Медицинский Вестник Эребуни 4.2011 (48)
Роль цитокинов в патогенезе миомы матки в предоперационном и послеоперационном периоде
Ключевые слова: миома матки, экстирпация матки, воспалительные процессы, цитокины
Введение.Одним из наиболее распространенных заболеваний женских половых органов является миома матки, которая встречается чаще всего у женщин в возрасте от 30-40 лет и диагностируется в 60% случаев [1,4,12].
Миома представляет собой доброкачественную, хорошо отграниченную капсулированную опухоль, источником которой являются гладкомышечные клетки шейки или тела матки. Причины миом матки до сих пор остаются спорными. Однако есть некоторые факторы, которые способствуют их возникновению: аборты, нарушение менструальной функции, аденомиоз, эндометрит, миометрит, дисгормональные нарушения, осложненные роды, наследственная предрасположенность, анемия, ожирение, а также наблюдается тенденция увеличения частоты выявления миомы матки у женщин, поздно начавших половую жизнь (24-27 лет) и живущих ею не регулярно. В преморбидном фоне больных миомой матки относительно велика частота соматических заболеваний. Чаще миома матки выявляется у женщин умственного труда, связанного с частым эмоциональным перенапряжением, малоподвижным образом жизни. Учитывая специфику заболевания, признаки миомы матки могут быть очень разнообразными. Ос-новными симптомами являются: нарушение менструального цикла, в том числе кровотечения или мажущие выделения; тазовые боли, отдающие в поясницу или область крестца [1-4,11,12].
Вопросы патогенеза миомы матки и эндометриоза остаются предметом многочисленных научных исследований. Развитие молекулярной биологии, медицинской генетики, клинической иммунологии позволило доказать наличие генетических, гормональных и иммунологических нарушений в патогенезе миомы матки, аденомиоза и гиперпластических процессов эндометрия. Установлено, что в модуляции активности эндо- и миометрия, помимо гормонов, могут играть роль другие биологически активные соединения, осуществляющие ауто-паракринную регуляцию клеточного роста, такие как полипептидные факторы роста и цитокины [8,11,22].
В последние годы отмечена тенденция к увеличению заболеваемости и омоложению миомы матки и эндометриоза. Так, сегодня миома матки, по данным уточненного исследования, выявляется почти у 75 % женщин репродуктивного возраста, а средний возраст женщин при выявлении миомы составляет 32,8±0,47 лет [5,9]. По данным Американского общества фертильности, за последние 10 лет около 50 % больных неоднократно посещают врача, при этом 20 % посещений врача женщинами до 23 лет приходится на эндометриоз [14].
Вопрос лечения миомы матки до настоящего времени остается наиболее трудным и дискута-бельным [13,17,21]. Выбор метода лечения определяется множеством факторов, в частности, особенностями патогенеза заболевания, формой и темпом роста опухоли, возрастом больной, отсутствием или наличием детей у женщины и т.д. Основной задачей терапии является либо удаление опухоли (хирургическое лечение), либо торможение опухолевого роста и регресс новообразования (консервативное лечение). Гормонотерапия имеет множество побочных эффектов, маскирует мелкие узлы миомы во время операции, носит временный эффект и при отмене препарата возобновляется рост и рецидив опухоли. Хирургическое лечение является наиболее эффективным методом лечения миомы матки, который заключается либо в энуклеации узлов, либо в удалении тела или всей матки. К сожалению, до настоящего времени от 60 до 96% всех хирургических вмешательств у больных с миомой матки приходится на радикальные операции, приводящие к потере репродуктивной и менструальной функции, при этом большую группу оперируемых пациенток составляют женщины репродуктивного периода. Таким образом, очевидно, что миома матки представляет огромную угрозу современному обществу, являясь одной из важнейших и требующих безотлагательного решения проблем здравоохранения и социально-экономической сферы. Молекулярные основы патогенеза развития миомы матки, несмотря на высокую частоту встречаемости, остаются дискутабельными и малоизученными.
Ряд исследований свидетельствует, что патофизиологические процессы, развивающиеся при миоме матки, в частности, затрагивают иммунную систему организма. Имеющиеся литературные данные свидетельствуют о том, что развитие миомы матки происходит на фоне изменения иммунного ответа, при этом большинство работ отражает изменения преимущественно системного иммунного ответа у женщин с миомой матки [2,3,6,7,15,18]. Однако четких представлений о молекулярных механизмах, лежащих в основе этих нарушений, до настоящего времени не существует. Учитывая тот факт, что в последнее время миома матки и аденомиоз все чаще диагностируются у женщин активного репродуктивного возраста, актуальной проблемой современной гинекологии становится разработка консервативных методов лечения этих заболеваний, одновременно являющихся эффективными в отношении клинических проявлений и позволяющих сохранить репродуктивную функцию больных.
Целью настоящего исследования явилось изучение влияния экстирпации на состояние иммунной системы у больных миомой матки в раннем послеоперационном периоде.
Материал и методы
В настоящей работе мы исследовали образцы сыворотки крови больных миомой матки (ММ) в предоперационном периоде и в 1-е сутки после операции. Все больные были госпитализированы в Медицинский центр Эребуни МЗ РА с клиникой менометроррагии. Всем женщинам проводилось стандартное клинико-лабораторное обследование и ультразвуковое исследование. Пациентам проводили лапаротомические операции с целью экстирпации матки.
Среднестатистические характеристики исследованных субъектов представлены в таблице 1. В целом исследовали 40 пациенток, более подробная информация о которых представлена в табл. 2. Контрольная группа была представлена практически здоровыми женщинами, без выраженной генитальной и экстрагенитальной патологии. Здоровые добровольцы по крайней мере за 6 месяцев до исследования не принимали никаких лекарств, которые могли подавлять или активировать иммунную систему. У последних были исключены иммунные, сердечно-сосудистые, сосудисто-мозговые, метаболитические, раковые и почечные расстройства, грипп, респираторные и другие заболевания, принятие лекарств, в частности противовоспалительных или противогиста-минных и иммуносупресорных, какое-либо хирургическое вмешательство не менее чем за год до исследования. Исследованные здоровые лица соответствовали больным по возрасту и полу.
Таблица 1
Среднестатистическая характеристика исследованных субъектов
|
Показатель |
Больные |
Здоровые с ММ | |
|
Количество |
40 |
40 |
|
|
Средний возраст, годы (М±σ) |
46±3.1 |
49±4.5 |
|
|
Максимальный возраст, годы |
58 |
60 |
|
|
Минимальный возраст, годы |
35 |
39 |
|
|
Индекс массы тела (ИМТ; n / %)
|
<18.5 |
2/5 |
1/2.5 |
|
18.5-24.9 |
18/45 |
15/37.5 |
|
|
25-29.9 |
16/40 |
15/37.5 |
|
|
30< |
4/10 |
9/22.5 |
|
Образцы крови были взяты из плечевой вены, утром от 9:00 до 10:00 часов, натощак. Кровь хранилась при температуре +40С 30 минут, затем, после свертывания, ее центрифугировали при 3000 g в течение 10 минут, после чего была отделена сыворотка крови. Образцы хранили при –300C и размораживали непосредственно перед использованием.
Таблица 2
Клинико-анамнестическая характеристика обследованных женщин
|
Детородная функция |
n |
% |
|
|
Роды
|
0 |
3 |
7.5 |
|
1-2 |
25 |
62.5 |
|
|
3< |
12 |
30 |
|
|
Аборты |
0 |
19 |
47.5 |
|
1-2 |
15 |
37.5 |
|
|
3< |
6 |
15 |
|
|
Выкидыши |
0 |
32 |
80 |
|
1-2 |
7 |
17.5 |
|
|
3< |
1 |
2.5 |
|
|
Бактериологический анализ мазка |
|
|
|
|
Гарднереллы, +/- |
2/38 |
5/95 |
|
|
Трихомонада, +/- |
0/40 |
0/100 |
|
|
Кандида, +/- |
0/40 |
0/100 |
|
|
Эпителий, зн.кол./неб.кол. |
29/11 |
72.5/27.5 |
|
|
Кокки, +/- |
34/6 |
85/15 |
|
|
Палочки, +/- |
3/37 |
7.5/92.5 |
|
|
Лейкоциты, <5/6-10/11< |
13/18/9 |
32.5/45/22.5 |
|
|
Анализ крови |
(M±m) |
||
|
Гемоглобин, г/л |
112.6±2.5 |
||
|
Эритроцоты, х1012 клеток/л |
3,55±0,1 |
||
|
Лейкоциты, х109 клеток/л |
5.74±0.2 |
||
|
СОЭ, мм/ч |
14.75±1.5 |
||
|
Глюкоза, ммол/л |
5.3±0.1 |
||
|
Фибриноген, мг/дл |
353.2±9.15 |
||
|
Протромбиновый индекс , % |
89.78± 1.1 |
||
|
АПТТ, сек |
32.13±1.6 |
||
|
МНО, сек |
1.228±0.02 |
||
|
Кровяное давление |
|
||
|
Систолическое, мм рт.ст. |
102±0.6 |
||
|
Диастолическое, мм рт.ст. |
63±0.4 |
||
|
Размер матки, нед, см |
10.2±0.3 |
||
|
Размер узлов, см |
5.5±0.3 |
||
Концентрация IL-1β и IL-6 определялась методом иммуноферментного анализа (ИФА) с использованием готовых наборов (Вектор-Бест, Россия) в соответствии с протоколом произ-водителя (табл. 3). Работа выполнялась в лаборатории Макромолекулярных комплексов (зав. лаб. д.б.н., проф. Анна Бояджян) Института молекулярной биологии НАН РА.
Таблица 3
Определение концентрации IL-1β и IL-6
|
Внести по 100 мкл стандарт, калибратор или исследуемый образец в каждую лунку |
|
Инкубировать 2 часа в шейкере при 370 С и 700 об/мин |
|
Промыть промывочным буфером (300мкл), повторить 3 раза |
|
Внести в каждую лунку по 100 мкл рабочего раствора N1. Стрипы закрыть пленкой, поместить в шейкер. Инкубировать 1 час в шейкере при 37° С и 700 об/мин |
| Повторить аспирацию и промывку 3 раза, как при пункте 2 |
|
Внести в каждую лунку по 100 мкл рабочего раствора N2. Стрипы закрыть пленкой, поместить в шейкер. Инкубировать 30 мин в шейкере при 37° С и 700 об/мин |
|
Повторить аспирацию и промывку 3 раза, как при пункте 2 |
|
Внести в каждую лунку по 100 мкл рабочего раствора ТМБ (тетраметилбензидин). Инкубировать 30 мин при комнатной температуре |
|
Внести в каждую лунку по 100 мкл стоп-реагента |
|
Измерить оптическую плотность (ОП) при 450 нм, референс – 650 нм |
Статистическая обработка экспериментальных данных проводилась с помощью тестов U критерий Манна-Уитни, а корреляционный анализ проводился по Спирману, для осуществления которого использовался GraphPad Prism. Значения p≤0.05 были приняты как статистически достоверные.
Результаты и обсуждение.
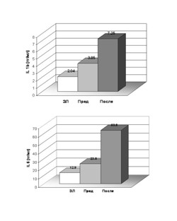
В сыворотке крови вышеотмеченных больных и здоровых лиц были определены концентрации цитокинов IL-1β и IL-6. Результаты этих экспериментов, включая статистический анализ полученных данных, приведены в табл. 4 и на рисунке.

Рисунок. Динамика концентрации IL-1β и IL-6 в сыворотке крови здоровых лиц (ЗЛ) и больных в пред- и послеоперационном периоде
Таблица 4
Показатели цитокинного профиля в группах обследуемых женщин
|
Показатель |
Больные ММ в предоперационном периоде |
Здоровые лица |
Разница |
p< |
||
|
M |
m |
M |
M |
|||
|
IL-1b |
3.85 |
0.2 |
2.04 |
0.08 |
1.9 |
0.05 |
|
IL-6 |
23.8 |
6.05 |
12.9 |
1.6 |
1.85 |
0.005 |
|
Показатель |
Больные ММ в послеоперационном периоде |
Здоровые лица |
Разница |
p< |
||
|
M |
m |
M |
M |
|||
|
IL-1b |
7.25 |
1.7 |
2.04 |
0.08 |
3.55 |
0.003 |
|
IL-6 |
63.8 |
11.2 |
12.9 |
1.6 |
4.95 |
0.001 |
|
Показатель |
Больные ММ в предоперационном периоде |
Больные ММ в послеоперационном периоде |
Разница |
p< |
||
|
M |
m |
M |
M |
|||
|
IL-1b |
3.85 |
0.2 |
7.25 |
1.7 |
1.9 |
0.045 |
|
IL-6 |
23.8 |
6.05 |
63.8 |
11.2 |
2.7 |
0.002 |
Согласно полученным данным, цитокины в крови больных миомой матки повышены по сравнению с нормой как в предоперационном, так и в послеоперационном периоде. При этом общая концентрация цитокинов IL-1β и IL-6 в крови больных миомой матки в предоперационном периоде достоверно повышена соответственно в 1.9 (p
Результаты корреляционного анализа полученных данных выявили статистически досто-верную положительную корреляцию между уровнями IL-1β и IL-6 у больных миомой матки в предоперационном периоде (r=0.5; p
Молекулярные патомеханизмы нарушения иммунного статуса организма при миоме матки и причинно-следственная взаимосвязь между нарушениями этого звена и другими пато-физиологическими процессами, характерными для миомы матки, не ясны. Однако результаты некоторых исследований свидетельствуют, что иммунная система организма играет важную роль в развитии миомы матки [16,17,20,21,23].
Учитывая вышеизложенное, в настоящей работе мы сосредоточили внимание на участии воспалительного процесса в динамике в пред- и раннем послеоперационном периоде больных миомой матки. С этой целью в крови больных миомой матки в предоперационном и в 1-е сутки после операции, а также в крови здоровых лиц мы определили провоспалительные цитокины, а имменно IL-1β и IL-6. Известно, IL-1β является основным компонентом в атерогенном воспалительном ответе в силу активации моноцитов и стимуляции экспрессии молекул адгезии на эндотелиальных клетках, прокоагулянтной активности эндотелиальных клеток и пролиферации клеток гладких мышц [10,19].
При анализе результатов исследования цитокинного профиля в динамике у больных миомой матки были выявлены следующие закономерности: после хирургического вмешательства первичный ответ организма на операционную травму связан с запуском компенсаторной воспалительной реакции клеточного иммунного ответа и выбросом в циркуляцию медиаторов воспаления, главными из которых являются провоспалительные цитокины. На основании вышеизложенного можно предположить, что послеоперационные иммунологические сдвиги по степени выраженности четко коррелируют с тяжестью хирургической агрессии.
Таким образом, очевидно, что выявление функциональных звеньев тех мультикомпонентных, взаиморегулируемых и взаимозависимых молекулярных каскадов, которые непосредственным образом ответственны за генерацию и развитие заболевания, может в значительной степени содействовать разработке действенной восстановительной терапии больных миомой матки после операции, а также идентификации молекулярных маркеров и разработке на этой основе методов, направленных на коррекцию воспалительных процессов в раннем послеоперационном периоде.
Иными словами, направленное применение иммуномодуляторов в целях воздействия на те компоненты иммунной системы организма, которые вовлечены в формирование воспалительных процессов при миоме матки, позволит существенно понизить степень тяжести протекания миомы матки, сократить реабилитационный период после операции и создать благоприятные условия для выздоровления пациентов.
Автор выражает глубокую благодарность и искреннюю признательность своему научному руководителю д.м.н. профессору Г.Г.Окоеву, а также научному консультанту д.б.н. профессору А.С. Бояджян.
Литература
- Аничков Н.М., Печеникова В.А. Сочетание аденомиоза и лейомиомы матки. Архив патологии, 2005, 3, с.31 -34.
- Адамян JI.B., Гаспарян С.А. Генитальный эндометриоз. Современный взгляд на проблему. Ставрополь. СГМА. 2004.
- Бурлев В.А. Волков Н.И., Стыгар Д.А. Клеточная пролиферация, апоптоз и рецепторы к стероидным гормонам у больных с миомой матки. Акушерство и гинекология, 2005, 4, с.23-27.
- Вихляева Е.М., Иценко И.Г., Ходжаева З.С. Клинический эффект неместрана и даназола при перименопаузальных кровотечениях у больных лейомиомой матки. Акушерство и гинекология, 1996, 6, с. 30-35.
- Вихляева Е.М. Руководство по диагностике и лечению лейомиомы матки. М.: МЕДпресс-информ, 2004.
- Дамиров М.М. Аденомиоз. М., 2004.
- Даниленко В.И., Малахов Р.В., Ягубов А.С.Морфология лейомиомы матки. Акушерство и гинекология, 2005, 3, с. 30-32.
- Кулаков, В.И. Адамян Л.В, Аскольская С.И. Гистерэктомия и здоровье женщины. Медицина, 1999.
- Подзолкова, Н.М. Глазкова O.JI. Симптом, синдром, диагноз. Дифференциальная диагностика в гинекологии. М.: ГЭОТАР-Медиа, 2005, с. 117-138.
- Ройт А., Бростофф Дж., Мейл. Иммунология (пер. с англ.), М.: Мир, 2000.
- Солодовникова, Н.Г. Ниаури Д.А. Роль цитокинов в развитии наружного генитального эндо-метриоза. Вестник СПбГУ. 2006, 2, с. 115-122.
- Сметник В.П. Тумилович Л.Г. Неоперативная гинекология: Руководство для врачей. СПб.: СОТИС, 2005.
- Duhan N. Current and emerging treatments for uterine myoma – an update. International Journal of Women’s Health, 2011; 3:231–241.
- Gao X., Outley J., Botteman M., Spalding J., Simon J.A., Pashos C.L. Economic burden of endometriosis. Fertil. Steril., 2006; 86(6):1561-1572.
- Gurates B., Bulun S.E. Endometriosis: the ultimate hormonal disease. Semin. Reprod. Med., 2003; 21(2):125-134.
- Imaizumi E., Hirata J., Tode T., Kikuchi Y., Nagata I. Interleukin-6 production in endometriosis. Nihon Sanka Fujinka Gakkai Zasshi, 1993 May; 45(5):415-22.
- Malik E., Buchweitz O., Mьller-Steinhardt M., Kressin P., Meyhцfer-Malik A., Diedrich K. Prospective evaluation of the systemic immune response following abdominal, vaginal, and laparoscopically assisted vaginal hysterectomy. Surg. Endosc., 2001 May; 15(5):463-6.
- Moutsatsou P., Sekeris C.E. Steroid receptors in the uterus: implications in endometriosis. Ann. N. Y. Acad. Sci., 2003; 997:209-222.
- Saadeddin S.M., Habbab M.A., Ferms G.A. Markers of inflammation and coronaray artery diseaese. Med. Sci. Monit., 2002; 8(1): RA5-12.
- Sikorski R., Kapeć E., Zaleska W. Serum levels of proinflammatory cytokines in women with uterine myomas. Ginekol. Pol., 2001 Dec; 72(12A):1485-1488.
- Verret V., Bevilacqua C., Schwartz-Cornil I., Pelage J.P., Wassef M., Namur J., Bйdouet L., Lewis A.L., Martin P., Laurent A. IL6 and TNF expression in vessels and surrounding tissues after embolization with ibuprofen-loaded beads confirms diffusion of ibuprofen. Eur. J. Pharm. Sci., 2011 Apr 18; 42(5):489-95.
- Wolff L.P., Martins M.R., Bedone A.J., Monteiro I.M. Endometrial evaluation in menopausal women after six months of is flavones. Rev. Assoc. Med. Bras., 2006; 52(6):419-423.
- Xia X., Zhang S., Yu Y., Zhao N., Liu R., Liu K., Chen X. Effects of estrogen replacement therapy on estrogen receptor expression and immunoregulatory cytokine secretion in surgically induced menopausal women. J. Reprod. Immunol., 2009 Jul; 81(1):89-96.
27.01.2012 Читайте также
Ключевые слова: спинальная травма, нервно-мышечное тестирование, антропометрия, двигательная самореабилитация
Введение.Повреждения шейного отдела позвоночника и спинного мозга относятся к категории наиболее тяжелых травм человеческого организма...
26.01.2012
Ключевые слова: спинальная травма, двигательная самореабилитация, двигательные режимы
Введение.По степени сложности в плане восстановления утраченных функций, трудовой и социальной реабилитации повреждения позвоночного столба и спинного мозга занимают лидирующее положение...
25.01.2012 Ключевые слова: вирусный гепатит, хронизация, токсикоз, классификация, гепатит
Одно из ведущих мест по социально-экономической и медицинской значимости среди заболеваний человека занимают вирусные гепатиты (ВГ), составляющие группу кризисных инфекций современности [24]...
24.01.2012 Ключевые слова: двенадцатиперстная кишка, ведение больных
Введение. В настоящее время язвенная болезнь является одним из наиболее часто встречающихся заболеваний внутренних органов. По данным мировой статистики, ее распространенность среди взрослого населения достигает 6-10% [1,2,4]...
23.01.2012 Ключевые слова: кариес зубов, заболевания пародонта, гигиена полости рта, комплексная профилактика стоматологических заболеваний
Состояние здоровья молодежи является необходимым условием и определяющим моментом благополучия общества и его прогрессивного развития. Молодежь – это динамичная возрастная группа...
20.01.2012
Некоторое время тому назад мы были приятно удивлены редко встречающимся в наши дни фактом передачи солидного количества медицинской литературы собственной библиотеки одному из ведущих медицинских центров города Еревана...
19.01.2012
САМЫЕ ЧИТАЕМЫЕ СТАТЬИ
-
Нормы роста и веса детей – данные ВОЗ
-
Зеленые выделения из влагалища: причины и лечение
- Анатомо-физиологические особенности дыхательной системы у детей
-
Насморк с кровью: причины симптома и способы лечения
- Анатомо-физиологические особенности сердечно-сосудистой системы у детей
- Анатомо-физиологические особенности пищеварительной системы у детей
- Анатомо-физиологические особенности мочевыделительной системы у детей
- Сравнительная характеристика параметров функции внешнего дыхания (обзор литературы)
- Современные представления о норме и патологических отклонениях размеров восходящей аорты при приобретенных пороках сердца
- Анатомо-физиологические особенности детей
- Анатомо-физиологические особенности костно-мышечной системы у детей
- Паллиативная химиотерапия рака: основные понятия и особенности (oбзор литературы)
-
Что можно и что нельзя делать после удаления аппендицита
-
Увеличенные яичники: симптомы, причины и лечение
-
Новейшие достижения онкологии в МЦ «Наири»: интервью с Артемом Степаняном. nairimed.com
-
О чем говорит головная боль за ухом? Причины, симптомы и лечение
-
Как снизить риск инсульта. erebunimed.com
-
Характер мужчины проявляется в выборе позы для секса
-
Армянская ассоциация медицинского туризма (ААМТ)
-
Желтые выделения из влагалища: причины и лечение
-
Рвота у ребенка без температуры: возможные причины
- Применение летрозола для стимуляции овуляции
- Врожденные аномалии и пороки развития
-
КАТИОНОРМ – представитель нового поколения искусственных слез для симптоматической терапии синдрома “сухого глаза”
-
Арам Бадалян: Родинку трогать нельзя?
- Применение противоспаечных средств в профилактике спаечной болезни живота (oбзор литературы)
-
Как избавиться от лямблий — 25 эффективных рецептов народной медицины
-
Вздутие живота при месячных: 7 способов справиться с неприятным ощущением
-
Компресс при ангине: будет ли полезным прогревание горла?
-
Онкология является самой быстроразвивающейся отраслью медицины: интервью с Левоном Бадаляном
-
Лечение марганцовкой
- Некоторые новые подходы к системной терапии метипредом больных ревматоидным артритом
- Медицинские информационные системы.Информационная система для интегрального фармацевтического и здравоохранного мониторинга
-
Фармацевтическая опека
- Подходы к оперативному лечению костно-хрящевых экзостозов
- Повреждения при родах
- Инциденталома надпочечников
-
Курение марихуаны влияет на потенцию
-
Почему противозачаточные увеличивают грудь?
- Применение индинола и эпигаллата при аденомиозе













Научная медицина
Болезни
Традиционная медицина
Здоровый образ жизни
Косметология
Медицинское право
Алгоритмы, тесты
Цифры, факты, случаи
Историческая хроника
Афоризмы
Карьерная лестница
Дети
Женщина
Мужчина
Рейтинговая система