Медицинская наука Армении 2.2010
Сдвиги интегральных показателей активности регуляторных механизмов ритма сердца учащихся Ирана в динамике учебной нагрузки
Ключевые слова: вариабельность сердечного ритма, учебная нагрузка, индекс напряжения, утомление, уровень тревожности, адаптация, кардиоинтервалы
В современной социально-экономической ситуации проблема адаптации различных возрастных категорий школьников в обществе приобретает все большую актуальность. Анализ показателей здоровья подростков 9-11-х классов общеобразовательных школ и гимназий свидетельствует, что адаптация старшеклассников к учебным нагрузкам и успешность обучения достигаются чрезмерным напряжением функциональных систем организма, что нередко становится причиной появления функциональных расстройств и формирования патологии [1-4]. Отрицательно влияют на здоровье школьников повышенные учебные нагрузки, социальные и психологические факторы, нерациональное питание, недостаточная продолжительность сна, низкая физическая активность. Немаловажное значение играет также широкое внедрение в учебный процесс новых информационных технологий, Интернета, интерактивных средств обучения и др. Большинство школьников значительно превышают допустимые нормы просмотра телевизионных программ и работы на компьютере [7,10,11]. Однако самым существенным по силе и продолжительности воздействия на физическое и психическое здоровье школьников фактором является процесс обучения. Несмотря на большое количество публикаций по вопросам адаптации и дезадаптации подростков к учебной нагрузке, многие аспекты этих процессов еще недостаточно изучены. Особенно это касается школьников стран Востока, на психофизиологических показателях которых сказывается национальный менталитет, гендерная дифференциация и религиозные предубеждения. Традиционно в качестве вегетативных коррелятов интеллектуального, умственного и психоэмоционального напряжения ранее использовались два основных параметра деятельности сердечно-сосудистой системы – частота сердечных сокращений (ЧСС) и величина артериального давления (АД). В настоящее время, с внедрением в практическую кардиологию метода математического анализа вариабельности сердечного ритма (ВСР), стало возможным оценивать роль симпатического и парасимпатического контуров в регуляции процессов в организме. Адаптация к учебному процессу обусловлена взаимодействием двух групп факторов: внешних и внутренних. К внешним факторам относятся информационная насыщенность учебного процесса, особенности режима дня, бытовые условия; к внутренним – функциональное состояние ЦНС[1,6,13]. В связи с этим методом вариационной пульсометрии Р.М.Баевского проведено исследование сдвигов некоторых функциональных показателей учащихся 10-го класса (16 лет) г.Сари (Иран) в норме и динамике однодневной, недельной и годовой учебных нагрузок.
Материал и методы
В исследовании приняло участие 40 абсолютно здоровых подростков, обучающихся в 10-х классах школ одаренных мальчиков(20 человек) и одаренных девочек(20человек) города Сари. Это инновационные учреждения, в которых образовательный процесс характеризуется высокой учебной нагрузкой и интенсификацией умственной деятельности. В связи с этим сохранение и укрепление здоровья одаренных детей являются государственной проблемой. Для получения объективных данных испытуемые были отобраны на добровольной основе и заранее информированы о существе проводимых исследований. Обследования проводились 2 раза в день – до начала уроков и после их окончания; 2 раза в неделю – в субботу и четверг (по европейскому календарю – понедельник и субботу); 3 раза в год – в октябре, декабре, мае, т.е. в периоды, отдаленные от экзаменов и каникул, когда влияние учебной нагрузки на организм подростка выражено в большей степени, чем других факторов. Предварительно осуществлялось психологическое тестирование испытуемых с выявлением уровня тревожности по Спилбергеру (УТ), по специальной тест-анкете определялся уровень самооценки последних. Регистрация электрокардиограммы (ЭКГ) учащихся осуществлялась в 1-м стандартном отведении на Pentium 4, в математическом блоке которого полученные кардиоинтервалограммы анализировались методом вариационной пульсометрии Р.М.Баевского и выдавался ряд показателей, характеризующих статистические, гистографические, автокорреляционные и спектральные параметры динамики ритма сердца. Вычислялись: Мо–мода (показатель активности гуморальных механизмов); АМо – амплитуда моды (активность симпатического контура ВНС); DC–вариационный размах (уровень активации парасимпатического звена ВНС); Vk – коэффициент вариации кардиоинтервалов; R-R среднее; R-R максимальное; R-R минимальное; ИН – индекс напряжения регуляторных систем, отражающий степень централизации управления сердечным ритмом; ИВР – индекс вегетативного равновесия; ВПР – вегетативный показатель ритма; ПАПР – показатель адекватности процессов регуляции.
Все полученные данные подвергнуты статистической обработке по программе “Биостат”. Достоверность различий средних значений определялась по критерию Стьюдента.
Результаты и обсуждение
Изучение гендерно-возрастных параметров активности сердечного ритма учеников 10-го класса в динамике учебной нагрузки показало, что в начале учебного года отмечается относительно более благоприятное функциональное состояние сердца по показателям кардиоритмографии у девочек (ИН=97.74±8.90 усл.ед.), по сравнению с мальчиками (ИН=116.80±9.64усл.ед.). При этом мальчики-подростки в состоянии физиологической нормы характеризовались более высоким показателем УТ и высоким, по сравнению с девочками, уровнем самооценки. Достоверная положительная корреляция между ИН и уровнем личностной тревожности по опроснику Спилбергера в условиях относительного покоя была установлена также в работах ряда авторов[7,11,13]. Высокотревожные испытуемые при этом отличались от низкотревожных отчетливо выраженной редукцией дыхательных модуляций.
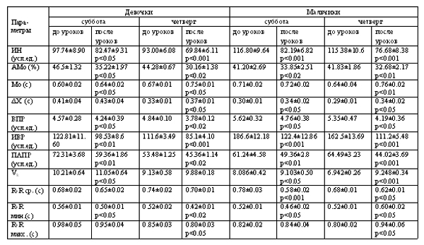
Как свидетельствует анализ полученных данных (табл.1), к концу учебного дня как у мальчиков, так и у девочек отмечались существенные сдвиги изученных показателей по сравнению с состоянием относительного покоя. В группе девочек к концу учебного дня в субботу наблюдалось достоверное понижение ИН на 15.7% (p‹0.05), обусловленное ослаблением активности симпатического контура регуляции (АМо) на 24.3 % (p‹0.05), при повышении влияния гуморального и парасимпатического звеньев на 6.66 % (p‹0.05) и 4.31% соответственно. Последнее сопровождалось понижением ВПР, ПАПР, ИВР на 7.3%; 18,12% (p‹0.01); 19.8% (p‹0.01). При анализе изменений наблюдаемых в той же группе испытуемых под воздействием учебной нагрузки в четверг отмечены более выраженные сдвиги исследованных интегральных показателей ритма сердца. Как видно из табл.1, в четверг значения Мо и DC повышались на 11.9% (p‹0.01) и 12.3% (p‹0.01). Выраженным было и понижение ИН, составляющее 25.0% (p‹0.001), обусловленное падением активности симпатического контура регуляции на 31.9% (p‹0.001). Значения ВПР, ПАПР, ИВР при этом понижались соответственно на 22.0% (p‹0.02); 15.2% (p‹0.05); 23.8% (p‹0.001). Подтверждением наблюдаемых сдвигов являлось и повышение в конце учебной недели коэффициента вариации кардиоинтервалов.
Таблица 1
Изменение показателей сердечного ритма учащихся 10-го класса (16 лет) г. Сари в динамике однодневной и недельной учебных нагрузок
В данном временном диапазоне исследований аналогичные сдвиги интегральных показателей ритма сердца под воздействием учебной нагрузки наблюдались и у испытуемых мальчиков. Однако в отличие от девочек, последние, как в субботу, так и в четверг, имели более выраженный характер (табл.1). Так, в конце учебного дня в субботу у мальчиков наблюдалось понижение уровней ИН, АМо, ВПР, ИВР, ПАПР соответственно на 29.7%(p‹0.001); 17.9%(p‹0.02); 15.4%(p‹0.05); 34.5%(p‹0.001); 19.4%(p‹0.01). Наблюдаемые сдвиги свидетельствуют о смещении вегетативного баланса в сторону доминирования парасимпатического контура ВНС, ослаблении модулирующего влияния гипоталамуса, децентрализации процессов регуляции сердечного ритма [1,2,6]. Свидетельством падения симпатического тонуса ВНС являлось также некоторое повышение активности гуморального и парасимпатического контуров регуляции (Мо,DC). На понижение активности симпатических механизмов указывает и наблюдаемое по оканчании уроков повышение коэффициента вариации кардиоинтервалов на 12.6% (p‹0.05). Аналогичные сдвиги, однако значительно более выраженные, наблюдались у мальчиков после уроков в четверг. Следует отметить, что утренние показатели ИН и АМо, регистрируемые до начала занятий в субботу и четверг, незначительно отличались друг от друга, что, по всей вероятности, обусловлено некоторым восстановлением активности регуляторных механизмов после ночного отдыха. Однако после окончания учебного дня в четверг уровни ИН и АМо понижались на 33.6% (p‹0.001) и 21.9% (p‹0.05) соответственно (при 29.7% и 17.9% в понедельник). Сдвиги ВПР, ИВР, ПАПР составляли соответственно 21.7%(p‹0.05); 31.6%(p‹0.001); 31.8%(p‹0.001). Подтверждением последних изменений являлось повышение вариабельности кардиоинтервалов (Vk) на 33.1%(p‹0.001), а также активности парасимпатических и гуморальных механизмов регуляции сердечного ритма (табл.1).
Изменения, наблюдаемые под воздействием однодневной учебной нагрузки (понижение ИН, АМо, ВПР, ИВР, ПАПР, повышение Мо, ΔX, Vk), свидетельствуют о децентрализации процессов регуляции сердечного ритма, преобладании парасимпатического тонуса ВНС в пределах автономного контура регуляции сердечного ритма, усилении гуморально-метаболических влияний[4,6,9]. Последнее является результатом развивающегося под воздействием учебной нагрузки утомления. Более выраженные сдвиги изученных показателей, наблюдаемые после занятий в конце учебной недели, могут быть следствием кумуляции утомления в динамике недельной учебной нагрузки [8,12]. Об этом свидетельствует и наблюдаемое в конце учебного дня и недели повышение на скатерграммах дисперсии ”авторегрессионного облака”, увеличение спектра высоко- и среднечастотных волн, амплитуды колебаний R-R интервалов вокруг их среднего значения на ритмограммах. О доминировании холинэргических механизмов регуляции свидетельствуют и наблюдаемая в большинстве регистраций синусовая аритмия, и выраженность на спектрограммах дыхательных волн.
Согласно данным Домахиной Г.М., в конце рабочей недели в организме человека уменьшается число достоверных корреляционных связей между различными функциональными системами, что свидетельствует о развивающемся утомлении[5].
Понижение умственной работоспособности и развитие выраженного утомления к концу учебного дня и учебной недели наблюдали также ряд других авторов [1,3,5, 10].
Математический анализ динамики статистических показателей позволил выявить периоды наибольшего напряжения систем регуляции сердечного ритма учащихся при годовой учебной нагрузке (в октябре, декабре и мае). Самый высокий уровень ИН был зарегистрирован в начале учебного года, т.е. в октябре и составлял у мальчиков 117.64±8.72 усл.ед., а у девочек – 98.82±7.60 усл.ед. (табл.2). Высокие значения ИН, АМо, ИВР, ПАПР, ВПР, относительно низкий уровень коэффициента вариации (Vk), а также слабая активность гуморального и парасимпатического контуров регуляции (Мо,ΔX) в октябре, свидетельствуют о повышенной симпатической активности в пределах автономного контура регуляции сердечного ритма. Последнее, по всей вероятности, обусловлено тем, что адаптация физиологических систем организма к учебной нагрузке после летних каникул дается путем напряжения регуляторных механизмов. При этом необходимо отметить, что в обеих половых группах в течение всего периода исследований (октябрь-май) центральный контур регуляции был ведущим. Однако сдвиги активности симпатического отдела ВНС и центрального контура регуляции были больше выражены у мальчиков, что свидетельствует о том, что девочки более усидчивы и легче адаптируются к систематическим учебным нагрузкам.
В декабре наблюдалось некоторое ослабление активности центрального контура регуляции сердечного ритма, что проявлялось в уменьшении ИН на 6.5% у девочек и на 9.9% (p‹0.05) у мальчиков. Последнее как у девочек, так и у мальчиков было обусловлено незначительным уменьшением от начала к середине учебного года активности маркера симпатической нервной системы АМо, а также повышением активности гуморальных и парасимпатических механизмов регуляции на 8.3% (p‹0.05) и 6.7% (p‹0.05) у девочек, 10.8% (p‹0.05) и 25.0% (p‹0.001) у мальчиков. Подтверждением наблюдаемых сдвигов являлось также увеличение Vk в обеих исследованных группах на 38.2% (p‹0.001) и 19.0% (p‹0.05) соответственно, а также повышение значений R-R ср., R-R мин., R-R макс. Преобладание активности парасимпатических механизмов регуляции сердечного ритма, наблюдаемое в декабре, свидетельствует о развивающемся под воздействием учебной
Таблица 2
Изменение показателей сердечного ритма учащихся 10-го класса (16 лет) г. Сари в динамике учебного года
нагрузки утомлении, более выраженном у мальчиков. На скатерграммах испытуемых в указанный срок наблюдалось повышение дисперсии авторегрессионного облака, увеличивалась мощность высокочастотных волн и дыхательных компонентов на спектрограммах, что также подтверждает преобладание активности сегментарных структур в управлении сердечным ритмом.
Несмотря на развивающееся в динамике учебной нагрузки утомление в мае наблюдается некоторое повышение маркеров симпатической нервной системы (ИН,АМо) и ослабление активности гуморального и парасимпатического контуров регуляции сердечного ритма (табл.2), которые, однако, не достигают исходного уровня (октябрьского). Последнее, по всей вероятности, обусловлено весенним периодом, нейроэндокринными перестройками в организме подростков и приближающимися экзаменами, требующими интеллектуального и психологического напряжения. Аналогичная динамика показателей сердечного ритма в течение учебного года наблюдалась и в исследованиях Псеунка А.А.[9]. Корниенко И.А., исследуя активность симпатоадреналовой системы старшеклассников, к концу учебного года также наблюдал напряжение ее резервных возможностей [6].
Таким образом, на основании полученных результатов можно заключить, что в течение учебного дня, недели и года наблюдается нарастание функционального напряжения и утомления учащихся школ одаренных детей г.Сари, особенно мальчиков. В связи с этим для повышения адаптационных возможностей учащихся, предотвращения процессов психоэмоционального напряжения и развития утомления в процессе обучения необходим пересмотр содержания и методик образовательных программ в соответствии с морфофункциональными возрастными особенностями организма школьников.
Поступила 19.04.10
Литература
- Артеменков А.А. Изменения вегетативных функций у студентов при адаптации к умственным нагрузкам. Гигиена детей и подростков, 2007, 2,с. 62-64.
- Баевский Р.М., Берсенева А.П. Оценка адаптационных возможностей организма и риск развития заболеваний. М., 1997.
- Бурханов А.И., Хорошева Т.А. Состояние здоровья учащихся школ различного профиля. Гигиена и санитария, 2006, 3,с.58-61.
- Гребняк Н.П, Щудро С.А. Адаптация старшеклассников к обучению. Гигиена и санитария, 2008, 1,с.55-58.
- Домахина Г.М. Оценка функционального состояния организма при умственной и физической деятельности по некоторым вегетативным показателям и электролитам слюны. Автореф. дис... к.м.н., 1980.
- Корниенко И.А. Адаптация организма подростков к учебной нагрузке. М.,1987.
- Кривопалчук И.А.Зависимость стрессовой реактивности подростков при напряженной информационной нагрузке от уровня мотивации.Сб. мат. II Конгресса РОШУМЗ, М., 2010, с.313-315.
- Панкова Н.Б., Надоров С.А., Карганов М.Ю. Анализ вариабельности сердечного ритма и артериального давления при разных функциональных пробах у женщин и мужчин. Физиология человека,2008, т.34, 4, с.64-72.
- Псеунок А.А. Оценка адекватности учебных и физических нагрузок с учетом возрастно-половых особенностей школьников 5-6 классов. Вестник Адыгейского гос.ун-та, 2009, 1, с.78-83.
- Степанова М.И., Сазанюк З.И. Гигиенические проблемы использования новых технических средств обучения. Сб.мат.II Конгресса Рос.общ-ва школьной и ун-ской медицины и здоровья, 2010, М., с.585-588.
- Степанова Н.В., Валеева Э.Р. Оценка психического здоровья учащихся гимназий и общеобразовательных школ. Сб.мат.II Конгресса Рос.общ-ва школьной и ун-ской медицины и здоровья, 2010, М., с.591-593.
- Степанова М.И., Куинджи Н.Н.,Ильин А.Г. и др. Гигиенические проблемы реформирования школьного образования. Гигиена и санитария, 2000,1, с.40-44.
- Тарасова О.Л. Особенности психофизиологической адаптации к учебной деятельности у подростков с различным типом вегетативной регуляции. Автореф. дис... к.м.н.,Томск,1998.
16.07.2010 Читайте также
Ключевые слова: гипокинезия, митохондриальная дисфункция, энергетический обмен, фармакологическая коррекция
Многочисленные исследования, направленные на изучение функциональных изменений в организме при различных его состояниях, установили четкую взаимосвязь между ростом степени...
30.07.2010 Key words. LP-X, molecular structure, composition, properties, pathogenicity.
Structure and Molecular Composition of Lipoprotein X
Lipoprotein X (LP-X) is an abnormal serum lipoprotein originating in several diseased conditions. It is a sub-fraction of low density lipoproteins (LDL), which does not react with antiserum against normal serum [86, 105]...
29.07.2010 Ключевые слова: металлопротеины, активность, клеточные формирования, крысы (самки, самцы)
Состояние регуляторных систем метаболических путей, включая метаболизм активных форм кислорода (АФК) у крыс-самок и самцов, существенно отличается в норме...
28.07.2010 Ключевые слова: йодметилат 2-(диметиламино) этилового эфира N -бензоил -DL-валина, гемисекция, мотонейроны, спинной мозг, фоновая активность, программный анализ, скользящая частота, сериальные гистограммы, межимпульсные интервалы
МНа данном историческом этапе проблема состояния восстановительных процессов при повреждениях спинного мозга (СМ) у млекопитающих при воздействии различных биологически активных препаратов является одним из актуальнейших вопросов современной биологии и медицины [1,2]...
27.07.2010 Ключевые слова: ротенон, модель экспериментального паркинсонизма, спинной мозг, мотонейроны, нейродегенерация
Болезнь Паркинсона (БП) – это комплексное деструктивное нейродегенеративное заболевание, которое ежегодно диагностируется у 1% населения земного шара в возрасте старше 65 лет...
26.07.2010 Ключевые слова: болезнь Альцгеймера, ядро Мейнерта, бета-амилоидный пептид, паратиреоидный гормон
Болезнь Альцгеймера (БА) является самой частой формой деменции у пожилых. Недавние оценки полагают, что она поразила приблизительно 25 миллионов индивидуумов во всем мире [15]...
23.07.2010 Ключевые слова: туберкулез, множество органов, выявления, учет
В связи с ухудшением эпидемиологической ситуации по туберкулезу в последние два десятилетия отмечается не только рост общей заболеваемости и смертности...
22.07.2010 Ключевые слова: хронический неспецифический сальпингоофорит, нормогонадотропнaя овариальнaя недостаточность, интактный механизм положительной обратной связи
Частота нарушений менструального цикла и эндокринного бесплодия у женщин, страдающих хроническим сальпингоофоритом, колеблется, по данным различных авторов, от 40 до 92,4% [1, 4, 6]...
21.07.2010 Ключевые слова: аутоиммунный полигландулярный синдром типа 3, сахарный диабет типа 1, аутоиммунный тиреоидит, диффузный токсический зоб, аутоиммунная офтальмопатия
Аутоиммунный полигландулярный синдром типа 3 (АПС типа 3) характеризуeтся ассоциацией аутоиммунных заболеваний щитовидной железы (АЗЩЖ) с другими аутоиммунными болезнями...
20.07.2010 Ключевые слова: сахарный диабет типа 2, тиреоидная патология, новообразования щитовидной железы, кардиальные болезни
В последние годы опубликован ряд исследовательских работ, посвященных состоянию щитовидной железы у больных сахарным диабетом (СД) типа 2 [8,12,20,21]...
19.07.2010
Warning: mysqli::query(): (HY000/1): Can't create/write to file '/var/tmp/MYPL6o6t' (Errcode: 28 - No space left on device) in /sites/med-practic.com/classes/DatabaseManager_2.1.php on line 1381
Fatal error: Uncaught Error: Call to a member function fetch_assoc() on bool in /sites/med-practic.com/classes/DatabaseManager_2.1.php:1384 Stack trace: #0 /sites/med-practic.com/classes/article_class.php(102): TableManager->querySelectClassic('SELECT a.id, a....', Array) #1 /sites/med-practic.com/includes/include_footer_amen_kard_hod.php(5): Article->SelectAmenakardacvatsArticles(2) #2 /sites/med-practic.com/includes/include_bottom.php(9): require_once('/sites/med-prac...') #3 /sites/med-practic.com/bottom.php(7): require_once('/sites/med-prac...') #4 /sites/med-practic.com/article_more.php(151): require_once('/sites/med-prac...') #5 {main} thrown in /sites/med-practic.com/classes/DatabaseManager_2.1.php on line 1384















Научная медицина
Болезни
Традиционная медицина
Здоровый образ жизни
Косметология
Медицинское право
Алгоритмы, тесты
Цифры, факты, случаи
Историческая хроника
Афоризмы
Карьерная лестница
Дети
Женщина
Мужчина
Рейтинговая система

