Այլ հոդվածներ
Նեյրոնային մշակված ազդանշաններով նեյրոպրոթեզների օպերատիվ ադապտացիան
Բանալի բառեր. երկրորդական ազդանշանային աղբյուր, օպերատիվ ադապտացիոն սխեմա, նեյրոպրոթեզ, Պուասոնյան պրոցես, Գամմա ֆունկցիա, Մոնտե-Կառլոյի պրոցեդուրա, կառավարող ազդանշան, նեյրոֆիզիոլոգիական տվյալներ
Փորձերը նկարագրում են, թե ինչպես պրոթեզային սարքը կարող է կառավարվել ուղեղի ազդանշանների կողմից: Այնուամենայնիվ, կայուն, շարունակական օգտագործման մեջ նեյրոպրոթեզները կարող են տուժել հիմնականում գրանցված ազդանշանի շարժունակությունից: Այսպիսի փոփոխությունները այժմ կարիք ունեն կառավարվող ուսուցման պրոցեդուրաների, որոնք պետք է կառավարվեն լաբորատոր պահանջների պահպանմամբ` դժվարացնելով նման սարքերի ենթադրվող ամենօրյա օգտագործումը: Որպես այլընտրանք, այստեղ մենք կառաջարկենք օպերատիվ ադապտացիայի սխեմա, որը կօգտագործի ուղեղի շրջանից երկրորդական ազդանշանային աղբյուրը: Մեր մոդելը ցույց կտա, որ պրոթեզային սարքը կարող է հաջողությամբ ադապտացվել նորմալ, ամենօրյա օգտագործմանը:
Այժմ լավ ուսումնասիրված է, որ նեյրոնային ակտիվությունը շարժիչի մակերևույթում պարունակում է պիտանի ինֆորմացիա վերջույթների ցանկալի շարժումների մասին[1, 3]: Շատ փորձերում նեյրոֆիզիոլոգիական տվյալները (գործողության պոտենցիալ, ԷԷԳ) նեյրոնային պրոթեզային սարքի ցանկալի և իրական շարժումների միջև տարբերության հետ միասին, հաջողությամբ օգտագործվում են ադապտացնելու գնահատականները, որոնք կարող են հաշվարկել պրոթեզների համար պիտանի ազդանշանները:
Նեյրոպրոթեզների ինքնակամ օգտագործումը նորմալ` լաբորատորիայից դուրս, այնուամենայնիվ, կարող է առաջացնել ընթացիկ փոփոխություններ ուսումնասիրված նեյրոնների և պրոթեզների ֆիզիկական բնութագրերի պարամետրերում: Այդ պատճառով, ժամանակի հետ իրավիճակը կարող է շատ և շատ տարբերվել նրանից, որի համար սխալի գնահատականը սկզբնականորեն ուսուցանվել է:
Այս պրոբլեմի ստանդարտ լուծումն է պահանջին համապատասխան կրկին ուսուցանել պրոթեզները` կանոնավոր ինտերվալներով հստակ առաջադրանքը կատարելու համար: Միայն եթե պահանջվող շարժումը ուսումնասիրված է, ընթացքը կարող է հաջողվել և հետագայում օգտագործվել ադապտացնելու համար պատկերավորումը` ուղեղի ակտիվության և վերջույթի նախանշված շարժման կատարումը կառավարող ազդանշանի միջև:
Այստեղ մենք առաջարկում ենք գրանցել հավելյալ ազդանշանները ուղեղից, որոնք նախատեսում են պակասող ինֆորմացիան: Այս միտքը ունի որոշ պոտենցիալ առավելություններ անաշխատունակ սուբյեկտի համար. այն կարող է վերացնել կլինիկական հաստատություններում հոգնեցուցիչ գործողությունների կատարման պահանջը և ադապտացիան, ինչպես նաև սկզբնական ստուգումը կարող է կատարվել պրոթեզների ամենօրյա օգտագործման ընթացքում: Մենք ներկայացնում ենք մեր մոտեցման իրագործումը թվային մոդելավորման օգնությամբ` օգտագործելով նեյրոնային ազդանշանների որակի և ծագման մասին արդեն իսկ եղած ինֆորմացիան: Մենք ցույց կտանք, որ ազդանշանների որակը, որը ստացվել է գրանցման տվյալ տեխնոլոգիայով, բավական է հաջողությամբ կատարելու պահանջը:
Նկ.1. Մոդելի սխեմատիկ տեսքը: Նախանշված է, որ դեֆեկտիվ սուբյեկտը կատարի շարժում: Նախանշված շարժման v արագությունը կոդավորվում է շարժիչային մակերևույթից նեյրոնների պիկի` գրանցված որպես պիկի K մեծություն: K-ն ուղղվում է ալգորիթմի, որը օգտագործում է պարամետրերը` տալու համար նախանշված շարժման գնահատականը, -ն հետագայում օգտագործվում է արհեստական ձեռքի շարժումները կառավարելու համար: Նախանշված և կատարված շարժումների միջև E անհամապատասխանությունը ընդունվում է սուբյեկտի կողմից և կոդավորվում է ուղեղի սխալի մոնիտորինգի մասի նեյրոնների կողմից: Այս սխալի ազդանշանը միաժամանակ գրանցվում է երկրորդ էլեկտրոդի կողմից` բերելով K մեծության լրիվ արժեքին, որից հաշվվում է օրիգինալ սխալի գնահատականը: Մեր ադապտացիայի ալգորիթմը օգտագործում է Մոնտե-Կառլոյի պրոցեդուրան շարժման անալիզի բլոկից պարամետրերը փոփոխելու համար, որը պահանջվում է պրոթեզների պարամետրերը լավացնելու համար` նվազեցնելով E-ն:
Նկար 1-ում ցույց տրված մեր մոդելը ներառում է իր մեջ ներքին և արտաքին մասեր: Ներքին մասը բաղկացած է երկու նեյրոնային պոպուլյացիայից, որոնցից համապատասխանաբար գրանցվում են նախանշված շարժման ազդանշանը և սխալի ազդանըշանը: Մոդելի արտաքին մասը կառավարման համակարգն է, որը բաղկացած է գնահատման և ադապտացիայի ալգորիթմներից և արհեստական ձեռքից: Գնահատման ալգորիթմը դեկոդավորում է և նախանշված շարժման ազդանշանը, և սխալի ազդանշանը: Գնահատված նախանշված շարժումը օգտագործվում է կառավարելու համար արհեստական ձեռքը: Զուգահեռաբար, սխալի ազդանշանը, որը պետք է համեմատի նախանշված և ընդունված շարժումների միջև տարբերությունը, օգտագործվում է ադապտացնելու նախանշված շարժման ազդանշանի դեկոդավորող ալգորիթմը:
Նախանշված շարժումը երկու չափողականություններով կարող է նկարագրվել արագության վեկտորով` v ={ v cos(φ),sin(φ) } ուղղությամբ և v բացարձակ արժեքով` չափված 0-ից vmax: Մեր մոդելում գրանցումը կատարվում է Nv = 64 նեյրոններով կոսինուսոիդալ կորերով և գծային արագության մոդուլյացիայով: Գրգռված նեյրոնների միջին քանակը .
(1) բանաձևում ƒi oƒƒ – սկզբնական մեծությունն է, ƒmod – գրգռված նեյրոնների մաքսիմալ քանակությունը,φi – նեյրոնի առավել հավանական ուղղվածությունը:
Որպեսզի մոդելավորենք մի իրադրություն, ինչպիսին կարող է լինել էքսպերիմենտալ գրանցումը (վատագույն դեպքի դասակարգում), մենք թույլ կտանք նեյրոնների 25%-ին չռեզոնացվել ընդհանրապես (չկորելացված աղմուկի ստեղծում), ինչպես նաև թույլատրում ենք անձայն (խլեցված) նեյրոնների մեծ մասի մուտքը (50%, 3 Հց-ից ցածր): Նեյրոնների մնացած 25%-ը ընտրվում է ինչպես ƒi oƒƒ + ƒmod և մեծ չի 50Հց-ից: φi-ն պատահականորեն է վերցվում, որը ստեղծում է շարժման անկյունների ոչ միասեռ գործողությունների սֆերա 0-ից 2π: Մոդելներում առանց ամբողջականության կորստի նշանակում ենք vmax = 1 և T = 1վ:
Նեյրոնների գրգռումը նկարագրվում է Պուասոնյան պրոցեսով: Յուրաքանչյուր T ինտերվալի համար վեկտորի պիկը` k = {kΙ, . . . , kNv}, ստացվում է fi(v) -ի Պուասոնյան բաշխումից և օգտագործվում է նախանշված շարժման գնահատման համար:
Կոդավորված

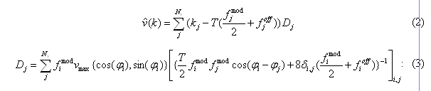
պարամետրերը անհայտ են գնահատող ալգորիթմի համար: Երբ ունենք K-ն և P-ն, գնահատված մեծության և նախանշված v մեծության միջև մինիմումը միջին քառակուսային սխալի համար օպտիմալ գծային Բայեսյան գնահատումը կկարդացվի հետևյալ ձև.
Եթե նեյրոնների պարամետրերը անորոշ են, ադապտացիայի նպատակը P-ի ապրոքսիմացիայի փնտրումն է, որը կարող է օգտագործվել (2) և (3) բանաձևերում գնահատելու համար[5]:
Սխալի պատկերացման, սխալի մոնիտորինգի և սխալի կառավարման նեյրոնային հիմքը մինչև այժմ ինտենսիվ ուսումնասիրությունների թեմա է հանդիսանում: Առավել օգտագործվող ազդանշանը կարող է անմիջապես կոդավորել նախանշված շարժման և պրոթեզի կատարած իրական շարժման միջև տարբերությունը: Մեր մոդելի համար մենք կվերցնենք պիկի ակտիվության գծային մոնոտոն կախվածությունը սխալի մոնիտորինգի նեյրոններից և չափված սխալի մեծությունից:
Առավել մանրամասն, սխալի կառավարման ակտիվությունը մոդելացվում է հետևյալ բանաձևերով` նախանշված v շարժման և գնահատված մեծության միջև տարբերությունը դիսկրետացված քառակուսի սխալով`
Նկ. 2. Մոդելավորման սխեմատիկ դիագրամ: Ներքին ցիկլը տեղի է ունենում յուրաքանչյուր անգամ, երբ T ինտերվալը հավասարվում է բաշխումից նախանշված շարժման մեծությանը, հաշվվում են մեծության համապատասխան պիկի արժեքները և կատարվում է մեծության և սխալ ազդանշանների գնահատումը: Ադապտացիայի ալգորիթմը գնահատում է տարբեր պարամետրեր, որոնք գեներացվել են Մոնտե-Կառլոյի պրոցեդուրայից` միջինացնելով սխալի ազդանշանները հաջողության T պարբերություններով: Այս ամենով հանդերձ, այն իրականացնում է E սխալի ազդանշանի ստոխաստիկ գրադիենտը:
Մոդելավորելով մեր ալգորիթմը վատագույն դեպքով` մենք ենթադրում ենք, որ գրանցումները, որոնք արվել են միայն NE =5 նեյրոններից` նման կարգավորված ֆունկցիաներով, որոնց պոպուլյացիայի գրգռման աստիճանը տրված է , ƒE (E) =Foƒƒ+Fmod,E շեղման Foƒƒ = 25 Հց-ով և մոդուլյացիայի մաքսիմալ Fmod = 50 Հց աստիճանով (մակարդակով): Այս ակտիվությունը չափվում է , որպես Պուասոնյան բաշխման միջին ƒE -ի և ստոխաստիկ պիկի k մեծության տարբերություն:
Նկ.3. Մոդելը ցույց է տալիս ավարտից հետո ադապտացիան:
Սև կորը ցույց է տալիս գնահատված նախանշված արագության միջին E սխալը` միջինացված մոտ 1000 փորձարկումներից: Մինչև t = 0 պահը ադապտացիան ստացիոնար վիճակում է մնում, երբ t = 0 , կոդավորող նեյրոնների արագության կարգավորող ֆունկցիաները ամբողջականորեն ինիցիալիզացվում են տարբեր մեծությունների: Մի քանի ժամից գնահատման պարամետրերի նախկին բնութագրերը վերականգնվում են: Հորիզոնական մոխրագույն գիծը ցույց է տալիս նվազագույն միջին սխալը, որը հնարավոր է ստանալ, եթե արագության գնահատումը կատարվի իրական կարգավորման պարամետրերով: Երեք կտրվածքները պատկերում են պրոթեզների բնութագրերը. մինչև կարգավորման փոփոխում (ձախ),անմիջապես փոփոխությունից հետո (կենտրոն) և 24 ժամ փոփոխությունից հետո (աջ):
Ադապտացիան հաջող է, եթե գնահատված կորը (մոխրագույն) մոտ է իր ձևով նախանշված կորին (սև):
Մեր կողմից առաջարկված կառուցվածքը պահանջվում է, որպեսզի սխալի ազդանշանների գրանցումները կայուն լինեն գրգռումների դեմ: Դրանից հետևում է, որ Fmod և Foƒƒ ֆունկցիաների պարամետրերը սխալի ազդանշանի պրոյեկցիայի համար կարիք ունեն տրվելու միայն պրոթեզի տեղադրման ընթացքում: Այս պայմաններից ելնելով` սխալի օպտիմալ (ոչ գծային) գնահատականը այսպիսի տեսք կունենա.
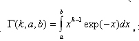
որտեղ
որը ոչ լրիվ Գամմա ֆունկցիա է:
Այսպիսով ապացուցվում է, որ նեյրոնային պրոթեզները կարող են հաջողությամբ ադապտացվել ներքին սխալի ազդանշանին` հակազդելով դրան ուժեղ ոչ շարժունակ նեյրոնային կոդավորմամբ և ազդանշանի գրանցմամբ:
Բոլորը իրար հետ վերցված` մեր արդյունքները ցույց են տալիս, որ հարկավոր է ներառել ազդանշանների սխալի մոնիտորինգը նեյրոնային պրոթեզներում:
Գրականություն
- Andersen R.A., Burdick J.W., Mussallam S., Pesaran B., Cham J.G. Cognitive neural prosthetics, Trends in cognitive science, 2004, p.486-493.
- Diedrichsen J., Hashambhoy Y. L., Rane T., Shadmehr R. Neural correlates of reach errors, Journal of Neuroscience, 2005 , p.9920-9930.
- Helms Tillery S.I., Taylor D.M., Schwartz A.B. Training in cortical control of neuroprosthetic devices improves signal extraction from small neuronal ensembles, Neurosci., 2003, p.107-120.
- Musallam S., Corneil B.D., Greger B., Scherberger H., Andersen R.A. Cognitive control signals for neural prosthetics, Science, 2004, p.305:257-263.
- Schwartz A.B. Cortical neural prosthetics, Ann. Rev. Neurosci., 2004, p.487-506.
29.01.2008 Կարդացեք նաև
Բանալի բառեր. թթենու տերեւներ, դեղաբանական նշանակությունը եւ կիրառումը
Թթենին մորացե (Moraceae, թթենազգիներ) ընտանիքին պատկանող բազմամյա տերևաթափ ծառ է 10-15մ բարձրությամբ: Ծաղկում է մայիս հունիս ամիսներին: Պտուղները հասունանում են օգոստոս-սեպտեմբեր ամիսներին...
Կնոջ մոտ ծննդաբերությունից հետո սկսվում է լակտացիայի շրջանը։ Այն ֆիզիոլոգիական վիճակ է, որի ժամանակ կնոջ օրգանիզմի կողմից սննդանյութերի և էներգիայի նկատմամբ պահանջն ավելի է մեծանում...
26.04.2010
XXI դարում ներդրվել են ատամնաբուժական կրթության և ակադեմիական գիտության նոր ու առաջադեմ մեթոդներ, որոնք աստիճանաբար հայտնվում են նաև Հայաստանում...
02.02.2010
Ի կատարումն ՀՀ Առողջապահության նախարարության «Քաղաքացիական պաշտպանության և արտակարգ իրավիճակներում ՀՀ բնակչության առողջության պաշտպանության ուղղությամբ 2008 թ. հիմնական միջոցառումների մասին» 14. 01. 2008 թ. թիվ 26-Ա հրամանի...
Բանալի բառեր. սակավաշարժություն, ճառագայթաձև լաբիրինթոս, երկարատև և աշխատանքային հիշողություն
Շարժողական ակտիվության սահմանափակումը` սակավաշարժությունը (ՍՇ), ժամանակակից մարդու կյանքում տարածված ռիսկի գործոն է (սթրեսոր): Գրականության տվյալները վկայում են...
30.04.2009 Ինքնասպանությունը կամ սուիցիդը (լատիներենից թարգմանաբար` sui caedere- ինքն իրեն սպանել)` ինքնուրույն, նպատակաուղղված, իր իսկ կողմից իրեն կյանքից զրկումն է...
Բանալի բառեր. շրջակա միջավայր, աշխատանքի հիգիենա, պղինձ, կապար, մոլիբդեն, հիվանդացություն
Բազմամետաղային հանքերից պղնձի արդյունահանումը, հանքաքարի հարստացումը, խտանյութից պղնձի կորզումը և մաքուր մետաղի ստացումը Հայաստանի արդյունաբերության առաջատար ճյուղերից է...
30.10.2008 Բանալի բառեր. ուսանող, առողջական վիճակ, ֆիզիկական զարգացում
Բարձրագույն ուսումնական հաստատությունում սովորելն ուղեկցվում է ուսանողների շրջանում հարմարվողական մեխանիզմների բարդ պրոցեսներով, օրգանիզմի բոլոր համակարգերի լարվածությամբ...
29.10.2008 Բանալի բառեր. սակավաշարժություն, հիպոթալամուս, ճարպերի գերօքսիդացում, վիտամին E
Քաղաքակիրթ երկրներում ժամանակակից կենսակերպը բնութագրվում է սթրեսային ազդեցությունների հզոր աճով, որտեղ հատկապես կարևորվում է շարժողական ակտիվության սահմանափակման դերը` պայմանավորված օրգանիզմի վրա ախտաբանական ազդեցության բազմազանությամբ [1, 16, 25]...
29.07.2008 Բանալի բառեր. էլեկտրոմիոգրաֆիա, արհեստական նեյրոնային ցանց, ուժեղացուցիչ, փոխանջատվող ֆիլտր, ամպլիտուդա, մակերևութային էլեկտրոդներ
Պրոթեզների կառավարման ամենաբնական ուղին պետք է նույնը լինի, ինչ-որ ձեռքի կառավարման ժամանակ, այսինքն` նեյրոնային կառավարումով այն նյարդերի օգնությամբ, որոնք ստեղծված են ձեռքի կամ դաստակի կառավարման համար...
30.04.2008 2008 թվականի ապրիլից Առողջապահության համաշխարհային կազմակերպության հետ մեկտեղ ուսումնասիրվել է Հայաստանի Հանրապետությունը պատրաստվածությունը այս կամ այն արտակարգ իրավիճակներին դիմակայելու և դրանց հետևանքները արդյունավետ վերացնելու: Առանձնացվել են երկու ուղղություններ. առաջինը՝ տեսական, փաստաթղթային բնույթ ունեցող...
Բանալի բառեր. աշխատանքի հիգիենա, մոլիբդենի, ֆերոմոլիբդենի, կալիումի պերռենատի արտադրություններ
Ժամանակակից տեխնիկական առաջընթացը անշեղորեն կապված է մետալուրգիական արդյունաբերության զարգացման մասնավորապես բարձրորակ պողպատների մետաղների բարդ համաձուլվածքների արտադրության նոր նյութերի օգտագործման ընդլայնման հետ...
30.10.2007 Բանալի բառեր. աուտոբորբոքային հիվանդություններ, պիրին, կրիոպիրին, մևալոնատ կինազ, PYD, IgD, ASC, TNF, IL-1, NFkB, ապոպտոզ
Աուտոբորբոքային հիվանդությունները համակարգային բորբոքային խանգարում-ների նոր դասակարգումն է, որոնք բնորոշվում են կրկնվող, այսպես կոչված առանց պատճառի ի հայտ եկող բորբոքային նոպաներով...
12.10.2007 Բանալի բառեր. բժշկական ապահովում, բժշկական հատուկ ուժեղացված ջոկատ
Աղետների և պատերազմական գործողությունների ժամանակ առաջացած մասսայական վնասվածքների դեպքում հատկապես կարևոր է ճիշտ կազմակերպել բնակչությանը ցուցաբերվող առաջին բուժօգնությունը, վերականգնել նրանց աշխատունակությունը, նվազեցնել սանիտարական կորուստների թիվը: Այս խնդիրը այսօր էլ բոլոր երկրների համար չի կորցրել իր արդիականությունը, նշանակությունը և գտնվում է պետության ուշադրության կենտրոնում...
ԱՄԵՆԱԸՆԹԵՐՑՎԱԾ ՀՈԴՎԱԾՆԵՐԸ
-
Ժողովրդական դեղամիջոցներ
-
Հղիություն. 4-րդ ամիս
-
Հղիություն. 7-րդ ամիս
-
Կոճապղպեղ նույնն է՝ իմբիր, Ginger եւ Zingiber Officinale
-
«Արագիլ» հիմնադրամը ստեղծված է՝ օգնելու անպտղությամբ տառապող զույգերին. Կարինե Թոխունց
-
Հղիություն. 6-րդ ամիս
-
Հղիություն. 2-րդ ամիս
-
Ամուսնական առաջին գիշերը
- 4-7 ամսական երեխաների սնուցումը
-
Ընկերության մասին
-
Խնձորը` պզուկների դեմ. ազատվիր նրանցից 1 գիշերվա ընթացքում
-
Ինչպես ազատվել անցանկալի մազերից
-
Պարզվում է ապագա երեխայի սեռը կախված է մայրիկի սնունդից
-
Դդում
-
Հիվանդություն, որը փոխում է մեր կյանքը` կրծագեղձի քաղցկեղ
-
Կոճապղպեղ՝ նիհարելու համար (կոճապղպեղի թեյ)
-
Սեռական գրգռում
-
Արգանդի միոմա. նախանշանները, պատճառներն ու բուժումը
-
Հղիություն. 1-ին ամիս
-
Երիցուկ դեղատնային - Ромашка аптечная - Matricaria chamomilla L.
-
Չիչխանի օգտակար հատկությունները
-
Քարավուզ (նույն ինքը՝ նեխուր)
-
Ինչպես ազատվել բերանի վատ հոտից`պարզ միջոց
-
Դիմակներ` մազերի համար
-
Կրծքի ցավե՞ր ունեք. ինչ անել
-
Հեշտոցային արտադրության պատճառները. մասնագետի անդրադարձը
-
Ընդհանուր տեղեկություններ մարմնի համակարգերի մասին
- Բերանի խոռոչի լորձաթաղանթի ախտահարումը սովորական բշտախտի ժամանակ (սկիզբը` նախորդ համարում)
-
Հիվանդություն, որի համար պետք չէ ամաչել (թութք)
-
Ընտրություն ըստ հորոսկոպի
- Խոսենք այդ մասին. ձեռնաշարժություն
-
Հղիությունը և նախապատրաստվելը դրան
-
Երբ գլխացավն ախտանիշ է: Հանճարեղ և օժտված մարդկանց հիվանդություն
-
Լեղաքարային հիվանդություն. բուժման մեթոդները
-
Սեռական թուլության առաջին նախանշանները. news.am
-
Ուլտրաձայնային դոպլերոգրաֆիա (երկակի (դուպլեքս) անոթների)
-
Էկզեմայի տեսակները և բուժումը
-
Իրիդիոսքրինինգ
-
ՈւՆԱԲԻ: Արևելյան բժշկության գաղտնիքները
-
Գամմա-դանակը նշտարի փոխարեն















Գիտական բժշկություն
Հիվանդություններ
Ավանդական բժշկություն
Առողջ ապրելակերպ
Կոսմետոլոգիա
Բժշկական իրավունք
Ալգորիթմեր, թեստեր
Թվեր, փաստեր, դեպքեր
Պատմական խրոնիկա
Աֆորիզմներ
Կարիերային սանդուղքով
Երեխա
Կին
Տղամարդ
Ռեյթինգային համակարգ






