Տեսական և կլինիկական բժշկության հարցեր 5.2011
Ստամոքսի և 12 մատնյա աղու խոցային հիվանդության վաղաժամ և ակտիվ հայտնաբերումը սքրինինգթեստերի օգնությամբ
Այսօր արդեն ակնհայտ է, որ միայն կլինիկական հետազոտությունների վրա հիմնված պրոֆիլակտիկ քննությունների մակարդակր չի կարող համապատասխանել առողջապահության արդի պահանջներին: Որոշ դեպքերում պրոֆիլակտիկ քննություններր կարող են փոխարինվել սքրինինգային համակարգով:
Մեր կողմից մշակվել ե առաջարկվել է ստամոքսի ե 12մատնյա աղու խոց հիվանդության հայտնաբերման արդյունավետ համակարգ, որր հնարավոր է իրականացնել մի քանի փուլերով: ՀՀ Առողջապահական համակարգի հիմնական նպատակն է դարձել բարձրացնել հիվանդությունների կանխարգելման ե առաջնային բուժօգնության արդյունավետությունդ բարելավել բնակչության ֆիզիկական, հոգեկան առողջության ե սոցիալական բարեկեցության ցուցանիշներր: Այս նպատակին հասնելու ռազմավարության հիմնական ուղղություններից մեկր հանդիսանում է հիվանդությունների կանխարգելման միջոցառումների շեշտադրումր: Հիվանդությունների վաղաժամ ե ակտիվ հայտնաբերման պրոֆիլակտիկ քննությունների արդյունավետության բարձրացման նպատակով անհրաժեշտ է կիրառման ավտոմատացված սքրինինգի համակարգ: Սքրինինգի հիմնական նպատակն է`որեէ հիվանդության կասկածի դեպքում խմբերի ակտիվ առաջնակի րնտ րանք: «Մասսայական սքրինինգի» տարբեր ձևերի զարգացումր անհրաժեշտություն առաջացավ, երբ առողջապահական մարմինների առջե դրվեց խնդիր բնակչության ավելի լայն մասսաների րնդգրկ վել պրոֆիլակտիկ քննության ծրագրի մեջ: Վերջին տարիներին շատ հեղինակներ ռիսկի խմբի հայտնաբերման առաջին փուլի համար առաջարկում են կիրառել անկետային մեթոդր: Մի շարք հեղինակներ հիմնավորում են, որ անկետային սքրինինգից հետո րնդամենր 10-20%ր կարիք ունի խորը հետազոտության:Անկետային սքրինինգր պետք է լինի բազմափուլ: Մեր կողմից մշակվել է «Մասնագիտական անկետ» ստամոքսի ե 12 մատնյա աղու խոցային հիվանդության վաղաժամ ե ակտիվ հայտնաբերման համար: Անկետայում րնդգրկված են առավել տարածված ե առավել վաղ դրսեորվող հատկանիշներ: Հարցերր ձեակերպված են շատ պարզ ե մատչելի: Անկետան բաղկացած է 39 հարցից ե 142 ձեակերպված պատասխաններից: Յուրաքանչյուր հարցի համար առաջարկվում է ամբողջական փոխկապակցված պատասխաններ: Անկետան բաղկացած է 5 խումբ հարցերից, որոնք բնութագրում են համապատասխան 5 խումբ սինդրոմներ: Յուրաքանչյուր սինդրոմում առանձնացվել է այն հիմնական կլինիկական պատասխաններր, որոնք խմբավորվում են դիագնոս տիկ կարեոր սինդրոմների, սիմպտոմոկոմպլեքսի ե սինդրոմների մեջ: Կանխատեսվում է սինդրոմների արտահայտվածության 3 աստիճան, որոնք որոշվում հն այն սինդրոմնհրի քանակական ե կլինիկական արժհքով, որոնք տվյալ սինդրոմի համար համարվում հն որոշիչ: Անկհտայում բացի գլխավոր հարցհրից, կան նաե ճշտող հարցհր:
Այսպիսով, յուրաքանչյուր հարցի պատասխանի տարբհրակր կապված է պատասխաննհրի հավաքածուից: Այսպիսի մոտհցումր հնարավորություն է տալիս հայտնաբհրհլ այն վիճակնհրր, որի ապահովման համար մհկ հարցին հարցման հնթարկվողր պհտք է տա փոխադարձ բացառող մի քանի պատասխաննհր կամ պատասխանի ճշտված հարցին առանց գլխավոր հարցին պատասխանհլու կամ հարցադրմանր հարցվողր րնդհանրապհս չի տալիս պատասխան: Հաջորդ փուլում հարցի պատասխաննհրր միավորվում հն րստ սինդրոմնհրի ե սինդրոմոկոմպլհքսնհրի: Այս տիպի հարցհրի պատասխաննհրր բաժանվում հն հհտեյալ կատհգորիանհրի`պարտադիր տվյալ սինդրոմի առկայության ժամանակ; դրական`որոշակի աստիճանով բնութագրական է տվյալ սինդրոմի համար; անտարբհր`որոշակի նշանակություն չունհ ցող հատկանիշ տվյալ սինդրոմի համար; պատասխաննհր, որոնք կարող հն բհրհլ տվյալ սինդրոմի ճանաչման իջհցմանր: Սինդրոմի առկայությունր համարվում է հիմնավորված, եթե այն որոշվում է պատասխաննհրի գոնհ մհկ տարբհրակով: Տարբհրակ նհրի ստուգման ժամանակ կատարվում է հհտեյալ գործողություննհրը.
-
Պարտադիր պատասխանի բացակայության դհպքում անկհտան դուրս է գալիս հաշվառումից:
-
Հաշվվում է անկհտայում առկա դրական պատասխաննհրր ե համհմատվում տվյալ սինդրոմի համար առաջադրված չափանիշնհրի հհտ: Եթհ դրական պատասխաննհրր գհրակայում հն առաջադրված չափանիշին, սինդրոմր համարվում է դրական:
-
Եթհ անկհտայում կան պատասխաննհր, որոնք համարվում հն 4-րդ կարգի կամ հարցի դհֆիցիտ պատասխան, ապա չափանիշր կարող է իջհցվհլ մինչե նախորոք որոշված սահմանը:
Արդյունքում անկհտայի մշակման ժամանակ հհտազոտվողի սիմպտոմային ե սինդրոմային գնա հատականր տրվում է ծրագրի օգնությամբ, որը հանդիսանում է հիմք հհտազոտվողին այս կամ այն խմբի մհջ րնդգրկհլու համար: Այն որոշում է նաե հհ տազոտության կազմակհրպման հհրթականությու նր ե մհթոդիկան: Անկհտային մհթոդի տհղհկատ վության ստուգման համար մի շարք հհղինակնհր առաջարկում հն համալիր էնդոսկոպիկ, մորֆոլո գիական հհտազոտության կազմակհրպում`յուրաքանչյուր խմբի համար`ո=100: Ստամոքսի խոցային հիվանդություն սովորաբար դիագնոզվում է I, II, III խմբհրում: IV խմբում, սովորավար, խոցի հավանականությունը վիճակագրորեն հավաստի չէ (p›0,05): 12մատնյա աղու խոցային հիվանդություն հայտնաբերվում է I, II, III խմբերում, իսկ IV խմբում`ոչ: Տարբերության հավաստիությունը, t1,2 › 2; t1,3 › 2; t2,3 › 2 , հավանականությունը 12 մատնյա աղու խոցային հիվանդների հայտնաբերման II ե III խմբերում համեմատած I խմբի հետ 5% փոքր է (բ0,05): Մակերեսային գաստրիտ հայտնաբերվում է սովորաբար 4 խմբերում: Տարբերության հավաստիությունը, որ հիվանդները պատահական հայտնվել են I խմբում ե ոչ թե II, III, IV փոքր է 5% (p‹0,05), իսկ II, III, IV խմբերի համար (p›0,05): Ստամոքսի լորձաթաղանթի ատրոֆիայի դեպքում 4 խմբերում էլ t›3, այսինքն հիվանդների պատահական հայտնվելու հավանականությունը I խմբում համեմատած II, III, IV հետ 1% (p‹0,01), իսկ հիվանդների պատահական հայտնվելու հավանականությունը II, III, IV խմբերում 5% (p›0,05): I խմբում ստամոքսի լորձաթաղանթի պա թոլոգիական փոփոխությունների հայտնաբերման հավանականությունը 17,7±3,8, II խմբում 74,0±4,4, III խմբում87,0±3,3, IV խմբում 97,0±1,7: Վիճակագրական ցուցանիշների տարբերության հավաս տիությ ան գնահատումը ցույց է տայիս, որ I խմբում ստամոքսի պաթոլոգիայով հիվանդների հայտնաբերման հավանականությունը կազմել է 1% (p‹0,01), իսկ II ե III խումբը`5% (բ
Աղյուսակ 1. Ռիսկի խմբերում, ընդգրկված անձանց հետազոտությունների արդյունքները
|
Հետազոտվող կոնտինգենտ |
Հետազոտվածների թիվը |
Ստամոքսի խոցային հիվանդություն |
12-մատնյա աղու խոցային հիվանդություն |
Խրոնիկ ատրոֆիկ գաստրիտ |
Խրոնիկ հիպերտրոֆիկ գաստրիտ |
Ընդամենը հայտնաբերվել է |
|
I |
98 |
5 |
8 |
33 |
20 |
66 |
|
II |
556 |
2 |
9 |
58 |
22 |
91 |
|
III խումբ |
192 |
0 |
1 |
10 |
1 |
12 |
|
.Ընդամենը |
846 |
7 |
18 |
101 |
43 |
169 |
առանձնահատկության վիճակագրական նշանակությունը, հնարավորությունը ռիսկի խմբերի տարբերակման հիմնավորման համար մեր կողմից կատարվել է համապատասխանության գործակցի հաշվարկ (X2 = 48,5,p‹0,002): Մասսայական անկետային զննումը այն անձանց, որոնք դիսպանսեր հսկողության տակ են, նպատակահարմար է կազմակերպել գարնանը ե աշնանը, տարվա այն ժամանակահատվածում, երբ հնարավոր է խոցային հիվանդության ե խրոնիկ գաստրիտի սրացում: Մասսայական անկետային թեստավորումը կազմակերպվել է անկախ գանգատների առկայությունից, ինքնազգացողությունից: Հիվանդների հետազոտությունը եղել է համալիր: Հիվանդությունների ակտիվ հայտնաբերման համար առաջարկվել է կիրառել այսպես կոչված պո լիվալենտ անկետա: Այս մեթոդի օգնությամբ հնարավոր է ձեավորել «ռիսկի խումբ» հաջորդ փուլում նպատակային հետազոտություն կազմակերպելու համար: Անկետայում ընդգրկված է 60 հարց, իրենց 212 պատասխաններով: Անկետայի պատասխանները գնահատվել են բալային համակարգով: Հավաքած բալերի քանակության հիման վրա արվել է այս կամ այն սինդրոմի առկայության կամ բացակայության վերաբերյալ եզրահանգում: Պոլիվալենտ անկետա նպատակահարմար է լրացնեն 40 ե բարձր տարիքի անձիք: Մեր հետազոտության ժամանակ այն լրացրել են 3000 պացիենտ:
Նկար 1. Սոցիոլոգիական հարցման ենթարկված պացիենտների բաշխումը ըստ ռիսկիխմբերի:
Աղյուսակ 2. Ստամոքսի և 12 մատնյա աղու հիվանդությունների ակտիվ հայտնաբերման, բուժական և պրոֆիլակտիկ միջոցառումների կազմակերպման առանձնահատկությունները
|
Հայտնաբերված հիվանդների բնույթը |
Հիվանդների թիվը |
Բուժական ե պրոֆիլակտիկ միջոցառումների մեթոդները |
||||
|
վիրա- բուժական |
կոն- սերվա- տիվ |
Առողջա- րանային |
Դիետո- թերապիա
|
Դիսպանսեր հսկողություն |
||
|
Ստամոքսի խոց |
7 |
3 |
4 |
0 |
4 |
7 |
|
12մատնյա աղու խոց |
18 |
3 |
15 |
1 |
6 |
18 |
|
Խրոնիկ ատրոֆիկ գաստրիտ |
101 |
0 |
36 |
0 |
5 |
101 |
|
Խրոնիկ հիպերտրոֆիկ |
|
|
|
|
|
|
|
գաստրիտ |
43 |
0 |
43 |
0 |
0 |
43 |
|
Ընդամենը |
169 |
6 |
98 |
1 |
15 |
169 |
1-ին ռիսկի խումբը կազմել են`870 (29,1%), 3րդ խումբը`260 (8,8%): Բացի դա, 450 (15%) անկետաներում նշված է եղել տարբեր տիպի վիրաբուժական հիվանդությունների առկայություն`248ը նշել են ստորին վերջույթի երակների վարիկոզ լայնացում, 70ը`ճողվածք, 134ը`արտաքին լոկալիզացիայի ուռուցք, 1320 (43,8%)ը կազմել է այն անձանց խումբը, որոնք ոչ մի գանգատ չեն ներկայացրել: Ընտրվել է 1692 (56,2%) պացիենտ որովայնի լոկալիզացիայի վիրաբուժական հիվանդությունների առկայությամբ: Ռիսկի 1ին խմբի մեջ ընդգրկվել են 40-69տ., որից 86ը`ստամոքսի հիվանդության կասկածի կապակցությամբ նպատակահարմար է կազմակերպել էնդոսկոպիկ հետազոտություն (աղյուսակ 1.2):
Ինչպես երեում է աղյուսակ 1ից 846 անձանցից, որոնք պոլիվալենտ անկետայի մշակումից հետո I, II, III ռիսկի խմբերում են հայտնվել, նպատակային հետազոտության արդյունքում 169ի մոտ հայտնաբերվել է ստամոքսի որեէ հիվանդությ ուն: Քանի որ II ե III ռիսկի խմբերում հայտնված անձանց մասսայական էնդոսկոպիկ հետազոտություն անցկացնելը բավականին բարդ է, մենք գնտում ենք, որ մինչ հետազոտություն կազմակերպելը նպատակահարմար է անցկացնել սքրինինգի II փուլի հետազոտություն:Հի վանդների լրացուցիչ ընտրումը էնդոսկոպիկ հետազոտության համար ցանկալի է կիրառել դիագնոստիկ գործակիցների աղյուսակը: Հաշվողական տեխնիկայի օգնությամբ ցանկացած դիագնոստիկ համակարգի ստեղծման գործընթացում առանձնացվել է հետեյալ հիմնական փուլերը`բժշկական խնդրի ընտրում, հիվանդության նկարագրի համար հակտանիշ ների առանձնացում, կլինիկական տվյալների կոդավորում, կլինիկական հսկողության համար ուսուցողական ընտրանքի ձեավորում, դիագնոստիկ համակարգի ե ալգորիթմների ընտրության ուսուցողական համակարգի ստեղծում, դիագնոստիկ համակարգի արդյունավետության ստուգում: Բժշկական խնդիրների ընտրությունը կատարվել է մի շարք գործակիցների հիման վրա`դիագնոզի որոշման դժվարություններ, բժշկական սխալների քանակը, ախտորոշվող հիվանդությունների տարածվածությունը, բժիշկների մասնագիտացման մակարդակը: Կապված այն բանի հետ, որ բժշկական սխալները մինչհոսպիտալային փուլում հասնում են 63,7%, իսկ տեղամասային թե րապետները դեռ քիչ են ծանոթ պաթոլոգիային, մենք գտնում ենք արդիական բժիշկների շարունակական կրթական ծրագրերում ստամոքսի ե 12մատնյա աղու խոցային ե հիվանդությունների դիագնոստիկայի ե բուժման խնդիրներին վերբերող մոդուլների ընդգրկում: 2րդ փուլը աղյուսակների ստեղծումն է`հիվանդության հատկանիշների ցուցակի կազմում: Սովորաբար ընտրվում են պրակտիկ փորձի վրա հիմված հատկանիշներ: Մենք ընտրել ենք բոլոր սիմպտոմները, որոնք եղել են նշված հիվանդության պատ մագրերում, ամբուլատոր քարտերում ե սիմպտոմները բաժանել ենք սանդղակների: Օգտագործվել է յուրաքանչյուր սիմպտոմի արտահայտվածության սանդղակ, որը համապատասխանում է կլինիկայում ընդունված սանդղակներին.
-
չկա սիմպտոմներ - 0;
-
սիմպտոմները թույլ են արտահայտված կամ հանդիպում են հազվադեպ - 1;
-
սիմպտոմները չափավոր են արտահայտված կամ հանդիպում են հաճախ - 2;
-
սիմպտոմները խիստ արտահայտված են կամ հանդիպում են մշտապես - 3:
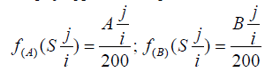
Հաշվի առնելով, որ ավելի հաճախ դիագնոզի հարցում սխալվում են պոլիկլինիկական օղակի բժիշկները, մենք ընտրել ենք այն հիվանդների հիվանդության պատմագրերը, որոնք բուժվել են ստացիոնարի թերապևտիկ բաժանմունքում քրոնիկական գաստրիտի կապակցությամբ: Այդ հիվանդության պատմագրերից ընտրվել են բոլոր սիմպտոմները, որոնք բնորոշ են խրոնիկական գաստրիտին: Դրանք ենթարկվել են աստիճանավորման: Ընտրվել են այն սիմպտոմները, որոնք հիվանդության պատմագ րերում հանդիպել են ոչ պակաս 50% դեպքերում: Գրանցված սիմպտոմները համեմատվել են գրականության տվյալների հետ, որից հետո կազմվել է սիմպտոմների ցուցակը: Հաշվի առնելով սիմպտոմների արտահայտման աստիճանը, կազմվել է սիմպտոմների հաճախականության աղյուսակ: Հաճախականությունը իրենից ներկայացնում է դեպքերի հարաբերությունը ընդհանուր հիվանդների թվին: Հաճախականության աղյուսակը կազմելուց հետո որոշվում է հաճախականության հարաբերակցությունը: Դրա համար հիվանդների թիվը յգրադացիայով ^սիմպտոմը նշանակենք ճ տառով(ստամոքսի և 12 մատնյա աղու խոցի), Bխրոնիկ գաստրիտի: Օրինակ`հիվանդների թիվը`200.
Սիմպտոմի գրադացիայի հաճախությունը որոշվել է հետևյալ բանաձևով.
A և B սինդրոմների մեջ յուրաքանչյուր սիմպտոմի հանդիպման հաճախությունը որոշվել է հետեյալ բանաձեով.
Այն սինդրոմները, որոնք ունեցել են 1ից մեծ արժեք, բնորոշ են խոցին, իսկ 1ից փոքրը`գաստրիտին: Որքան մեծ է փոփոխության արժեքը, այնքան տվյալ հատկանիշը արժեքավոր է: Հաջորդ փուլը դիագնոստիկ գործակիցների որոշումն է`Ժ/Խ: Այն հաշվարկվել է հետեյալ բանաձեով.
Աղյուսակ 3. Սիմպտոմների հաճախականության փոխհարաբերություն
|
|
Արտահայտման աստիճանր |
Մտամոքսի և 12մատնյա աղու խոց |
Քրոնիկ գաստրիտ |
Հարա- |
Դիագնոս- Ժ/Խ |
||
|
Սիմպտոմներ,որոնք մտնում են սինդրոմի մեջ |
քանա- յունը |
Հաճա- կանու-թյունը f=(3) (ո=200) |
քանա- յունը
|
Հաճախա- կանու-թյունր f= S 200 |
|||
|
1 |
2 |
3 |
4 |
5 |
6 |
7 |
8 |
|
1. Տարիք |
|
|
|
|
|
|
|
|
մինչև 20տ.; 21-50տ.;51-70տ. |
0;1;2;3 |
2;28;111 |
0,01; 0,14;0,5 |
7;134;18 |
0,035; 0,67 |
0,29; 0,21 |
-0,5(-5); -0,6 |
|
70 և ավելի |
|
|
|
|
0,09 |
6,2 |
(-6)0 ,7(7) |
|
2. Հիվանդություն` Չկա, Քրոնիկ գաստրիտ, Որովայնի հիվանդություններ |
0;1 2 |
21;92 87 |
0,11;0,46 0,44 |
122;47 31 |
0,6; 0,24 0,16 |
0,18; 1,92 2,75 |
-0,7 (-7); 2,2(2) 0,4(4) |
|
3. Դեղնություն անցյալում չի |
|
|
|
|
|
|
|
|
եղել` Չի եղել, Ինֆեկցիոն |
0;1 |
164;13 |
0,82; 0,065 |
194;4 |
0,97; 0,02 |
0,84; 3,25 |
;0,0(0); 0,5(5) |
|
բնույթի, Մեխանիկական |
2;3 |
8;15 |
0,04; 0,075 |
1;1 |
0,005; 0,005 |
8,0; 15,0 |
0,9(9); 1,1(11) |
|
բնույթի, Չի նկատել |
|
|
|
|
|
|
|
|
4. Շաքարային դիաբետ |
0 |
185 |
0,93 |
186 |
0,98 |
0,94 |
-0,03(0) |
|
Չունի, Երկար ժամանակ |
1 |
4 |
0,02 |
2 |
0,01 |
2,0 |
0,3(3) |
|
Հայտնաբերվել է I անգամ |
2 |
11 |
0,055 |
2 |
0,01 |
5,5 |
0,7(7) |
|
5. Մաշկային քոր |
0 |
144 |
0,72 |
198 |
0,99 |
0,72 |
-0,1(-1) |
|
Չկա, Հազվադեպ |
1 |
13 |
0,07 |
2 |
0,01 |
7,0 |
0,8(8) |
|
Հաճախ |
2 |
43 |
0,1 |
0 |
0,0 |
0 |
0(0) |
|
6. Բերանում այրոց |
0 |
28 |
0,34 |
186 |
0,93 |
0,15 |
-0,8(-8) |
|
Չկա, Հազվադեպ |
1 |
23 |
0,11 |
12 |
0,06 |
1,9 |
0,3(3) |
|
Հաճախ |
2 |
34 |
0,17 |
2 |
0,01 |
17,0 |
1,2(12) |
|
7. Դիսպեպսիա |
0 |
18 |
0,09 |
21 |
0,105 |
0,85 |
-0,0(0) |
|
Չկա, Հազվադեպ, Հաճախ |
1;2 |
38;144 |
0,19; 0,72 |
18;161 |
0,09 ;0,81 |
2,11; 0,88 |
0,3(3);- 0,1 (-1) |
|
8. էպիգաստրալ ցավեր |
0 |
138 |
0,69 |
188 |
0,94 |
0,73 |
-0,1(-1) |
|
Չկա, Հազվադեպ, Հաճախ |
1;2 |
4;20 |
0,02 ;0,1 |
10;2 |
0,05; 0,01 |
0,4;10,0 |
-0,3(3); 1,0(10) |
|
9.էպիգաստրալ ծանրության |
0;1 |
141;14 |
0,71; 0,07 |
195;4 |
0,98; 0,02 |
0,72;3,5 |
-0,1(-1); 0,5(5) |
|
Չկա, Հազվադեպ, Հաճախ |
2 |
17 |
0,09 |
1 |
0,005 |
18,0 |
1,0(10) |
|
10. Ցավերի կապը սնունդ |
0 |
169 |
0,85 |
15 |
0,075 |
11,2 |
1,0(10) |
|
րնդունելու հետ`Չկա |
1 |
22 |
0,11 |
8 |
0,04 |
2,75 |
0,4(4) |
|
Հազվադեպ, Հաճախ |
2 |
8 |
0,04 |
17 |
0,085 |
0,47 |
-0,3(-3) |
|
11. Ցավերր ճառագայթվում |
0 |
100 |
0,5 |
198 |
0,99 |
0,5 |
-0,2(-2) |
|
են դեպի թիակ` Չկա, |
1 |
16 |
0,08 |
2 |
0,01 |
8 |
0,9 (9) |
|
Հազվադեպ, Հաճախ |
2 |
32 |
0,16 |
0 |
0,0 |
0 |
1.3(13) |
|
12. Անորոշ ցավեր ՉկաՀազվադեպ,Հաճախ |
0;1;2 |
68;18;45 |
0,34; 0,1;0,2 |
82; 18;18 |
0,41;0, 09;0,09 |
0,8;1, 0;2,5 |
0,8(8);0 (0);0,3(3) |
|
13. Գիշերային ցավեր `Չկա |
0 |
124 |
0,62 |
181 |
0,91 |
0,7 |
-0,1(-1) |
|
Հազվադեպ,Հաճախ |
1;2 |
13;21 |
0,07; 0,11 |
17;1 |
0,08; 0,005 |
0,8; 22,0 |
-0,1(-1); 1,3(13) |
|
14.Ցավի բնույթի փոփոխություն` Չկա,Կա |
0,1 |
138,62 |
0,69; 0,31 |
198;2 |
0,99;0,01 |
0,7;31 |
-0,1(-1); 1,4(14) |
|
15. Քաղցկեղի փոքր հատկանիշների սիմպտոմ` Չկա, Արտահայտված է |
0 1 |
31 107 |
0,16 0,54 |
185 2 |
0,93 0,01 |
0,17 54,0 |
-0,76(-7) 1,73(17) |
|
16. Քաշի կորուստ` Չկա |
0 |
47 |
0,24 |
197 |
0,99 |
0,24 |
-0,6(-6) |
|
Աննկատ,Նկատելի |
1;2 |
96;57 |
0,48;0,29 |
2;1 |
0,01;0,005 |
48,0;57,0 |
0,6(6);1,7(17) |
|
17. Մաշկային ծածկույթի |
0 |
41 |
0,21 |
172 |
0,86 |
0,24 |
-0,6(-6) |
|
գույնր Նորմալ, Գունատ |
1 |
159 |
0,8 |
28 |
0,14 |
0,14 |
0,7 (7) |
|
18. Պալպացիայի ցավոտություն Չկա,Աննշան,Արտահայտված |
0 1;2 |
16 102;82 |
0,08 0,51;0,41 |
187 11;2 |
0,94 0,06;0,01 |
0,18 9,27;41 |
-1,09(-10) 0,96(9);1,6(16) |
|
19. Աջ թուլակողի շրջանի |
0 1;2 |
17 92;91 |
0,09 0,46;0,45 |
77 21;2 |
0,89 0,11;0,01 |
0,1 4,38;45,0 |
-1,0(0) 0,6(6);1,6(16) |
|
ցավոտություն` Չկա Աննշան, Արտահայտված |
|||||||
|
20. Լեղապարկի շոշափում |
0 |
198 |
0,99 |
200 |
1,0 |
0,99 |
-0,0(0) |
|
Չկա, Կա |
1 |
2 |
0,01 |
0 |
0,01 |
0 |
113 |
|
21. Ուռուցքի շոշափում |
0 |
198 |
0,99 |
200 |
1,0 |
0,99 |
-0,0(0) |
|
Չկա, Կա |
1 |
2 |
0,001 |
0 |
0,0 |
0 |
113 |
|
22.Մտամոքսի ռենտգեն |
0 |
162 |
0,81 |
14 |
0,07 |
11,5 |
1,0(10) -0,7(-7)(13) |
|
հետազոտություն` Չկա |
1 |
36 |
0,18 |
186 |
0,93 |
0,18 |
|
|
փոփոխություն,գաստրիտ,խոց |
2 |
2 |
0,01 |
0 |
0,0 |
0 |
|
|
23. Անեմիա` Չկա, Կա |
0;1 |
68;104 |
0,34;0,52 |
185;14 |
0,9;0,07 |
0,35;17,4 |
-0,4(-);0,8(8) |
|
24. Մտամոքահյութի թթվայնության իջեցում` Չկա, Կա |
0 1 |
107 62 |
0,59 0,31 |
6 31 |
0,03 0,15 |
17,8 2,0 |
1,2(12) 0,3(3) |
|
25. ԷՆԱ բարձրացում` Չկա |
0 |
122 |
0,61 |
187 |
0,93 |
0,66 |
-0,1(-1) |
|
Մինչե 15մմ/ժամ, 15մմ/ժամ |
1;2 |
31;47 |
0,16;0,23 |
12;1 |
0,06;0,005 |
2,58;47 |
0,4(4);1,6(16) |
Արդյունքները կլորացվել են հեշտության համար: Սիմպտոմների դիագնոստիկ գործակիցները, որոնք բնորոշ են խոցային հիվանդությանը դրանք (+) թվերն են, իսկ այն սիմպտոմները, որոնք բնորոշ են խրոնիկ գաստրիտին, դրանք (-) թվերն են: Եզրափակիչ փուլը դիագնոստիկ աղյուսակների կազմման սահմանային արժեքների որոշումն է: Աղյուսակի օգնությամբ դիագնոզը դրվում է դիագնոստիկ գործակիցների հերթականությամբ գումարվելով, այդ պատճառով սահմանային նշանակության ընտրությունը ունի մեծ նշանակություն: Ամենից առաջ անհրաժեշտ է ընդունել, որ դիագնոզի ժամանակ հնարավոր է նաե սխալներ: Առաջին տիպի սխալ, երբ չի դրվում դիագնոզ խոցայ ին հիվանդութ յան(a): Երկրորդ տիպի սխալի դեպքում խրոնիկ գաստրիտի փոխարեն դրվում է դիագնոզ խոցային հիվանդություն( β): Հաշվի առնելով, որ 1-ին սխալը ավելի ծանր է, քան 2-րդը, մենք a մեծությունը վերցրել ենք 1%, կամ 0,01, իսկ β=5% (0,05): ճիշտ դիագնոզի տեսակարար կշիռը նշանակենք P(A+) կամ P(B+), սխալ դիագնոզի հավանականությունը`P(A-) կամ P(B-): ճիշտ դիագնոզների տեսակարար կշիռը հավասար է` P(A+)=1-a, իսկ սխալինը`P(A-)=β : Խոցային հիվանդության ճիշտ ե սխալ դիագնոզների փոխհարաբերությունը, իսկ խրոնիկ գաստրիտի
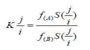
Այսպիսով, եթե (+) դիագնոստիկ գործակիցների գումարի հարաբերությունը գերազանցում է (-)-ն դիագնոստիկ գումարին կամ հավասար է
, ապա րնդունվում է որոշում, որ կա խոցային հիվանդություն: Եթե (+) դիագնոստիկ գործակիցների գումարային հարաμերությունը փոքր է (-) դիագնոստիկ գործակիցների գումարին կամ հավասար է
,ապա առկա է քրոնիկ գաստրիտ: Եթե (+) դիագնոստիկ գործակիցների գումարի հարաբերությունը (-)-ին փոքր է
և մեծ է
պատասխանը անորոշ է:
Այս դեպքում անհրաժեշտ է հետազոտությունը շարունակել: Քանի որ մենք տեսականորեն 1-ին կարգի սխալի (a) համար ընդունել ենք 1%, իսկ 2-րդ կարգի (β) սխալի`5%, սահմանը խոցային հիվանդության համար հավասար է +13, իսկ խրոնիկ գաստրիտի համար սահմանը հավասար է -20: Այն անձիք, որոնց մոտ դիագնոստիկ գործակիցների գումարը կազմել է +13 ե ավել, անհրաժեշտ է առաջնային օղակում կազմակերպել համապատասխան հետազոտությունների ծավալ, իսկ այն անձիք, որոնց մոտ դիագնոստիկ գործակիցների գումարը կազմել է -20 և ցածր անհրաժեշտ է անցկացնել ստամոքսի ֆիբրոգաստ րոսկոպիկ կամ ռենտգենոսկոպիկ հետազոտություն: Դիագնոստիկ գործակիցների գումարի +13;-20 սամաններում սովորաբար հայտնվում են այն անձիք, որոնց մոտ բացակայում է ստամոքսի որեէ պաթոլո գիա:
30.11.2011 Կարդացեք նաև
Դաշտանադադարը (ԴԴ) ֆիզիոլոգիական շրջան է, որի ընթացքում կնոջ օրգանիզմի ընդհանուր տարիքային փոփոխությունների ֆոնի վրա տեղի են ունենում կնոջ վերարտադրողական համակարգի հետաճման պրոցեսներ...
29.11.2011 Ներածություն: Առողջ մարդու օրգանիզմը գտնվում է կենսաբանորեն հավասարակշռված վիճակում: Այդ հավասարակշռությունը խախտվում է որոշակի պաթոլոգիական գործընթացների ժամանակ...
28.11.2011
Fatal error: The table 'article' is full in /sites/med-practic.com/classes/DatabaseManager_2.1.php on line 1360















Գիտական բժշկություն
Հիվանդություններ
Ավանդական բժշկություն
Առողջ ապրելակերպ
Կոսմետոլոգիա
Բժշկական իրավունք
Ալգորիթմեր, թեստեր
Թվեր, փաստեր, դեպքեր
Պատմական խրոնիկա
Աֆորիզմներ
Կարիերային սանդուղքով
Երեխա
Կին
Տղամարդ
Ռեյթինգային համակարգ



