариации межимпульсных интервалов ФА (б, %); Б – изменение относительных количеств нейронов (%), генерирующих низко-, средне- и высо-кочастотную ФА (‹10, 11–30, ›31 Гц ; а,б,в соответственно). За 100% принято общее количество нейронов в исследованных группах. По горизонтали – длитель-ность вибрационного воздействия, группа контроля – К(1) и группы с дли-тельностью вибрационного воздействия 5(2) 10(3) и 15(4) дней
Анализ спонтанной импульсной активности правосторонних нейронов ЯСТ показал, что в течение всего эксперимента импульсация большинства клеток данного ядра характеризовалась стационарным течением. Аутокорреляционный анализ показателей выявил в различных периодах исследований преимущественно нерегулярное распределение межимпульсных интервалов. Возможно, что основную роль в его формировании играют особенности организации внутриядерных и межнейронных связей, а также афферентные входы, в частности от первичных афферентов блуждающего нерва [10]. Известно, что ядро солитарного тракта содержит в основном небольшие клетки ретикулярного типа [5]. Афферентные терминали блуждающего нерва образуют, как правило, множественные аксо-дендритные синапсы на дендритах нейронов этого ядра [11], что создает эффективные условия для модуляции возбудимости нейрона, в то время как для инициации специфического разряда необходима пространственно-временная суммация постсинаптических потенциалов. По-видимому, они играют ведущую роль в генезе фоновой импульсации нейронов. Можно предположить, что эти же особенности внутренней организации и свойства афферентных входов в ядро являются определяющими в формировании паттернов ответов его нейронов после вибрационного воздействия. После 5-,10-дневного вибрационного воздействия были отмечены выраженные сдвиги в динамических характеристиках импульсации нейронов с локальными изменениями, а после 15-дневной экспозиции выявилась трансформация ритма с преобладанием пачечно-групповых единиц. Особо следует подчеркнуть увеличение количества пачечно-групповых нейронов с малой длительностью и высокой внут-рипачечной частотой, которые чередовались с одиночной импульсной активностью, что свидетельствовало о возбуждающем влиянии вибрации на вестибуло-сенсорную систему. Увеличение числа импульсов в пачке, по-видимому, является следствием не только возбуждающего влияния вибрации, но и нарушения механизмов тормозного электрогенеза. Увеличение потоков афферентной импульсации от лабиринтов, мозжечка, спинного мозга и других структур к вестибулярным ядрам при вибрации приводит к изменению их возбудимости и функциональной активности [8, 9]. Продолжительность пачечных разрядов, вероятно, в значительной степени определяется существованием внутри исследуемой структуры механизма возвратного торможения, ограничивающего эту длительность.
Особого внимания заслуживает сложная динамика средней частоты фоновой активности в исследованных группах нейронов ЯСТ и относительного количества нейронов с разной частотой после вибрационных воздействий различной длительности. Так, после 5-дневного вибрационного воздействия существенно уменьшалась доля клеток с высокой частотой фоновой активности (свыше 31 Гц), что отражалось в понижении средней частоты нейронных разрядов. Одним из возможных объяснений подобного эффекта может служить предположение о существовании тормозных входов в области ЯСТ от части афферентных волокон блуждающего нерва. В продолговатом мозгу локализованы центры ряда вегетативных рефлексов и бульбарные механизмы регуляции сердечно-сосудистой, дыхательной, пищеварительной и других висцеральных функций, связанных с поступлением висцеральной информации к структурам всех уровней ствола мозга. Сопряженные изменения артериального давления и дыхания при интерорецептивных раздражениях – серьезный аргумент роли висцеральных афферентов в осуществлении рефлекторных реакций на бульбарном уровне. Центральные отрезки чувствительных нейронов блуждающих нервов вступают в продолговатый мозг и вместе с афферентными волокнами языкоглоточного нерва образуют одиночный тракт, который опускается до VIII сегмента спинного мозга. Первое синаптическое переключение афферентных импульсов блуждающего нерва происходит на клетках ядра этого тракта. Аксоны таких вторичных афферентных нейронов блуждающих нервов отдают коллатерали в ретикулярную формацию ствола мозга и, перекрещиваясь на уровне варольева моста, входят в состав медиальной петли, заканчиваясь в ядрах таламуса и гипоталамуса [1, 12]. Висцеральная афферентация участвует в формировании трех типов физиологической регуляции: органной, гомеостатической и поведенческой. В ряде работ [4, 6] изучено влияние висцеральной сигнализации на активность нейронов комплекса вестибулярных ядер продолговатого мозга. Показано, что электрическая стимуляция блуждающего и тазового нервов, а также адекватное раздражение механорецепторов желудка и кишечника оказывают на вестибулярные нейроны как возбуждающее, так и тормозящее действие. Обнаружена высокая конвергенция висцеральных и соматических афферентных сигналов на одних и тех же нейронах вестибулярных ядер. Полученные данные свидетельствуют о том, что на уровне нейронов вестибулярных ядер создаются условия для взаимодействия между вестибулярной, соматической и висцеральной афферентными системами, что, очевидно, является одним из механизмов подбора и анализа специфической информации уже на уровне первого центрального реле вестибулярной афферентной системы. Под воздействием вибрации активация первичных сенсорных нейронов ЯСТ передается как по полисинаптическим путям ретикулярной формации ствола мозга [12], так и по афферентной системе прямой проекции каудальной висцерорецептивной части ЯСТ в структуры гипоталамуса [14]. Характер изменения активности отражает процесс переработки висцеральной афферентной импульсации в ЯСТ и, возможно, направлен на обеспечение оптимального для данного воздействия уровня функционального состояния бульбарных висцеральных нейронов.
Поступила 01.03.11
Литература
- Альтова Л. С. Анатомические и экспериментальные исследования стволовых, мозжечковых и корковых связей блуждающего нерва. Автореф. дис... к.м.н., М.,1971.
- Артамонова В. Г., Шаталов В. В. Профессиональные болезни., М., 1996.
- Баклаваджян О. Г. Висцеросоматические афферентные системы гипоталамуса. Л., 1985.
- Дутов А. М. Реакции нейронов вестибулярных ядер на интерорецептивное раздражение. Бюл. экспер. биологии и медицины, 1974, т.18(8), с. 10–13.
- Жукова Г. П. Нейронное строение и межнейронные связи мозгового ствола и спинного мозга. М., 1977.
- Райцес В. С. Нейронные механизмы взаимодействия висцеральных, соматических и сенсорно-специфических сигнализаций в подкорково-стволовых реле зрительного и вестибулярного анализаторов. В кн.: Современные тенденции в нейрофизиологии. Л., 1977, с. 248–257.
- Минасян С. М. Интегративные структуры мозга при вибрации. Ереван, 1990.
- Минасян С. М., Баклаваджян О. Г., Саакян С. Г., Саркисян С. Г., Адамян Ц. И., Геворкян Э. С. Гипоталамическая регуляция активности нейронов вестибулярных ядер при воздействии вибрации. Ж. ВНД, 1997,т 47(4), с.701–707.
- Минасян С. М., Саакян С. Г., Саркисян С. Г. Роль фастигиального ядра мозжечка в регуляции активности вестибулярных нейронов в динамике длительного воздействия вибрации. Сенсорные системы, 2002, т.16(2), с.155–159.
- Cottle M. K., Calaresu F. R. Projections from the nucleus of tractus solitarius in the rat. J. Comp. Neurol., 1975, 161 (1): 143–152.
- Gwyn D. G., Wilkinson P. H., Leslie R. A. The ultrastructural identification of vagal terminals in the nucleus of tractus solitarius of the cat after anterograde labelling with horseradish peroxidase. Neuroscience Letter. 1982, 28 (2): 139–143.
- Norgzen R. Projections from the nucleus of the solitary tract in the rat. Neuroscience, 1978, 3(2), p. 207–218.
- Paxinos G., Watson Ch. The rat brain in stereotaxic coordinates. Sydney, Acad., press., 2005.
- Ricardo J. A., Koh E. T. Anatomical evidence of direct projection from the nucleus of the solitary tract to the hypothalamus, amygdala and other forebrain structures in the rat. Brain Res., 1978, 153 (1), p. 1–26.
26.07.2011 Читайте также
Ключевые слова: агрегатные свойства клеток крови, агрегация тром-боцитов, агрегация эритроцитов, атеротромбоз, деформация эритроцитов, рестеноз, тромбоз, чрезкожное коронарное вмешательство
Атеросклеротический и тромботический процессы тесно взаимо-связаны и поэтому в настоящее время объединены термином “атеро-тромбоз” [4, 6, 11, 14, 26, 27, 46, 52, 54, 56]...
29.07.2011 Ключевые слова: табакокурение, химический состав табака, онкогены, поражение органов и систем человека
На современном этапе доказано и показано, что курение (активное и пассивное) является основной причиной возникновения и прогрессирования таких патологий...
28.07.2011 Ключевые слова: депрессия, митохондрии, мозг, синтаза оксида азота, хронический стресс, цитозоль
На сегодняшний день накоплены многочисленные данные, свидетельствующие о том, что дисфункция митохондрий способствует развитию стойких нарушений когнитивно-мнестических функций в ЦНС и участвует в патогенетических механизмах психических расстройств [7, 31]...
27.07.2011 Ключевые слова: СДР, почки, ПБП, электронная микроскопия
За последние десятилетия во всем мире отмечается тенденция к росту количества чрезвычайных ситуаций (природных, техногенных, социальных и других катастроф), сопровождающихся значительным числом человеческих жертв...
25.07.2011 Keywords: hemorphin, streptozotocin-induced diabetes, calcineurin, TNFа, corticosterone
LVVYPW (myelopeptide-2, LVV-hemorphin-3, LVV-H3) is a member of hemorphins family, the endogenous nonclassical opioid peptides, derived from hemoglobin (Hb) [for review see Ref. 21]...
22.07.2011 Ключевые слова: патогенные и условнопатогенные микроорганизмы, чувствительность, хлораминорезистентность, дезинфицирующие средства, четвертичные аммониевые соединения, бактерицидная активность
Широкое распространение острых кишечных и внутрибольничных инфекций, вызываемых патогенными и условнопатогенными микроорганизмами...
21.07.2011 Ключевые слова: трихинелла, иммуностимулятор, фитопрепараты, РНК, гликоген, естественная резистентность
Основной метод лечения паразитарных инвазий – специфическая химиотерапия. Вместе с тем остается ряд гельминтозов, химиотерапия которых практически не разработана...
20.07.2011 Ключевые слова: экстракция, фотометрия, реагент-краситель, экстрагент, тиазин, экспресс-метод, молярный коэффициент светопоглощения
Пенициллины являются первыми антимикробными препаратами (АМП), разработанными на основе продуктов жизнедеятельности микроорганизмов...
19.07.2011 Ключевые слова: инфаркт миокарда, левый желудочек, правый желу-дочек, индекс Tei, прогноз
Ремоделирование миокарда после острого инфаркта миокарда (ОИМ) левого желудочка (ЛЖ) – прогрессирующий процесс дилатации ЛЖ, который приводит к систолической и диастолической дисфункции ЛЖ и развитию сердечной недостаточности [23]...
18.07.2011 Ключевые слова: нестабильная стенокардия, маркеры, модуляторы РААС
По современным представлениям, воспаление играет ключевую роль в патофизиологии ИБС и ее обострений [2]. У пациентов с нестабильной стенокардией (НС) чаще находят активированные воспалительные клетки...
15.07.2011 Ключевые слова: кесарево сечение, флебэктомия, абдоминальное родоразрешение, варикозная болезнь, роженицы
Основной задачей акушерства является снижение материнской и младенческой заболеваемости и смертности. Большая роль в решении этой задачи отводится своевременному и правильному выбору метода родоразрешения...
14.07.2011 Ключевые слова: язвенная болезнь, пробиотик “Нарине”, терапия
В настоящее время проведение антихеликобактерной терапии и тест-контроль за эрадикацией Н. pylori являются стандартом для лечения язвенной болезни (ЯБ)...
13.07.2011 Ключевые слова: постменопаузальный остеопороз, остеопения, ультразвуковая диагностика, ультрасонометр Sahara
Постменопаузальный остеопороз (ПО) – системное заболевание скелета многофакторной природы, возникающее у женщин в период постменопаузы как следствие дефицита половых гормонов...
12.07.2011
Warning: mysqli::query(): (HY000/1): Can't create/write to file '/var/tmp/MYdGKg9c' (Errcode: 28 - No space left on device) in /sites/med-practic.com/classes/DatabaseManager_2.1.php on line 1381
Fatal error: Uncaught Error: Call to a member function fetch_assoc() on bool in /sites/med-practic.com/classes/DatabaseManager_2.1.php:1384 Stack trace: #0 /sites/med-practic.com/classes/article_class.php(102): TableManager->querySelectClassic('SELECT a.id, a....', Array) #1 /sites/med-practic.com/includes/include_footer_amen_kard_hod.php(5): Article->SelectAmenakardacvatsArticles(2) #2 /sites/med-practic.com/includes/include_bottom.php(9): require_once('/sites/med-prac...') #3 /sites/med-practic.com/bottom.php(7): require_once('/sites/med-prac...') #4 /sites/med-practic.com/article_more.php(151): require_once('/sites/med-prac...') #5 {main} thrown in /sites/med-practic.com/classes/DatabaseManager_2.1.php on line 1384















Научная медицина
Болезни
Традиционная медицина
Здоровый образ жизни
Косметология
Медицинское право
Алгоритмы, тесты
Цифры, факты, случаи
Историческая хроника
Афоризмы
Карьерная лестница
Дети
Женщина
Мужчина
Рейтинговая система

