Ախտորոշիչ մեթոդներ
Շագանակագեղձի քաղցկեղի հայտնաբերման նպատակով մինիմալ բիոպտատների քանակով բիոպսիայի ընտրության սխեմա
Սկսած այն ժամանակներից, ինչ Հոջը ներդրել է շագանակագեղձի սեկստանտ բիոպսիան, բազմաթիվ հետազոտողներ ցույց են տվել, որ այն զգալի թերագնահատում է քաղցկեղը և առաջարկել են ավելի լայնածավալ` մինչև 10-18-ձողանի բիոպսիաներ[1]: Ցույց է տրվել, որ շագանակագեղձի պերիֆերիկ զոնայի հեռակա դրսային կողմը կողմնորոշիչն է հայտնաբերման հավանականության բարձրացման մեջ: Կողմնային ուղղորդված բիոպսիաները, որոնք նաև թույլ են տալիս բիոպտատներ վերցնել շագանակագեղձի կողմնային եղջյուրներից, բերում են շագանակագեղձի քաղցկեղի (ՇՔ) հայտնաբերման հավանականության բարձրացմանը մոտ 25%-ով [1-3]: Գեղձի պերիֆերիկ հատվածի գագաթում և հիմքում ՇՔ ամենաշատն է տեղակայված լինում և այնտեղ պետք է ուղղված լինի բիոպսիան, այն ինչ միջային հատվածի բիոպտատները քիչ հավանական է, որ լինեն դրական [1-6].
Շագանակագեղձի բիոպտատների թիվն ու տեղակայումը մնում է քննարկումների նյութ: Պարզ չէ, արդյոք միշտ պետք է հիմնվել նույն կարգին, թե այն պետք է փոփոխվի համաձայն տարբեր կլինիկական չափանիշների, ինչպիսիք են PSA չափը, շագանակագեղձի մատնային քննությունը (ՇՄՔ) և շագանակագեղձի ծավալը: Ավելին, դեռևս հակասական է, արդյոք հայտնաբերման չափը կարող է տատանվել ձողերի քանակից կամ նրանց վերցնելու տեղից:
Գնահատվել է 24-ձողանի բիոպսիայից (24ՁԲ) հետո յուրաքանչյուր ձողի հիման վրա քացկեղի հայտնաբերման չափը և հետազոտվել է բիոպսիաների տարբեր ռեժիմների, որոնք բնութագրվում են քանակով և անատոմիական տեղակայմամբ, քաղցկեղի հայտնաբերման ունակությունը: Նաև փորձ է արվել հաստատել քանակի և տեղակայման ամենաարդյունավետ սխեման, որը թույլ կտա նվազագույն ձողերի պայմաններում ստանալ առավելագույն արդյունք` համապատասխան կլինիկական տվյալների:
Նյութերն ու մեթոդները
Պրոցեդուրան
2005 թ. սեպտեմբերից մինչև 2008 թ. հունիսը կատարվել է թվով 617 ՇՔ կասկածով հիվանդների սատուրացիոն բիոպսիա: Բիոպսիայի կատարման ցուցումներն են եղել PSA 2,5-ից մինչև 4,0 նգ/մլ նաև ՇՄՔ և/կամ ՏՌՈւՁ կասկածով կամ PSA≥4 նգ/մլ` անկախ ՇՄՔ-ի և ՏՌՈւՁ տվյալներից: Հիվանդները ստացել են ֆտորքինոլոնային անտիբիոտիկ բիոպսիայի օրը և հաջորդ 4 օրերի ընթացքում: Հիվանդներին կատարվել է մաքրող հոգնա 1 օր և 3 ժամ առաջ: Օգտագործվել է ՏՌՈւՁ փակ ծայրով ՈւՁ-զոնդ 5-7,5 MHz տատանվող հաճախությամբ` 18G տրանսռեկտալ ասեղների ուղղորդման նպատակով: Սատուրացիոն բիոպսիան կատարվել է ամբուլատոր կարգով` կիրառելով պրիլոկային-լիդոկային քսուկների և լիդոկայինի 2%-5 մլ պերիֆերիկ ներվերի երկկողմանի էնդոռեկտալ երկկողմանի ինֆիլտացիայով [7]:
Բիոպսիաները կատարվել են 18G ասեղներով, որոնք մատակարարում են 15 մմ երկարությամբ հյուսվածքի ձողեր: Բիոպսիոն նյութը վերցվել է 6 հատվածներից` երկկողմանի ապիկալ, կողմնային և հիմնային, ինչպես նաև անցումային զոնայից`տարածքի սահմանի հաստատման համար (նկ. 1): Յուրաքանչյուր հատվածից վերցվել է 3-4 ձող և յուրաքանչյուրը նշմագրվել է: Ինչպես ցույց է տրված նկ. 1-ում սխեման կազմված է իրար վրա մասնակի ընկնող Հոջի դասական սեկստանտ սխեմայից (գազարագույն կետեր), ավելի կողմնայնորեն` Ստեմեյի սեկստանտ սխեմայից (սև կետեր), ավելի կողմնային և սուբկապսուլյար 8 ձողեր (կապույտ կետեր) և 4 ձող անցումային զոնայից: Նկ.2-ում ցույց է տալիս ձողերի վերցման ճշգրիտ հաջորդականությունը սկսած աջ բլթի ապիկալ (A1, A2, A3), լատերալ (L1, L2, L3, L4) և բազալ (B1, B2, B3), հակառակ հաջորդականությամբ ձախ բլթից և վերջում 4 ձող անցումային զոնայից (հետին ձախ, առաջային ձախ, հետին աջ և առաջային աջ): 24 ձողն էլ անմիջապես դրվել են կասետների մեջ, նշմագրվել են տարբեր տեղերին բնորոշ գույնի ներկերով, 1վ-ով ընկղմվել են Բոուինի լ-թի մեջ և հետո պահվել են 10% ֆորմալինի մեջ[8]: Բոլոր սլայդները նայվել են միևնույն փորձառու պաթոլոգի կողմից` կիրառելով ժամանակակից ախտորոշիչ չափանիշները HGPIN-ի, ASAP-ի և ՇՔ-ի համար: Բոլոր դժվարությունները արձանագրվել են տվյալների բազայում:
Նկ. 1. 24 ձողերի հստակ տեղակայումները: Գազարագույնով նշված է Հոջի սխեման, սևով` Ստեմեյի, կապույտով` ավելի լատերալ և սուբկապսուլյար ձողերը:

Նկ. 2. Թվերը ձողերի վրա ներկայացված են նույն հաջորդականությամբ, ինչ վերցվել են և գրվել են կասետների վրա: Նկարը նաև ցույց է տալիս երեք հատվածները (ապիկալ, լատերալ և բազալ) և տրանզիտոր զոնան:
Վիճակագրական վերլուծություն
Շեղումների միակողմանի և χ2-ուղով անալիզները կիրառվել են եղանակները և հարա-բերակցությունները համեմատելու համար: Քանի որ Ստեմեյի սեկստանտ բիոպսիոն սխեման մատակարարում էր ամենաբարձր հայտնաբերման հավանականությունը, այն ընտրվել է որպես հիմք: Այդ պատճառով ավելացվել է մեկական ձող յուրաքանչյուր կողմից և հաշվարկվել հայտնաբերման չափը 8, 10, 12, 14, 16, 20 և 24 ձողանի սխեմաների համար` հաշվի առնելով անցումային զոնայից վերցված բոլոր բիոպտատները միասին: Ստեղծվել են հնարավոր բոլոր 255 համակցությունները: HGPIN և ASAP-ով հիվանդները համարվել են բացասական դեպքեր: Քանի որ քաղցկեղի իրական տարածվածությունը հնարավոր չէ գնահատել, ենթադրվել է, որ 24ՁԲ հայտնաբերել է ողջ ՇՔ դեպքերը` 100%, և հաշվարկվել է յուրաքանչյուր հնարավոր համակցության հայտնաբերման հաճախությունը: Ռեկուրսիվ մասնատող անալիզը կիրառվել է հնարավոր բոլոր համակցությունների գնահատելու և հետո ամենաբարձր հայտնաբերման հաճախություն ունեցող համակցության ընտրության համար [9,10]: Արդյունքում ընտրվել է >95% հայտնաբերողունակություն ունեցող համակցությունը` մինիմալ ձողերի քանակով:
Քանի որ տարբեր հիմնական կլինիկական տվյալներ ունեցող հիվանդների մոտ ՇՔ հայտնաբերման հաճախությունը կլինի տարբեր, որոշվել է առանձնացնել ՇՔ ունենալու ռիսկի ենթախմբեր և կրկնել անալիզները յուրաքանչյուր խմբի համար: Ողջ խումբը տարանջատելու համար հիմք է ընդունվել դասակարգման և վերադարձի ճյուղավորված անալիզը, որտեղ ընդգրկվել են բոլոր կլինիկական փոփոխելի տվյալների (PSA, ՇՄՔ, տարիքը և ՇԾ) ճյուղավորման մոդելը, որոնք կարող են կանխորոշել ՇՔ առկայությունը: Ողջ խումբը բաժանվել է ՇՔ հայտնաբերման 4 ենթախմբերի (1) ՇՄՔ բացասական, ՇԾ ≤60 սմ3 և տարիքը ≤65 տ; (2) ՇՄՔ բացասական, ՇԾ ≤60 սմ3 և տարիքը >65 տ; (3) ՇՄՔ բացասական և ՇԾ >60 սմ3; և (4) ՇՄՔ դրական: Ոչ մի հիվանդ ընդունելի չէ մի քանի ռիսկի խմբերին: Հետագայում կրկնվել է ողջ անալիզները 4 խմբերի համար: Վերջում, ընդհանրացնելով բոլոր տվյալները, որոնք կարող էին լինել ոչ օբյեկտիվ, որոշվել է հաստատել քաղցկեղի հայտնաբերման հաճախությունը 10-ապատիկ խաչաձև հաստատման մեթոդով: Բոլոր թեստերի նշա-նակելիության մակարդակը դրվել է 0,05:
Արդյունքները և քննարկում
Բոլոր հիվանդները տարել են լավ և ձողերի նախատեսված քանակը միշտ ստացվել է: Աղյ. 1 ցույց է տալիս հիվանդների բնութագրերը: Քաղցկեղը հայտնաբերվել է 289 տղամարդկանց մոտ (46.8%): Ձողերի տրված քանակով քաղցկեղի հայտնաբերման հաճախությունը զգալիորեն փոփոխվում էր կախված տեղակայումների զուգակցումներից (աղյ. 2): Խաչաձև հաստատման եղանակով քաղցկեղի հայտնաբերուման հաճախությունը զգալիորեն աճում էր` ձողերի քանակի աճին զուգահեռ: Քաղցկեղի հայտնաբերման հետևյալ միջին հաճախություններ է հաստատվել բոլոր 255 համակցությունների և 24ՁԲ համար` 8 ձող, 36.3% (35.4–37.3%); 10 ձող, 38.7% (38.2–39.2%); 12 ձող, 40.6% (40.3–40.9%); 14 ձող, 42.2% (41.9–42.4%); 16 ձող, 43.5% (43.3–43.8%); 18 ձող, 44.6% (44.3–44.9%); 20 ձող, 45.6% (45.1–46.0%) և 24 ձող, 46.8%: Միայն 12-ձողանի սխեմայի քաղցկեղի հայտնաբերման միջին չափն էր զգալի տարբեր 24ՁԲ-ից (p = 0.047), մինչդեռ 14-ձողանի սխեմայի քաղցկեղի հայտնաբերման միջին չափը վիճակագրորեն այնքան բարձր չէ 24ՁԲ-ից (p = 0.156): Նկ.3 ցույց է տալիս խաչաձև հաստատված քաղցկեղի հայտնաբերման միջին չափի համապատասխանությունը նախնական բիոպսիայի ժամանակ վերցված ձողերի քանակից կախված: Սխեմաներում քաղցկեղի հայտնաբերման միջին տոկոսի տատանումները զգալիորեն նվազում են ձողերի քանակի աճին զուգահեռ: Ավելին, տատանումները զգալի բարձր են բացասական ՇՄՔ-ով` ի համամեմատ դրական ՇՄՔ-ով հիվանդների (p = 0.001), PSA <10 նգ/մլ համեմատ PSA >10 նգ/մլ (p = 0.005) և ՇԾ>60 սմ3 համեմատ <60 սմ3 (p = 0.04; նկ.4): Նկ. 5-ը ցույց է տալիս տարբեր կողմերին բնորոշ քացկեղ-դրական հաճախությունները:
Աղյուսակ 1 Հետազոտվող խմբի հիվանդների բնութագրերը
| Չափանիշ |
Առաջնակի 24ՁԲ (n = 617) |
|
Տարիքը, տ. |
65.4 ±8.0 |
|
PSA (նգ/մլ) |
9.0 ± 22.2 |
|
գ PSA ≤4.0 նգ/մլ |
148 (24%) |
|
գ PSA 4.1–10 նգ/մլ |
295 (48%) |
|
գ PSA >10.1 նգ/մլ |
174 (28%) |
|
Ազատ PSA, % |
0.18 ± 0.08 |
|
Շաանակագեղձի ծավալը, սմ3 |
66.6 ± 36 |
|
Անցումային զոնայի ծավալը, սմ3 |
39.9 ± 30 |
|
PSA խտությունը |
0.13± 0.10 |
|
Անցումային զոնայի PSA խտությունը |
0.30 ± 0.50 |
|
Ոչ նորմալ ՇՄՔ տվյալներ |
19% |
|
ՇՔ |
46.8% |
|
HGPIN |
8.9% |
|
ASAP |
1.13% |
|
HGPIN ¨ ASAP |
0.8% |
ASAP = atypical small acinar proliferation of prostate; HGPIN = high-grade prostatic intraepithelial neoplasia.
Աղյուսակ 2 Առաջնակի բիոպսիայի քաղցկեղ-հայտնաբերման տոկոսները համապատասխան տարբեր կլինիկական տվյալներին, ձողերի քանակին և տեղակայումների
|
Ձողերի քանակը |
րական ՇՄՔ |
բացաս. ՇՄՔ |
PSA<10 նգ/մլ |
PSA >10 նգ/մլ |
ՇԾ ≤60 սմ3 |
ՇԾ >60 սմ3 |
|
8 |
95.0±1.0 (94.1–95.8) |
72.6±3.3 (69.7–75.4) |
75.8±2.9 (73.3–78.3) |
88.8±1.8 (87.3–90.3) |
79.2±1.9 (77.6–80.8) |
76.4±4.3 (72.8–80.0) |
|
10 |
96.0±1.3 (95.5–96.6) |
79.1±3.6 (77.7–80.5) |
81.5±3.2 (80.3–82.8) |
91.4±1.7 (90.7–92.0) |
84.0±2.3 (83.0–84.9) |
82.2±4.4 (80.5–83.9) |
|
12 |
96.0±1.3 (96.5–97.3) |
84.4±3.4 (83.5–85.4) |
86.1±3.1 (85.3–87.0) |
93.4±1.6 (93.0–93.9) |
87.8±2.5 (87.1–88.5) |
86.9±3.9 (85.8–88.0) |
|
14 |
97.0±1.3 (97.4–98.0) |
88.8±3.1 (88.1–89.6) |
89.9±2.8 (89.3–90.6) |
95.1±1.5 (94.8–95.5) |
91.0±2.4 (90.5–91.6) |
90.7±3.2 (90.0–91.5) |
|
16 |
98.4±1.1 (98.1–98.7) |
95.4±2.7 (91.7–93.2) |
93.1±2.4 (92.5–93.8) |
96.6±1.4 (96.3–97.0) |
93.8±2.1 (93.2– 94.4) |
93.9±2.5 (93.2–94.5) |
|
18 |
99.0±0.9 (98.6–99.3) |
95.4±2.1 (94.6– 96.3) |
95.8±1.9 (95.0–96.6) |
97.9±1.2 (97.5–98.4) |
96.1±1.7 (95.5–96.8) |
96.4±1.8 (95.7–97.1) |
|
20 |
99.5±0.6 (99.0–100) |
97.9±1.5 (96.6–99.2) |
98.1±1.3 (96.9–99.2) |
99.0±0.9 (98.2–99.9) |
98.2±1.2 (97.1–99.2) |
98.4±1.2 (97.4–99.4) |
|
24 |
100 |
100 |
100 |
100 |
100 |
100 |
|
24 ձողերի տարբ-ից p < 0.05 |
<10 |
<14 |
<14 |
<14 |
<16 |
<12 |

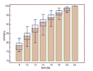
Նկ. 3. Սյուները ցույց են տալիս առաջնակի բիոպսիաների ժամանակ քաղցկեղի հայտնաբերման խաչաձև հաստատված միջին տոկոսները վերցված ձողերի թվին համապատասխան (8 ձող: 78.3%; 10 ձող: 83.4%; 12 ձող: 87.5%; 14 ձող: 90.9%; 16 ձող: 93.8%; 18 ձող: 96.2%; 20 ձող: 98.2%): Վանդակները և թելիկները ցույց են տալիս շարքի և միջին արժեքները: 8-, 10-, 12-, 14-, 16-, 18- և 20-ձողանի սխեմաները հայտնաբերել են հետևյալ քաղցկեղի հայտնաբերման տոկոսները . 8 ձող, 76.2–80.6%; 10 ձող, 82.3–84.6%; 12 ձող, 86.7–88.3%; 14 ձող, 90.3–91.5%; 16 ձող, 93.2–94.4%; 18 ձող, 95.6–96.9%; և 20 ձող, 97.2–99.3%:

Նկ. 4. Ֆիքսված քանակի ձողերով բոլոր հնարավոր համակցությունների քաղցկեղի հայտնաբերման տատանումները կախված կլինիկական տվյալներից և ողջ քանակի համար:
Նկ. 5. 24ՁԲ յուրաքանչյուր ձողի դրական լինելու տոկոսային հարաբերությունը:
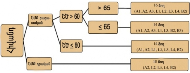
Հետագայում որոշվել է ամենաարդյունավետ համակցությունը, որի քացկեղի հայտնա-բերումը >95%` մինիմալ ձողերի քանակի դեպքում և հիվանդների կլինիկական բնութագրերին համապատասխան: Ինչպես ցույց է տրված նկ. 6-ում, առանձնացվել է ՇՔ 4 ռիսկի խմբեր. (1) ՇՄՔ բացասական, ՇԾ ≤60 սմ3 և տարիքը ≤65 տ; (2) ՇՄՔ բացասական, ՇԾ ≤60 սմ3 և տարիքը >65 տ; (3) ՇՄՔ բացասական և ՇԾ >60 սմ3, և (4) ՇՄՔ դրական և ներակայացվել է յուրաքանչյուր կատեգորիայի հիվանդի համար ամենաարդյունավետ ընտրության սխեման:

Նկ.6. Հիվանդներին ռիսկի խմբերի բաժանման բլոկ-սխեման
Ինչպես ցույց է տրված նկ.6-ում ներկայացված բլոկ-սխեման թույլ է տալիս կլինիցիստներին ընտրել ամենաարդյունավետ սխեման` կլինիկական տվյալներին հա-մապատասխան: Վերլուծությունը բացահայտում է, որ ամենաարդյունավետ սխեման բացասական ՇՄՔ, ՇԾ≤60 սմ3 և տարիքը ≤65 տ. հիվանդների համար 16-ձողանի բիոպսիան է: Բացասական ՇՄՔ, ՇԾ≤60 սմ3 և տարիքը >65 տ., կամ բացասական ՇՄՔ, ՇԾ>60 սմ3 հիվանդների համար ամենաարդյունավետ սխեման 14-ձողանի սխեման է: Վերջապես, դրական ՇՄՔ-ով հիվանդների մոտ 10-ձողանի սխեման թույլ է տալիս 95% հայտնաբերել քաղցկեղը:
Նկ. 7-ում ցույց է տրված ձողերի տեղակայումները համապատասխան առաջարկված սխեմաներին:

Մակրոհեմատուրիան 3 օրից ավել հանդիպել է 74% հիվանդների մոտ և տևել է միջինը 4,5 օր: Հեմատոսպերմիան եղել է համընդհանուր և տևել է 3-4 շաբաթ: Ուղիղաղիքային արյունահոսությունը առկա է եղել միայն 1 օր` 3.2% հիվանդների մոտ: Երեք հիվանդներ ունեցել են ռեկտալ զգալի արյունահոսություն, որը բուժվել է ինտրառեկտալ տամպոններով: Հոսպիտալիզացիա պահանջող սուր պրոստատիտ` >390C ջերմությամբ և սուր միզակապություն նկատվել է 0.4% և 2.1% հիվանդների մոտ համապատասխանաբար:
Վերջին մի քանի տարվա ընթացքում ՇՔ հայտնաբերման ավելի էֆեկտիվ բիոպսիայի սխեմայի որոշման հետաքրքրությունը աճել է [11-16]: Ինտուիտիվ ստանդարտ սեկստանտ բիոպսիային շագանակագեղձից բիոպտատների ավելացումը կբերի ՇՔ հայտնաբերման հավանականության բարձրացմանը: Ներկայումս հակվածություն կա կիրառել ընդլայնված սխեմաները (10–12-ձողանի բիոպսիաներ առանց անցումային զոնայի), որպես առաջնային բիոպսիա: Այնուամենայնիվ սատուրացիոն բիոպսիան (≥20 ձող), որպես առաջնային բիոպսիա, մնում է քննարկելի: Eichler et al. [11] ցույց էին տվել, որ չկա զգալի առավելություն 12 ձողից վերցնելու դեպքում և Jones et al. [12] առաջարկել են, որ 10-12 ձողից ավելացնելու բիոպսիոն ստրատեգիան համապատասխան չէ առաջնային բիոպսիային: Ավելի ուշ, Pepe և Aragona-ն զեկուցել են ռետրոսպեկտիվ հետազոտության մեջ, որ սատուրացիոն բիոպսիան (24-37 ձող) չի բարձրացնում ՇՔ հայտնաբերման արդյունավետությունը 18-ձողանի բիոպսիայի համեմատ [13]: Չնայած սատուրացիոն բիոպսիան թվում է ավելորդ` առաջնային մոտեցման համար, հնարավոր է, որ բիոպսիաների ամենահարմար թիվը ընկած է 12-20 սահմաններում:
Բիոպտատների վերցման տեղը, որը առավելագույնի կհասցնի քաղցկեղի հայտնաբերման հավանականությունը մնում է քննարկելի: Արդեն հայտնի է, որ կողմնային և ապիկալ ձողերը մեծացնում են քաղցկեղի հայտնաբերման հավանականությունը: Haas et al. ցույց են տվել, որ բիոպսիայի քաղցկեղ հայտնաբերելու ունակությունը ավելի շատ կախված է ձողի վերցնելու տեղամասից, քան դրանց քանակից` միջային և կողմնային պերիֆերիկ զոնաներից վերցված 12-ձողանի բիոպսիան ունի կլինիկական նշանակալի քացկեղի հայտնաբերման ամենամեծ հավանականությունը: Համաձայնվելով այս եզրակացության հետ մենք հավատում ենք, որ և տեղը, և քանակը նշանակալի են քաղցկեղի հայտնաբերման համար:
Եզրակացություն
ՇՔ հայտնաբերման միջին հաճախությունը զգալիորեն աճում է վերցված ձողերի քանակի աճին զուգահեռ: Տրված ձողերի քանակի դեպքում քաղցկեղի հայտնաբերման չափը զգալի փոփոխվում է համապատասխան բիոպտատների քննարկված տեղերի համակցությունից: Ամենաարդյունավետ սխեման փոփոխվում է հիվանդի կլինիկական բնութագրերին համապատսխան: Սույնով առաջարկվում է մատչելի կիրառվող բլոկ-սխեմա ամենաարդյունավետ բիոպտատների քանակի և տեղի որոշման համար` կախված հիվանդի կլինիկական բնութագրերից:
Գրականություն
- Scattoni V., Zlotta A., Montironi R., Schulman C., Rigatti P., Montorsi F. Extended and saturation prostatic biopsy in the diagnosis and characterisation of prostate cancer: a critical analysis of the literature. Eur Urol 52 (2007) (1309 - 1322) Abstract, Full-text, PDF, Crossref.
- Meng M.V., Franks J.H., Presti J.C. Jr., K. Shinohara. The utility of apical anterior horn biopsies in prostate cancer detection. Urol Oncol 21 (2003) (361 - 365) Crossref.
- Singh H., Canto E.I., Shariat S.F., et al. Improved detection of clinically significant, curable prostate cancer with systematic 12-core biopsy. J. Urol., 171 (2004) (1089 - 1092) Crossref.
- A. de la Taille, P. Antiphon, L. Salomon, et al.. Prospective evaluation of a 21-sample needle biopsy procedure designed to improve the prostate cancer detection rate. Urology 61 (2003) (1181 - 1186) Crossref.
- Patel A.R., Jones J.S., Rabets J., DeOreo G., Zippe C.D.. Parasagittal biopsies add minimal information in repeat saturation prostate biopsy. Urology 63 (2004) (87 - 89) Crossref.
- Philip J., Hanchanale V., Foster C.S., Javle P. Importance of peripheral biopsies in maximising the detection of early prostate cancer in repeat 12-core biopsy protocols. BJU Int 98 (2006) (559 - 562) Crossref.
- Raber M., Scattoni V., Roscigno M., et al. Topical prilocaine-lidocaine cream combined with peripheral nerve block improves pain control in prostatic biopsy: results from a prospective randomized trial. Eur Urol 53 (2008) (967 - 975) Abstract, Full-text, PDF, Crossref.
- Firoozi F., Nazeer T., Fisher H.A., Kaufman R.P. Jr., M.D. White, B.M. Mian. Tissue-arking scheme for a cost-effective extended prostate biopsy protocol. Urol Oncol 27 (2009) (21 - 25) Crossref.
- Kawakami S., Okuno T., Yonese J., et al.. Optimal sampling sites for repeat prostate biopsy: a recursive partitioning analysis of three-dimensional 26-core systematic biopsy. Eur. Urol., 51 (2007) (675-683) discussion 682-3 Abstract, Full-text, PDF, Crossref.
- Breiman L., Friedman J.H., Olshen R.A. Classification and regression trees. (Wadsworth, Belmond, CA, 1984)
- Eichler K., Hempel S., Wilby J., Myers L., Bachmann L.M., J. Kleijnen. Diagnostic value of systematic biopsy methods in the investigation of prostate cancer: a systematic review. J Urol 175 (2006) (1605 - 1612) Crossref.
- J.S. Jones, A. Patel, L. Schoenfield, J.C. Rabets, C.D. Zippe, C. Magi-Galluzzi. Saturation technique does not improve cancer detection as an initial prostate biopsy strategy. J Urol 175 (2006) (485 - 488) Crossref.
- Pepe P., Aragona F.. Saturation prostate needle biopsy and prostate cancer detection at initial and repeat evaluation. Urology 70 (2007) (1131 - 1135) Crossref.
- Capitanio U., Karakiewicz P.I., Valiquette L., et al.. Biopsy core number represents one of foremost predictors of clinically significant Gleason sum upgrading in patients with low-risk prostate cancer. Urology 73 (2009) (1087 - 1091) Crossref.
- Harnden P., Shelley M.D., Naylor B., Coles B., Mason M.D.. Does the extent of carcinoma in prostatic biopsies predict prostate-specific antigen recurrence? A systematic review. Eur Urol 54 (2008) (728 - 739) Abstract, Full-text, PDF, Crossref.
- Campos-Fernandes J.L., Bastien L., Nicolaiew N., et al.. Prostate cancer detection rate in patients with repeated extended 21-sample needle biopsy. Eur. Urol., 55 (2009) (600-609) Abstract, Full-text, PDF, Crossref.
19.01.2011 Կարդացեք նաև
Հոդերի փափուկ հյուսվածքների վնասվածքների ախտորոշման մեջ մեծ նշանակություն ունեն գործիքային հետազոտության տվյալները: Վերջին ժամանակներս մեր պրակտիկայում ներդրվել է խոշոր հոդերի...
Բանալի բառեր. կրծքագեղձի քաղցկեղ, կոկորդի քաղցկեղ, քիթ-ըմպանի քաղցկեղ, ավշային հանգույց, մետաստաթիկ ախտահարում, հիպերպլազիա, ճարպային կազմափոխում, բորբոքում, գերձայնային հետազոտություն...
Բանալի բառեր: արգանդի մարմնի քաղցկեղ, գերձայնային հետազոտություն, արգանդի խոռոչ, կանխարգելում, էնդոմետրիումի հիպերպլաստիկ փոփոխություններ...
Ներկայում սուր պանկրեատիտը անհետաձգելի վիրաբուժության ամենակարևոր և հետագա ուսումնասիրություններ պահանջող խնդիրներից մեկն է : Վերջին տարիներին նկատվում է պանկրեատիտով...
Այսօր արդեն ակնհայտ է, որ միայն կլինիկական հետազոտությունների վրա հիմնված պրոֆիլակտիկ քննությունների մակարդակը չի կարող համապատասխանել առողջապահության արդի պահանջներին...
Ներկայում սուր պանկրեատիտը անհետաձգելի վիրաբուժության ամենակարևոր և հետագա ուսումնասիրություններ պահանջող խնդիրներից մեկն է : Վերջին տարիներին նկատվում է պանկրեատիտով հիվանդների քանակի աճի միտում ամբողջ աշխարհում...
Տարբեր ախտաբանական պրոցեսների ժամանակ նեյրոբլաստոմային ծագման բջիջների տրանսկրիպցիոնալ ակտիվության փոփոխությունները վաղուց հայտնի են: Ողնաշարավորների նյարդային համակարգի նորմալ վիճակը բնութագրվում է...
27.01.2010 Բանալի բառեր` in situ հիբրիդացում, FISH, CISH, HER2
Ուռուցքներում առաջացող գենային փոփոխությունները հայտնաբերելու նպատակով ժամանակակից բժշկության մեջ կիրառվում են մի քանի եղանակներ...
26.01.2010 Բանալի բառեր. C-ռեակտիվ սպիտակուց (CRP), սրտի իշեմիկ հիվանդություն (ՍԻՀ), սրտամկանի ինֆարկտ
C-ռեակտիվ սպիտակուցը (CRP) հյուսվածքների վնասման, բորբոքման, նեկրոզի, վնասվածքների և ուռուցքների, ինչպես նաև մակաբուծային ինֆեկցիաների ժամանակ հանդիպող ամենազգայուն և ամենաարագ...
Բանալի բառեր. կրծքագեղձի քաղցկեղ, ավշային հանգույց, մետաստաթիկ ախտահարում, հիվանդացության ցուցանիշ, մահացության ցուցանիշ, գերձայնային հետազոտություն, մորֆոլոգիական հետազոտութուն, ավշային հանգույցների կառուցվածքային առանձնահատկություններ...
Ներածություն:
Խոլեդոխոլիթիազով բարդացած խոլեցիստիտների ախտորոշումը և բուժումը մնում է աբդոմինալ վիրաբուժության արդիական խնդիրներից մեկը: Շատ հաճախ անհրաժեշտություն է առաջանում խոլեդոխոլիթիազը ախտորոշել ներվիրահատական մեթոդներով, քանի որ ...
ԱՄԵՆԱԸՆԹԵՐՑՎԱԾ ՀՈԴՎԱԾՆԵՐԸ
-
Ժողովրդական դեղամիջոցներ
-
Հղիություն. 4-րդ ամիս
-
Հղիություն. 7-րդ ամիս
-
Կոճապղպեղ նույնն է՝ իմբիր, Ginger եւ Zingiber Officinale
-
«Արագիլ» հիմնադրամը ստեղծված է՝ օգնելու անպտղությամբ տառապող զույգերին. Կարինե Թոխունց
-
Հղիություն. 6-րդ ամիս
-
Հղիություն. 2-րդ ամիս
-
Ամուսնական առաջին գիշերը
- 4-7 ամսական երեխաների սնուցումը
-
Ընկերության մասին
-
Խնձորը` պզուկների դեմ. ազատվիր նրանցից 1 գիշերվա ընթացքում
-
Ինչպես ազատվել անցանկալի մազերից
-
Պարզվում է ապագա երեխայի սեռը կախված է մայրիկի սնունդից
-
Դդում
-
Հիվանդություն, որը փոխում է մեր կյանքը` կրծագեղձի քաղցկեղ
-
Կոճապղպեղ՝ նիհարելու համար (կոճապղպեղի թեյ)
-
Սեռական գրգռում
-
Արգանդի միոմա. նախանշանները, պատճառներն ու բուժումը
-
Հղիություն. 1-ին ամիս
-
Երիցուկ դեղատնային - Ромашка аптечная - Matricaria chamomilla L.
-
Չիչխանի օգտակար հատկությունները
-
Քարավուզ (նույն ինքը՝ նեխուր)
-
Ինչպես ազատվել բերանի վատ հոտից`պարզ միջոց
-
Դիմակներ` մազերի համար
-
Կրծքի ցավե՞ր ունեք. ինչ անել
-
Հեշտոցային արտադրության պատճառները. մասնագետի անդրադարձը
-
Ընդհանուր տեղեկություններ մարմնի համակարգերի մասին
- Բերանի խոռոչի լորձաթաղանթի ախտահարումը սովորական բշտախտի ժամանակ (սկիզբը` նախորդ համարում)
-
Հիվանդություն, որի համար պետք չէ ամաչել (թութք)
-
Ընտրություն ըստ հորոսկոպի
- Խոսենք այդ մասին. ձեռնաշարժություն
-
Հղիությունը և նախապատրաստվելը դրան
-
Երբ գլխացավն ախտանիշ է: Հանճարեղ և օժտված մարդկանց հիվանդություն
-
Լեղաքարային հիվանդություն. բուժման մեթոդները
-
Սեռական թուլության առաջին նախանշանները. news.am
-
Ուլտրաձայնային դոպլերոգրաֆիա (երկակի (դուպլեքս) անոթների)
-
Էկզեմայի տեսակները և բուժումը
-
Իրիդիոսքրինինգ
-
ՈւՆԱԲԻ: Արևելյան բժշկության գաղտնիքները
-
Գամմա-դանակը նշտարի փոխարեն















Գիտական բժշկություն
Հիվանդություններ
Ավանդական բժշկություն
Առողջ ապրելակերպ
Կոսմետոլոգիա
Բժշկական իրավունք
Ալգորիթմեր, թեստեր
Թվեր, փաստեր, դեպքեր
Պատմական խրոնիկա
Աֆորիզմներ
Կարիերային սանդուղքով
Երեխա
Կին
Տղամարդ
Ռեյթինգային համակարգ