Медицинская наука Армении 1.2011
Депрессивноподобное состояние и сдвиги в содержании аргинина и его метаболитов в тромбоцитах и иммунокомпетентных клетках крови крыс в циркадианной модели хронического стресса
Ключевые слова: аргинин, креатин, лейкоциты, оксид азота, тромбоциты, хронический стресс, цитруллин
Хронический стресс (ХС) может вызвать развитие депрессивных состояний, характеризующихся угнетением настроения. Большая депрессия сопряжена со снижением продолжительности жизни у 10-30% женщин и у 7-15% мужчин [9]. По данным ряда авторов, в 47-100% случаев в основе суицидальных проявлений лежит депрессия [1]. На сегодняшний день накоплены многочисленные данные, подтверждающие участие в патогенезе стресс-индуцированных болезней эндогенной системы генерации оксида азота (NO) из L-аргинина [16]. NO-ергическая система влияет на ключевые звенья стресс-реакции, является наследственной стресс-лимитирующей системой, которая обеспечивает адаптационные способности организма и участвует в защитно-компенсаторных процессах иммунной и воспалительной реакции [4]. Депонирование NO представляет собой мощный протекторный механизм от стресса и болезней, индуцируемых стрессом, и NO миметики, а также L-аргинин проявляют анксиолитическую активность при ограниченном стрессе [22]. В то же время нарушение сбалансированного синтеза NO в сторону его гиперпродукции, особенно при одновременном активировании продукции активных форм кислорода, может привести к образованию мощного оксиданта пероксинитрита (ПН) и инициировать каскад ПН-опосредованных реакций: необратимое ингибирование аконитазы (фермент цикла Кребса), железо-серных центров I-III комплексов дыхательной цепи, нитрозилирование мембранных тиолов с открытием митохондриальной поры [21]. Эти процессы нарушают клеточный энергообмен, снижают выработку АТФ, что является фактором риска развития психических заболеваний, при которых наблюдается также подавление системы креатин/креатинфосфат, обеспечивающей интрацеллюлярный запас макроэргов [5, 30]. Отметим, что креатин синтезируется из аргинина и глицина в печени и панкреасе и переносится кровью, запасаясь в органах и тканях, прежде всего в мозге [29]. При большой депрессии и биполярных депрессивных состояниях в мозге возрастает число нейронов, экспрессирующих нейрональную изоформу NO синтазы (nNOS) [14]. Показано, что nNOS подавляет нейрогенез в гиппокампе и таким образом способствует развитию депрессивноподобного поведения у грызунов при ХС (модель депрессии человека), которое отменяется при ингибировании nNOS так же, как и негативный контроль нейрогенеза со стороны nNOS/NO [40]. Недавно выяснилось, что подавление активности индуцибельной изоформы NOS (iNOS) в гиппокампе также оказывает антидепрессивное действие при ХС [35]. Снижение активности различных компонентов дыхательной цепи наблюдается не только в структурах мозга, но и в тромбоцитах и лимфоцитах больных шизофренией, что указывает на системный характер нарушений энергообмена при психических расстройствах [5]. Базальный уровень NO и его метаболитов (активные формы азота – АФА) в крови в основном обеспечивается изоформами NOS, которые представлены в тромбоцитах и иммунокомпетентных клетках (ИКК) крови [20, 34]. В связи с вышеизложенным изучение метаболического профиля L-аргинина в крови представляет интерес. Тем не менее исследования в этом направлении весьма малочисленны [38].
В представленной работе в разработанной нами циркадианной модели ХС продемонстрировано развитие депрессивноподобного состояния у крыс, которое сопровождается в тромбоцитах, ИКК и плазме крови значительными изменениями в содержании креатина и субстрата и продуктов NO синтазной реакции, аргинина, цитруллина и NO, отражающих нитрергический ответ in vivo.
Материал и методы
В работе использовали реактивы производства “Sigma Chemical Co” (США): аминогуанидин, HEPES, NADPH, FAD, FMN, (6R)-5,6,7,8-тетрагидробиоптерин, L-аргинин • HCl, сульфаниловая кислота, дитиотреитол, ЭДТА, а также декстран (“Serva”, Германия).
Опыты проводили с соблюдением принципов гуманности, изложенных в Директивах Европейского сообщества (86/609/ЕС) в соответствии с правилами лабораторной практики, одобренных комитетом по биомедицинской этике при Институте биохимии им. Г.Х. Бунятяна.
Эксперименты проводили на 2-месячных нелинейных белых крысах-самцах массой 100-140 г, которые содержались в виварии в естественных условиях освещения и свободном доступе воды и пищи. Животные были разделены на группы: I –здоровые крысы (контроль); II – крысы, подвергнутые 14-дневному ХС и декапитированные сразу после невротизации; III – крысы, подвергнутые 14-дневному ХС и декапитированные через 4 дня после невротизации.
Хронический стресс и поведенческая активность. Ежедневно животных подвергали воздействию одного или двух стрессирующих факторов с учетом циркадианных ритмов, при изучении которых предварительно были определены периоды уязвимости организма по фазам захваченных ритмов ряда показателей (частота пульса, температура тела, бодрствование, активность эпифизарного фермента ацетилсеротонин-метилтрансферазы, уровень кортикостерона (ритм надпочечников) в плазме). Хроническая невротизация крыс осуществлялась по собственной методике: последовательно начиная с первого дня принудительное плавание (20 мин при 28оС); ограниченный стресс (2 ч); эфирные пары и холодовой стресс (4 ч при 4оС); принудительное плавание (20 мин при 24оС) и ограниченный стресс (2 ч); холодовой стресс (4 ч при 4оС) и эфирные пары; ограниченный стресс (4 ч); принудительное плавание (20 мин при 28оС) и холодовой стресс (3 ч при 4оС); эфирные пары; ограниченный стресс (4 ч) и эфирные пары; холодовой стресс (5 ч при 4оС); принудительное плавание (20 мин при 24оС) и эфирные пары; лишение пищи (24 ч) и ортостатический шок (20 мин); эфирные пары и холодовой стресс (5 ч при 4оС); ограниченный стресс (5 ч).
Тест “открытое поле” (ОП). ОП представляло собой круглую арену диаметром 100 см с деревянным полом, расчерченным на 16 квадратов восемью диаметрами и тремя концентрическими окружностями, находящимися на равных расстояниях друг от друга. Электрические лампы накаливания (4 лампы мощностью по 60 Вт) располагались по кругу на высоте 80 см от поверхности поля. Крысу помещали в угол камеры и в течение первых 5 мин наблюдения визуально регистрировали двигательную (горизонтальную) активность по числу пройденных сегментов (переход учитывали при пересечении крысой сегмента четырьмя лапами), вертикальную активность (стойки, т.е. число подъемов на задние лапы), число актов очищения (груминг) и дефекаций, оцениваемых по числу дефекационных шариков (болюсов) [2].
Тест “приподнятый крестообразный лабиринт” (ПКЛ). Тест проводили в крестообразном лабиринте, приподнятом над полом на 80 см и имеющем два закрытых (со стенками) и два открытых (без стенок) рукава длиной 45 и шириной 10 см (высота стенок в закрытых рукавах 10 см). В центре расположенных крест-накрест рукавов лабиринта находилась открытая площадка (размером 10 х 10 см). Крысу помещали в центр лабиринта и в течение первых 5 мин наблюдения регистрировали число заходов в открытые и закрытые рукава лабиринта, а также число оценок “риска” (число свешиваний с открытых рукавов лабиринта) [8].
Выделение тромбоцитов и ИКК крови. Кровь стабилизировали антикоагулянтом, 5% цитратом натрия (в соотношении 5:1) и смешивали с 6% декстраном (70 000), приготовленным на 0,9 % NaCl (в соотношении 2:1), инкубировали 1 ч при 37оС и после седиментации эритроцитов декантировали верхний слой, содержащий ИКК и тромбоциты. Из полученной взвеси клеток ИКК и обогащенную тромбоцитами плазму разделяли центрифугированием при 1500 об/мин 5 мин, а тромбоциты от плазмы – последующим центрифугированием супернатанта при 6000 об/мин 10 мин. Тромбоциты и ИКК дважды промывали 20 мМ HEPES буфером рН 7,4 и после центрифугирования при 3000 об/мин 20 мин разводили в этом же буфере для дальнейших анализов.
Определение креатина. Гомогенаты проб после осаждения белков 5 % Bа(OH)2 и 5 % ZnSO4 (в соотношении 1:1:1) центрифугировали и к полученным супернатантам последовательно добавляли свежеприготовленные растворы 1% б-нафтола (в щелочном растворе 16 % Na2CO3 и 6 % NaOH) и 1% диацетила (в соотношении 1:1:0,1), помещали в темноту на 20 мин для развития окраски и концентрацию креатина определяли спектрофотометрически при длине волны 536 нм [3].
Определение активных форм азота. В супернатантах проб, депротеинизированных 0,5 N NaOH и 10% ZnSO4, содержание АФА, то есть NO и его стабильных интермедиатов (окислов азота (NO2–, NO3–, N2O4, N2O3), нитрозотиолов, нитрозаминов) определяли реакцией диазотирования с использованием реактива Грисса-Илосвая при длине волны 546 нм [31]. Отметим, что гидроксиламин, ион нитрозония, нитрозотиолы в небольших количествах образуются в реакции NOS и определяются реактивом Грисса-Илосвая так же, как и окислы азота, которые неизбежно образуются в реакционной смеси при взаимодействии синтезирующегося NO с кислородом воздуха [32].
Определение L-цитруллина. Содержание L-цитруллина определяли в супернатантах проб депротеинизированных 10% трихлоруксусной кислотой. Пробы в соотношении 1:2 смешивали с рабочим раствором (смесь реактива (5мМ диацетилмоноксим, 0,9 мМ тиосемикарбазид и 0,025 мМ FeCl3 ) и 9,6% H2SO4 в пропорции 1:1), подвергали термообработке 10 мин в кипящей водяной бане и после охлаждения концентрацию L-цитруллина определяли спектрофотометрически при длине волны 490 нм.
Определение L-аргинина. Содержание L-аргинина определяли в супернатантах проб депротеинизированных 0,5N NaOH и 10% ZnSO4, модифицированным методом [6]. Пробы разводили в воде (1:2) и в соотношении 3:1 смешивали с рабочим раствором (смесь растворов: 0,02% 8-оксихинолина в 96% этиловом спирте с 2,5% сульфосалициловой кислоты в 0,01 М глициновом буфере и 2,5% NaOH, в пропорции 1:1:1), после чего добавляли 1% гипобромит натрия (гипобромит натрия готовили растворением брома в 2,5% NaOH), перемешивали и через 15 мин концентрацию L-аргинина определяли спектрофотометрически при длине волны 525 нм.
Концентрация белка определялась по методу Лоури и соавторов [26].
Анализ данных. Данные представлены в виде среднее ± стандартное отклонение. Для выявления степени зависимости отдельных исследуемых показателей применялся корреляционный анализ (коэффициент линейной корреляции Пирсонa, r). Достоверность различий при множественных сравнениях оценивали с использованием параметрического однофакторного дисперсионного анализа (one-way Anova) с последующим постдисперсионным анализом Tukey, для оценки достоверности величин показателей поведения использовали непараметрический критерий, однофакторный дисперсионный анализ Kruskall-Wallis с последующим постдисперсионным анализом Dunn с помощью пакета программ GraphPadInstat version 3.00 for Windows 95, GraphPad Software, San Diego California USA. Статистическая достоверность p≤ 0,05.
Результаты и обсуждение
Поведенческие реакции крыс: локомоторная, ориентировочно-исследовательская активность и эмоциональное состояние оценивали тестированием в ОП и ПКЛ. Животных отбирали на основе предварительного тестирования в ОП и ПКЛ так, чтобы они значимо не различались по двигательной активности и уровню тревожности и характеризовались средним уровнем активности. В конце двухнедельного стрессирующего воздействия у подопытных крыс, по данным тестирования в ОП и ПКЛ, наблюдались моторная и эмоционально-поведенческая заторможенность (табл. 1, 2). Зарегистрированы достоверное снижение показателей двигательной активности, более чем на порядок, числа стоек в 5,6 раза, груминга в 2,8 раза, входы в открытые рукава лабиринта сократились в 8 раз, а свешиваний с них – в 9 раз.
У крыс после ХС наблюдались выраженная реакция замирания в закрытых рукавах ПКЛ, а также снижение почти в три раза общего числа выходов в открытый и закрытый рукава лабиринта, что также является показателем двигательной активности животных в тесте ПКЛ [11]. В то же время число дефекаций, по которым судят об эмоциональности животных, слегка уменьшалось. Наблюдаемые у крыс инертность реагирования, исчезновение признаков беспокойства, характерные для инактивационных состояний, сходны с клиническими проявлениями моторной и ментальной заторможенности при депрессивных
Таблица 1
Показатели поведенческой реакции крыс в открытом поле при хроническом циркадианном стрессе
Примечание. Здесь и в табл. 2 данные представлены в виде M ± SD, n=15 в каждой группе; p ≤ 0,05 по сравнению с контролем
расстройствах [25]. Через 4 дня после 14-дневного ХС, депрессивно-подобное поведение крыс снижалось, о чем свидетельствует возрастание локомоторной активности в ОП, хотя и показатели были в 1,8 раза ниже чем до стресса. Тем не менее исследовательская активность и эмоциональное поведение животных оставались подавленными, поскольку было зарегистрировано лишь незначительное повышение показателей как в отношении вертикальной активности и груминга в тесте ОП, так и входов в открытые рукава и числа оценок риска в тесте ПКЛ.
Развитие депрессивноподобного состояния у животных сопровождалось изменениями в содержании креатина, а также аргинина и его метаболитов в плазме, тромбоцитах и ИКК крови. Как видно из рис. 1, сразу после двухнедельного стресса уровень креатина в ИКК крови падает, приблизительно в 11,5 раза, а в тромбоцитах – снижается только вдвое по сравнению с контролем. Однако уже на 4-й день после ХС содержание креатина возрастает в ИКК и тромбоцитах,
Рис. 1. Стресс-индуцированные сдвиги в содержании креатина в тромбоцитах, иммунокомпетентных клетках и плазме крови крыс. Результаты представлены в виде M ± SD, p < 0,001 по сравнению с контролем
превышая в последних контрольный уровень. В то же время после ХС концентрация креатина плазмы крови драматически снижается, в 15 раз по сравнению с контролем, и лишь слегка возрастает через 4 дня постстрессового периода. Все это свидетельствует о метаболических пертурбациях энергетического метаболизма на периферии и существовании компенсаторных механизмов, которые по-разному проявляются в ИКК, тромбоцитах и плазме крови.
Определение уровня L-aргинина в крови может служить маркером продукции NO в органах и тканях, включая мозг [7]. Отметим, что L-аргинин способствует сборке активных димеров изоформ NOS и стабилизации их структуры [18]. У крыс в циркулирующих нейтрофилах, спонтанно продуцирующих NO, мегакариоцитах, тромбоцитах и лимфоцитах обнаружена мРНК конститутивных изоформ NOS; мРНК iNOS определяется в мегакариоцитах, нейтрофилах, эозинофилах и нестимулированных моноцитах [20, 36]. Однако базальный уровень NO и стабильных продуктов его окисления, нитрит/нитрат анионов в организме зависит не только от активности изоформ NOS. Нитраты, содержащиеся в пище, превращаются в слюне и под влиянием микрофлоры желудочно-кишечного тракта в нитриты и NO, снижение экскреции нитратов вследствие нарушения в работе почек может вызвать возрастание в плазме концентрации нитратов с последующим неферментативным превращением в нитриты и NO [13]. Ксантиноксидаза и миелопероксидаза лейкоцитов также могут продуцировать из нитратов нитриты и NO [15, 39]. Исходя из вышеизложенного, наряду с определением содержания аргинина и АФА, анализировалось и содержание цитруллина, образующегося вместе с NO в реакции NOS.
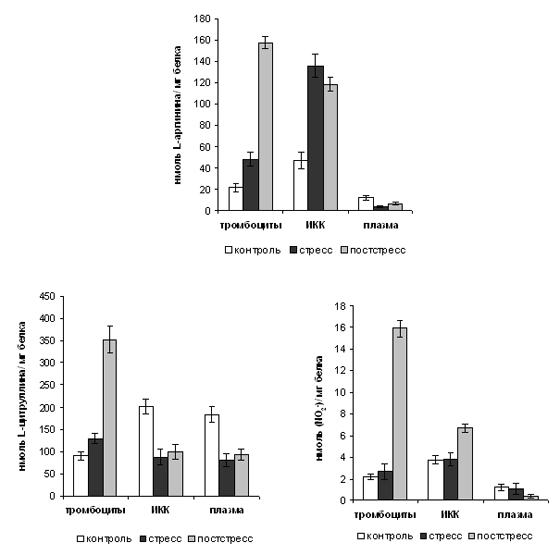
Рис. 2. Стресс-индуцированные сдвиги в содержании L-аргинина и его метаболитов в тромбоцитах, иммунокомпетентных клетках и плазме крови крыс. Результаты представлены в виде M ± SD, p < 0,01 по сравнению с контролем
Как видно из рис. 2, ХС вызывает повышение уровня аргинина, цитруллина и АФА в тромбоцитах, которое наиболее выражено в постстрессовый период. Особенно это проявляется в отношении АФА, содержание которых сразу после стресса лишь незначительно возрастало и в тромбоцитах, и в ИКК, но уже через 4 дня после ХС в них одновременно повышались уровень АФА в 7,3 и 1,8 раза и аргинина в 7,2 и 2,5 раза (по сравнению с контролем) соответственно. В то же время в ИКК и плазме крови вдвое падает содержание цитруллина. Экзогенный цитруллин в высоких концентрациях ингибирует поглощение аргинина альвеолярными макрофагами крыс [24]. Не исключено, что эндогенный цитруллин также оказывает влияние на процессы поглощения аргинина клетками крови и регулирует его уровень в них, что особенно проявляется в отношении ИКК. Кроме того, аргининсукцинат синтаза и аргининсукцинатлиаза осуществляют рециклизацию цитруллина в аргинин, обеспечивая автономное снабжение субстратом NO синтазы, и эти ферменты цикла цитруллин NO представлены практически во всех органах и тканях [37]. Вероятно, при ХС происходит активирование вышеуказанных метаболических процессов, при этом в ИКК крови отрицательная корреляция между сдвигами в них содержания аргинина и концентрации цитруллина в плазме весьма высока (r=-0,9969, p=0,05), та же тенденция, но в меньшей степени наблюдается и в тромбоцитах (r=-0,5679, p=0,05).
Резкое возрастание уровня аргинина в тромбоцитах и ИКК крови может быть вызвано ХС-индуцированным подавлением активности таких аргининметаболизирующих ферментов, как аргиназа и аргининдекарбоксилаза, которые, с одной стороны, конкурируют с изоформами NOS за общий субстрат, а с другой – продуцируют соединения (мочевина, агматин), ингибирующие их активность [23, 27]. Отметим, что эти ферменты вовлечены в синтез полиаминов (путресцин, спермин, спермидин, агматин), которые играют роль в иммунитете и стресс-ответе организма [10] и имплицированы в патофизиологию психических расстройств, проявляя антидепрессивное и анксиолитическое воздействие [17]. Поскольку NG-гидрокси-L-аргинин, первый интермедиат биосинтеза NO, является мощным ингибитором аргиназы в макрофагах [12], активирование NO синтазы в клетках крови, вероятно, будет подавлять в них синтез полиаминов. Недавно выяснилось, что аргинин ингибирует поглощение креатина митохондриями, влияя таким образом на их энергетическое состояние [33]. Более того, NO может нитрозилировать сульфгидрильные группы креатинкиназы и подавлять ее активность [28]. Требуются дальнейшие исследования для выяснения каким образом происходит взаимовлияние этих систем при ХС.
Так или иначе, повышение базального уровня АФА в тромбоцитах и ИКК указывает на активирование ферментативной системы NOS/NO, что для тромбоцитов подтверждается также возрастанием в них содержания цитруллина. Однако сдвиги в содержании АФА клеток крови гораздо ниже, чем возросшие концентрации аргинина при ХС. По-видимому, стресс-индуцированное активирование ИКК крови сопровождается продукцией ими активных форм кислорода, которые, взаимодействуя с NO, образуют ПН с удалением биодоступного NO [19]. В наших экспериментах это особенно заметно сразу после ХС, когда детектируются лишь сравнительно небольшие изменения в содержании АФА. Через 4 дня после ХС, в связи с прекращением стрессирующего воздействия, снижается и образование активных форм кислорода и соответственно ПН, благодаря чему проявляются изменения в уровне АФА. Примечательно, что в тромбоцитах они гораздо более выражены, чем в ИКК, поскольку супероксид-анионы продуцируются лейкоцитами, в которых происходит их активное взаимодействие с NO со снижением его биодоступности и уровня детектируемых АФА.
Таким образом, в циркадианной модели ХС развитие депрессивноподобного состояния у крыс сопровождается комплексными сдвигами в уровне креатина, аргинина и продуктов его метаболизма в NO синтазной реакции в тромбоцитах, ИКК и плазме крови. Выявленные особенности ХС-индуцированного активирования нитрергического ответа и сопряженные изменения в синтезе макроэргов в плазме и форменных элементах крови отражают специфику системных метаболических превращений, вовлеченных в развитие депрессии.
Поступила 01.12.10
Литературa
- Бачериков Н.Е., Михайлова К.В., Гавенко В.Л., Рак С.Л., Самардакова В.А. Клиническая психиатрия. Киев, 1989.
- Буреш Я., Бурешова О., Хьюстон П. Методики и основные эксперименты по изучению мозга и поведения. М., 1991.
- Иванов И.И., Корoвкин Б.Ф., Маркелов И.М. Введение в клиническую энзимологию. Л., 1974.
- Пшенникова М.Г. Врожденная эффективность стресс-лимитирующих систем, как фактора резистентности к стресс-индуцированным болезням. Усп. физиол. наук, 2003, т. 34, 3, с. 55-67.
- Сухоруков В.С. Митохондриальная патология и проблемы патогенеза психических нарушений. Ж. Неврол. психиатр., 2008, т. 108, 6, с. 83-90.
- Akamatsy S., Watanabe T.J. Assay for L-arginine in biological liquids. J. Biochem., 1961, 77, 3, p. 484.
- Armengou A., Hurtado O., Leira R., Obon M. L-arginine levels in blood as a marker of nitric oxide-mediated brain damage in acute stroke: a clinical and experimental study. J. Cereb. Blood Flow Metab., 2003, 23, 8, p. 978-984.
- Augustsson H., Meyerson B. Exploration and risk assessment: a comparative study of male house mice (Musmusculus) and two laboratory strains. Physiol. Behav., 2004, 81, 4, p. 685-698.
- Blendy J.A. The role of CREB in depression and antidepressant treatment. Biol. Psychiatry, 2006, 59, p. 1144-1150.
- Casero R.A, Pegg A.E. Polyamine catabolism and disease. Biochem J., 2009, 421, p. 323-338.
- Cruz A.P.M., Frei F., Graeff F.C. Ethopharmacological analysis of rat behavior on the plus-maze. Pharmacol. Biochem. Behav., 1994, 49, p. 171-176.
- Daghigh F., Fukuto J.M., Ash D.E. Inhibition of rat liver arginase by an intermediate in NO biosynthesis, NG-hydroxy-Larginine: implications for the regulation of nitric oxide biosynthesis by arginase. Biochem. Biophys. Res. Commun., 1994, 202, 1, p. 174-180.
- Demoncheaux E.A.G., Higenbottam T.W., Foster P.J., Borland C.D.R. Circulating nitrite anions are directly acting vasodilator and are donors for nitric oxide. Clin. Science, 2002, 102, 1, p. 77-83.
- De Oliveira R.W., Del Bel E.A., Mamede-Rosa M.L., Padovan C.M., Deakin J.F. Expression of neuronal nitric oxide synthase mRNA in stress-related brain areas after restraint stress. Neurosci. Lett., 2000, 289, p. 123-126.
- Eiserich J.P., Hristova M., Cross C.E., Jones A.D., Freeman B.A., Halliwell B. Formation of nitric oxide-derived inflammatory oxidants by myeloperoxidase in neutrophils. Nature, 1998, 391, p. 393-397.
- Esh T., Stefano G.B., Fricchione G.L., Benson H. Stress-related diseases – a potential role for nitric oxide. Med. Sci. Monit., 2002, 8, 6, p. 103–118.
- Fiori L.M., Turecki G. Implication of the polyamine system in mental disorders. J Psychiatry Neurosci., 2008, 33, 2, p. 102-110.
- Foxton R.H., Land J.M., Heals S.J.R. Tetrahydrobiopterin availability in Parkinson’s and Alcheimer’s disease; potential pathogenic mechanisms. Neurochem. Res.., 2007, 32, 4-5, p. 751–756.
- Gagnon C., Leblond F.A., Filep J.G. Peroxynitrite production by human neutrophils, monocytes, lymphocytes challenged by lipopolysaccharide. FEBS Lett., 1998, 431, 1, p. 107-110.
- Greenberg S. S., Ouyang J., Zhao X., Giles T. D. Human and rat neutrophils constitutively express neural nitric oxide synthase mRNA. Nitric Oxide, 1998, 2, p. 203-207.
- Guilivi C. Mitochondria as generators and targets of nitric oxide. Novaris Found Symp., 2007, 287, p. 92-100.
- Gulati K., Chakraborati A., Ray A. Modulation of stress-induced neurobehavioral changes and brain oxidative injury by nitric oxide mimetics in rats. Behav. Brain Res., 2007, 183, 2, p. 226-230.
- Halaris A., Plietz J. Agmatine: metabolic pathway and spectrum of activity in brain. CNS drugs, 2007, 21, 11, p. 885-900.
- Hammerman R., Bliesener N., Messner N., Klasen S., Wiesinger H, Wessler I., Racke K. Inability of rat alveolar macrophages to recycle L-citrulline to L-arginine despite induction of argininosuccinate synthetase mRNA and protein, and inhibition of nitric oxide synthesis by exogenous L-citrunile. Naunyn-Schmideberg’s Archives Pharmacol., 1998, 358, 6, p. 601-607.
- Koob G.F. Animal models of depression (Eds. G.F. Koob, C.L. Ehlers, D.J. Kupfer) 1990, Birkhauser, Boston-Basel-Berlin.
- Lowry O.H., Rosebrough N.J., Farr A.L., Randall R.J. Protein measurement with the Folin phenol reagent. J. Biol. Chem., 1951, 193, p. 265-275.
- Moeslinger T., Friedl R., Volf I., Brunner M., Baran H., Koller E., Spieckermann P.G. Urea induces macrophages proliferation by inhibition of inducible nitric oxide synthesis. Kidney Int., 1999, 56, 2, p. 581-588.
- Murphy M.P. Nitric oxide and cell death. Biochem. Biophys. Acta. 1999, 1411, p. 401-414.
- Peral M.J., Garcia-Delgado M., Calonge M.L., Duran J.M., De La Horra M.C. Human, rat and chicken small intestinal Na+ - Cl- -creatine transporter: functional, molecular characterization and localization. J Physiol., 2002, 545(Pt 1), p. 133-144.
- Rezin G.T., Amboni G., Zugno A.I., Quevedo J., Streck E.L. Mitochondrial dysfunction and psychiatric disorder. Neurochem. Res., 2009, 34, p. 1021-1029.
- Schmidt H.H.W., Hoffman H., Schindler U., Shutenko Z.S. Production of nitrogen derivatives by nitric oxide synthase. Proc. Nutl. Acad. Sci. USA, 1996, 93, p. 14492-14497.
- Tracey W.R., Linden J., Peach M.J., Johns R.A. Comparison of spectrophotometric and biological assays for nitric oxide and endothelium-derived relaxing factor: non-specificity of the diazotization reaction for NO and failure to detect EDRF. J. Farm. Exp. Ther., 1989, 252, 3, p. 922-928.
- Walzel B., Speer O., Zanolla E., Eriksson O., Bernardi P., Wallimann T. Novel mitochondrial creatine transport activity. J. Biol. Chem., 2002, 277, 40, p. 37503 - 37511.
- Wallerath T., Gath I., Aulitzky W.E., Pollock J.S., Kleinert H., Forstermann U. Identification of the NO synthase isoforms expressed in human neutrophil granulocytes, megakaryocytes and platelets. Thromb. Haemost., 1997, 77, p. 163-167.
- Wang D., An S.-C., Zhang X. Prevention of chronic stress-induced depression-like behavior by inducible nitric oxide inhibitor. J. Neurosci. Lett., 2008, 433, p. 59-64.
- Wang Y., Marsden P.A. Nitric oxide synthases: Gene structure and regulation. Adv. Pharmacol., 1995, 34, p. 71-90.
- Wu G., Morris S.M. Arginine metabolism: nitric oxide and beyond. Biochem. J., 1998, 336, p. 1-17.
- Yanik M., Vural H., Tutkun H., Zoroglu S.S. The role of the arginine-nitric oxide pathway in the pathogenesis of bipolar affective disorder. Eur. Arch. Psychiatry Clin Neurosci. 2004, 254, p. 43-47.
- Zhang Z., Naughton D., Winyard P.G., Benjamin N., Blake D.R. Generation of nitric oxide by nitrite reductase activity of xantine oxidase. A potential pathway for nitric oxide formation in the absence of nitric oxide synthase activity. Biochem. Biophys. Res. Commun., 1998, 249, 3, p. 767-772.
- Zhou Q.-G., Hu Y., Hua Y., Hu M., Luo C.-X., Han X., Zhu X.-J., Wang B. Neuronal nitric oxide synthase contributes to chronic stress-induced depression by suppressing hippocampal neurogenesis. J. Neurochem., 2007, 103, p. 1843-1854.
25.04.2011 Читайте также
Ключевые слова: фторхинолоны, ципрофлоксацин, новорожденный, хинолоновая артропатия,педиатрия
Несмотря на большие успехи в создании высокоэффективных антибактериальных препаратов, лечение тяжелых форм бактериальных инфекций...
29.04.2011 Ключевые слова: логопедия, афазия, восстановление, речь
Афазия – одна из старейших и интереснейших проблем медицины, психологии и специальной педагогики. Еще в 1874г. известный невропатолог и психиатр А.Я.Кожевников отмечал: “Болезненное расстройство речи...
28.04.2011 Ключевые слова: моноциты периферической крови человека, Toll-like рецепторы (TLR1, TLR2), NOD-like рецепторы (NOD1, NOD2), IL-10, IL-1Я, MDP (мурамил-дипептид), PGN (пептидогликан из E.coli), Pam3CSK4 (синтетический бактериальный липопротеин)
Под понятием “иммунитет” часто понимают защиту организма от инфекции. Однако в более широком биологическом смысле – это реакция организма на все биологическое “чужеродное”...
27.04.2011 Key words: ovariectomy, parathyroidectomy, hippocampus, neuronal spike activity, excitatory and inhibitory responses
There is increasing evidence that estrogen and calcium ion are involved in learning and memory [29] and bilateral ovariectomy increases risk of cognitive impairment or dementia...
26.04.2011 Ключевые слова: “Диабефит”, сердечно-сосудистая система, эмоционально-звуковой стресс
В наших предыдущих исследованиях [1-7] изучалось влияние фитопрепарата базилика лимонного (Ocemum basilicum L. v.citrol), выращенного гидропонным способом и содержащего значительное количество йода [1-3]...
22.04.2011 Ключевые слова: инфаркт миокарда,правый желудочек, эхокардиография, трикуспидальный клапан,прогноз
До недавнего времени функция правого желудочка (ПЖ) изучалась недостаточно,поскольку ему придавалась второстепенная роль в развитии таких патологий сердечно-сосудистой системы...
21.04.2011 Key words: ischemic stroke, inflammatory mediators, postischemic inflammatory response
Stroke is the third most prevalent cause of death and disability worldwide. Ischemic stroke (IS) accounts for 80% of all strokes, 70% of all acute cerebrovascular diseases, and is the most frequent acute neurological disorder...
20.04.2011 Ключевые слова: нестабильная стенокардия, маркеры, синергизм
В патогенезе нестабильной стенокардии (НС), как проявления острого коронарного синдрома без подъема сегмента ST (ОКС БП ST), основные изменения, характеризующие нестабильность атеросклеротической бляшки...
19.04.2011 Ключевые слова: метотрексат, гомоцистеин, сердечно-сосудистые заболевания
В настоящее время к категории “базисные противоревматические препараты” относятся лекарственные средства, обладающие определенным комплексом общих свойств: медленное...
18.04.2011 Ключевые слова: цифровая видеоэндоскопия, NBI-диагностика, хронические дуодениты
Диагностика заболеваний двенадцатиперстной кишки прежде всего основывается на эндоскопическом методе. При этом эндоскопическая картина дуоденитов по-прежнему базируется на субъективном восприятии визуальной картины при обычном режиме освещенности слизистой оболочки кишки...
15.04.2011 Ключевые слова: доброкачественная гиперплазия предстательной железы, трансуретральная резекция предстательной железы, показатели гемостаза, ДВС-синдром
Доброкачественная гиперплазия предстательной железы (ДГПЖ) является одной из наиболее распространенных заболеваний мужчин пожилого и старческого возраста...
14.04.2011 Ключевые слова: организация здравоохранения, офтальмологическая помощь, дети, модель, скрининг, заболевания глаз, гигиена зрения
Главная цель системы здравоохранения на современном уровне– реализация государственной политики по обеспечению гарантий населению на доступную...
13.04.2011
Warning: mysqli::query(): (HY000/1): Can't create/write to file '/var/tmp/MYJZ3cCF' (Errcode: 28 - No space left on device) in /sites/med-practic.com/classes/DatabaseManager_2.1.php on line 1381
Fatal error: Uncaught Error: Call to a member function fetch_assoc() on bool in /sites/med-practic.com/classes/DatabaseManager_2.1.php:1384 Stack trace: #0 /sites/med-practic.com/classes/article_class.php(102): TableManager->querySelectClassic('SELECT a.id, a....', Array) #1 /sites/med-practic.com/includes/include_footer_amen_kard_hod.php(5): Article->SelectAmenakardacvatsArticles(2) #2 /sites/med-practic.com/includes/include_bottom.php(9): require_once('/sites/med-prac...') #3 /sites/med-practic.com/bottom.php(7): require_once('/sites/med-prac...') #4 /sites/med-practic.com/article_more.php(151): require_once('/sites/med-prac...') #5 {main} thrown in /sites/med-practic.com/classes/DatabaseManager_2.1.php on line 1384















Научная медицина
Болезни
Традиционная медицина
Здоровый образ жизни
Косметология
Медицинское право
Алгоритмы, тесты
Цифры, факты, случаи
Историческая хроника
Афоризмы
Карьерная лестница
Дети
Женщина
Мужчина
Рейтинговая система



