Տեսական և կլինիկական բժշկության հարցեր 2.2011
Թոքային բարդությունները թորակոաբդոմինալ համակցված վնաավածքների ժամանակ
Ներածություն: Մեր օրերում վնասվածքների հիմնական առանձնահատկությունն է հանդիսանում համակցված ե բազմակի վնասվածքների բարձր տեսակարար կշիռը, որոնք տարբերվում են կլինիկական դրսեորումների յուրահատուկ ծանրությամբ, ախտորոշման և բուժման դժվարությամբ, բարձր մահացությամբ ե բարդությունների զարգացման հաճախակիությամբ, կազմելով րնդհանուր վնասվածքների կառուցվածքում 13.4%-ից մինչե 76.1% [2,4]:
Բոլոր հեղինակների տվյալներով համակցված վնասվածքների հիմնական պատճառ են հանդիսանում ճանապարհատրանսպորտային պատահարները (55%), անկումր բարձրությունից (36%) և կենցաղային վնասվածքներր (9%) [11]: Այս կամ այն անատոմիական շրջանի վնասվածքների հանդիպման հաճախության տվյալներր գրականության մեջ հակասական են: Պոլիտրավմաների ժամանակ վերջույթներր վնասվում են 85-90% դեպքերում, գանգր և կրծքավանդակր` 50-72%, կրծքավանդակր` 20-25%, որովայնր` 25-29%, կոնքը` 26%, անոթները` 10% [10]: Մի շարք հեղինակներ (В.Е.Розонов и соавт, 1996) կարծում են, որ որովայնի խոռոչի օրգանների վնասվածքները առավել հաճախ համակցվում են վերջույթների վնասվածքների (48,5%), կրծքավանդակի (21,4%), հազվադեպ կոնքի (15,3%), գլխի (10,6%) վնասվածքների հետ:
Համակցված վնասվածքների կառուցվածքում առանձնահատուկ տեղ են զբաղեցնում կրծքավանդակի և որովայնի համակցված վնասվածքները: Հիվանդների ծանր վիճակր պայմանավորված է մի կողմից կրծքավանդակի վնասվածքի, մյուս կողմից` որովայնի խոռոչի օրգանների վնասվածքների առկայությամբ, որոնք բարդանում են վնասվածքային շոկով, ներքին արյունահոսությամբ, իսկ ավելի ուշ ժամկետներում` պերիտոնիտով, պնեմոնիայով, բազմաօրգանային անբավարարությամբ [1]: Որովայնի վնասվածքր կազմում է ընդհանուր վնասվածքների 1.5%-ից մինչե 15.7% [6]: Վերջին 10-15 տարիների րնթացքում զգալիորեն բարձրացել է ծանր համակցված վնասվածքների մակարդակր [3], որոնց հաճախությունր հասնում է 49%-ից մինչե 70% [7]: Եվ եթե որովայնի մեկուսացված վնասվածքի ժամանակ մահացությունր կազմում է 5,7%- 17,5% [5], ապա համակցված վնասվածքների ժամանակ այդ ցուցանիշր մեծանում է մինչե 35%-79% [8]: Դիտարկումներր ցույց են տալիս, որ որովայնի վնասվածքների կապակցությամբ վիրահատված հիվանդների մոտ ներորովայնային հիպերտենզիան հասնում է 20%-ի [12], ինչի հետեանքով խանգարվում է ստոծանու էքսկուրսիան, վերջինս տեղաշարժվում է դեպի պլերալ խոռոչ, կոլապսի են ենթարկվում բազալ հատվածների ալվեոլներր, առաջանում են ատելեկտագի օջախներ և թոքային բարդություններ [13]:
Չի կարելի հաշվի չառնել, որ պերիտոնիտի ժա-մանակ որովայնի պատի մկանների տոնուսի բարձ- րացումր կարող է հանդիսանալ ՆՈՀ-ի դրսեորման կամ նրա խորացման պատճառ: Կրծքավանդակի վնասվածքր հանդիպում է բոլոր վնասվածքների 7-10% դեպքերում, իսկ համակցված վնասվածքների մեջ այդ ցուցանիշր հասնում է 25-60%-ի (Вагнер Е.А., Тавровский В. М., 1977, Kantartzis M. et al., 1997): Համակցված վնասվածքների հետեանքով մահացածներից մոտ 50-75%-ի մոտ դիտվում են կրծքավանդակի վնասվածքներ (Dougall А. еt аl.,1977, Гу маненко Е.Г., 1992): Համակցված վնասվածքներով հիվանդների մոտ մահացու ելքերի պատճառների 14 -16.8%-ը հանդիսանում են կրծքավանդակի վնասվածքներր: Կրծքավանդակի վնասվածքների պաթոգենեգի կարեոր օղակ է համարվում սուր շնչառական անբավարարությունր, որր րստ բնույթի պարենխիմատոգ-վենտիլյացիոն է: Առավել տիպիկ դրսեորում է հանդիսանում պրոգրեսիվող գարկերակային հիպօքսեմիան: Վերջինիս գարգացման պատճառներն են շնչառական մկանների թուլությունր ցիրկուլյատոր հիպօքսեմիայի հետեանքով, շնչառության ցավային “արգելակր”, թոքերի մագանոթների էմբոլիգացիան ներանոթային կոագուլյացիայի հետեանքով, թոքերի ինտերստիցիալ այտուցր մագանոթների թափանցելիության բարձրացման հետեանքով, սուրֆակտատնտի սինթեգի նվագումր ե արագ քայքայումր, միկրոատելեկտագների առաջացումով: Մահացությունր ծանր համակցված վնասվածքների ժամանակ կագմում է 23.3%-ից մինչե 85% [9]: Բնդգծվում է նաե աշխատունակության կորուստ ե հաշմանդամության բարձր մակարդակ, 10 անգամ գերակշռելով նույն ցուցանիշներր մեկուսացված վնասվածքների ժամանակ:
Արդյունքների քննարկում Մեր կողմից կրծքավանդակի և որովայնի համակցված վնասվածքների ուսումնասիրությամբ պարգվել է, որ այս անատոմիական շրջանների միաժամանակյա վնասվածք դիտվել է 123 հիվանդների մոտ, ինչը կագմել է բոլոր համակցված վնասվածքներով հիվանդների (470) 26.1%-ր, կրծքավանդակի համակցված վնասվածքներով հիվանդների (290) 42.4%-ր, որովայնի համակցված վնասվածքներով հիվանդների (193) 63.7%-ը, որոնք բուժման մեջ են գտնվել «էրեբունի» ԲԿ-ում 2003-2009թթ:
Արական սեռի հիվանդների թիվր կագմել է 112 (91%) իգական սեռի` 11 (9%): միջին տարիքր կագ- մել է 425.4 տարեկան: Վասվածքր առաջացԽղ գործոններ են հանդիսացել ճանապարհա տրանսպորտային պատահար` 66, անկում բարձրությունից` 26,
հարված սուր ե բութ գործիքներով` 26, հրազենային վնասվածք` 5: Համակցված վնասվածքները գնահատվել են ISS սանդղակով, որի միջին ցուցանիշր կազմել է 42,12+5,8, ֆիզիոլոգիական վիճակի գնահատումը APACHE II սանդղակով, որի միջին ցուցանիշը կազմել է 18,6+6,0, ինչր խոսում է այն մասին, որ վնասվածքներր եղել են հիմնականում ծանր աստի-ճանի: Մահացածների թիվր եղել են 28, որոնք կազմել են 22.7%-ը:
Կրծքավանդակի ե որովայնի համակցված վնասվածքներով հիվանդների մոտ թոքային բարդությունների ընդհանուր թիվր կազմել է 42 (34.1%), որոնք ներկայացված են հետևյալ աղյուսակում.
|
Պեեմոեիաեեր միակողմանի/երկկողմանի |
14/10 |
|
Ատելեկտազ միակողմաեի/երկկողմաեի |
2/1 |
|
Հիդրոթորաքս միակողմաեի/երկկողմաեի |
3/1 |
|
Պլերայի էմպիեմա միակողմանի/երկկողմանի |
4/0 |
|
ՍՌԴՀ |
7 (5,7%) |
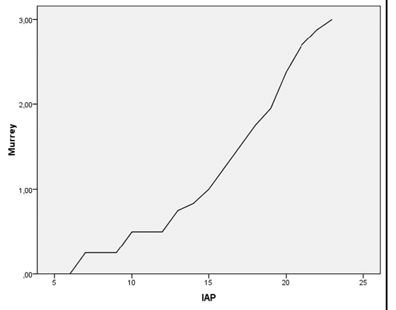
Թոքային բարդությունների ժամանակ շնչառա-կան անբավարարության ծանրության աստիճանի գնահատումր Murray-ի սանդղակով տատանվել է 1.75-2.75, միջինր կազմել է 2.0+ 0.24: Նույն հետազոտության տվյալներով պարզվել է նաև, որ թոքային բարդությունների զարգացումր ե րնթացքր անմիջա-կանորեն պայմանավորված են ինչպես կրծքավանդակի վնասվածքի ծանրության աստճանով, այնպես էլ` ներորովայնային հիպերտենզիայի զարգացմամբ և որովայնի խոռոչի օրգանների պերֆուզիայի ցուցանիշների նվազմամբ: Ստորև ներկայացված գրաֆիկի միջոցով ներկայացվում է ներորովայնային հիպերտենզիայի ե շնչառական անաբավարարության միջե առկա փոխկապակցվածությունը:
Ներորովայնային հիպերտենզիայի աճի կանխումը վաղ փուլերում զգալիորեն նվազեցնում է շնչառական անբավարարության խորացումր: Մեր կողմից մշակվել է ե ներդրվել է կրծքավանդակի ե որովայնի համակցված վնասվածքներով հիվանդների մոտ թոքային բարդությունների կանխատեսման սանդղակ, որտեղ րնդգրկված են հետեյալ ցուցանիշները,
Թոքային բարդությունների կանխատեսման սանդղակ.
|
|
0-16 |
0 |
|
ISS |
17-40 |
1 |
|
|
41-66 |
2 |
|
|
0-19 |
0 |
|
APACE II |
20-29 |
1 |
|
|
30 < |
2 |
|
Ներորովայնային |
Մինչե 15 մմ սս |
0 |
|
հիպերտենզիայի |
16-25 մմ սս |
1 |
|
աստիճան |
25 < մմ սս |
2 |
|
Թորակալ վնասվածքի ծանրություն աստիճան |
AIS < 3 |
0 |
|
AIS = 4 |
1 |
|
|
AIS = 5 |
2 |
Տվյալ սանդղակով կանխատեսման հավաստիությունը կազմում է 92%: Համաձայն այս սանդղակի, թոքային բարդությունների զարգացման առումով եթե հիվանդի մոտ 0-3 բալ է՝ կանխատեսումը բարոք է, 4-6 բալի դեպքում` կասկածելի, 7-8` անբարենպաստ: Այս սանդղակր կիրառվել է 2006- 2009թթ. “էրեբունի” ԲԿ րնդունված 71 կրծքավանդակի ե որովայնի համակցված վնասվածքներ ախտորոշումով հիվանդների նկատմամբ:
Թոքային բարդությունների կանխարգելման նպատակով կիրառվել է բուժման ալգորիթմ:
-
կրծքավանդակի ե որովայնի վնասվածքների վաղ վիրահատական կորեկցիա, ինչպես նաե ուղեկցող վնասվածքների ադեկվատ կորեկցիա,
-
ներորովայ նային հիպերտենզիայի դեպքում որովայնի խոռոչի դեկոմրեսիվ վիրահատություն` զուգակցված էպիդուրալ անզգայացման հետ,
-
հիպոստատիկ վիճակում գտնվող հիվանդների դինամիկ ռենտգեն ե կտ քննություն, կրծքավանդակի վաղ դրենավորում հիդրոթորաքսի սկզբնական փուլերում, էմպիեմաների, թոքերի թարախակույտերի, ֆիբրոթորաքսների վիրահատական բուժում,
-
շնչառական անբավարարության նշանների առկայության դեպքում ԹԱՕ-ի կիրառում, վերին շնչական ուղիների անրնդհատ սանացիայով,
-
երկարատե ԹԱՕ-ի կարիք ունեցող հիվանդներին տրախեոստոմաների ձեավորում օպտիմալ ժամկետներում (8-14 օրերեին հաշված ԹԱՕ-ի սկզբից),
-
ինֆուզիոն թերապիայի կիրառում, թոքային այտուցի իջեցումով,
-
զանգվածային արյան կորստի ե կոագուլյացիոն խանգարումների դեմ տրանսֆուզիոն թերապիա ե հակակոագոլյանտների կիրառում,
-
հակաբիոտիկոթերապիա, ելնելով միկրոֆլորայի զգայունությունից,
-
արդյունավետ ցավազրկումր,
-
էլեկտրոլիտային ե թթվահիմնային հավասարակշռության կարգավորում:
Նշված ալգորիթմի կիրառումր հնարավորություն է տվել թորակոաբդոմինալ համակցված վնասվածքներով հիվանդների մոտ նվազեցնել ինչպես թոքային բարդությունների թիվը 7,3%-ով, այնպես էլ` դրանցով պայմանավորված շնչառության անբավարարության ծանրության աստիճանը (Murray-ի սանդղակով միջին ցուցանիշը կազմել է 1.5+0.21):
![]() |
![]() |
Գրականութցան ցանկ
-
Абакумов М.М., Лебедев Н.В., Малярчук В.И. Хирур-гия. 2001. 6. с. 24-28.
-
Бадалов В.И. Клинико-патогенетические критерии тяжести повреждения головного мозга при сочетан-ной черепно-мозговой травме. Дис. канд. мед. наук. Санкт-петербург 1998, 235с.
-
Богданов П.И. Роль ультразвукового и инструмен-тального методов исследования в диагностике и хирургическом лечении закрытой травмы живота. Дисс. канд. мед. наук. Москва, 1997. 237с.
-
Бокарев М.И. Лечебно-диагностическая тактика у пациентов с сочетанной травмой таза и живота. Дисс. док. мед. наук. Москва. 2006, 190а
-
Брискин Б.С., Смаков Г.М., Каримова С.К., Потапова О.Ю. Оказание помощи при сочетанной травме. Cб. науч. тр. Москва, 1997. а 82-87.
-
Гуманенко Е.К. Сочетанные травмы с позиции объ-ективной оценки тяжести травм. Автореф. дисс. д-ра мед. наук. СПб., 1992. 50с.
-
Ерюхин И. А. Воен-мед. журн. 1996. 11. c. 26-30.
-
Котельников Г.П., Чесноков И.Г. Травматическая болезнь. М. Медицина, 2002. 156 с.
-
Молитвословов А.Б., Бокарев М.И., Мамонтов Р.Е., Горев В.К., Азатян К. Д., Нечаенко A.M., Бирюков Ю.В. Хирургия. 2002. 9. c. 22-26.
-
Соколов В.А. Множественные и сочетанные травмы. М. ГЗОТАР. Медиа, 2006. 512с.
-
Buduhan G., McRitchie D.I. Missed injuries in patients with multiple trauma. J.Trauma 2000; 600-605.
-
Mayberry JC, Goldman RK, Mullins RJ et al. J Trauma 1999; 47: 509–13.
-
Wachsberg RH, Sebastiano LL, Levine CD. Abdom Imaging 1998; 23 (1): 99–102.
20.07.2011 Կարդացեք նաև
Ներածություն
Ներկայիս բժշկությունր շողացող առիթմիայի բուժման տարբեր մոտեցումներ է առաջարկում: Դրանցից են. անտիկոագուլոացիոն թերապիային զուգահեռ հաճախություն կարգավորող թերապիան, անտիառիթմիկ դեղորայքային...
29.07.2011 Լաբորատոր-փորձարարական եղանակով պարզվեց, որ ծամիչ հենակետային ատամների հղկման մեր կողմից առաջարկվող և ներկայումս հայտնի չորս եղանակներից միայն երեքի դեպքում է արդարացված ծամողական շրջանում ամրաթելիկային ադհեզիվ կամրջաձև պրոթեզների (ԱԱԿՊ) պատրաստումդ...
28.07.2011 Շողացող աոիթմիան որպես սպաոնալիք
Շողացող աոիթմիան, որը նախասրտային մեխանիկական ֆունկցիայի խանգարմամբ ե չկորդինացված նախասրտային ակտիվությամբ վերփորոքային տախիաոիթմիա [1], աոավել տարածված աոիթմիաներից է համարվում...
27.07.2011 Ատամների արմատների ռեզորբցիան դեռես ամբողջովին ուսումնասիրված չէ, իսկ տարբեր տեսակի ռեզորբցված արմատներով ատամի բուժման առավել հարմար եղանակի րնտրությունր իրենից ներկայացնում է որոշակի բարդություն ե կախված է կոնկրետ կլինիկական դեպքից...
26.07.2011 Արդիականությունը: Տրավմատիզմը տարեց տարի աճում է ամբողջ աշխարհում արդյունաբերության, շինարարության, տրանսպորտի զարգացմանը զուգընթաց` դաոնալով առողջապահական, սոցիալական և էկոնոմիկ լրջագույն խնդիր ցանկացած երկրի համար [1,4,10,11,13,14]...
25.07.2011 Արդիականությունը: Գիտատեխնիկական զարգացմանը զուգընթաց մեծանում է տրավմատիզմը, որի ընդհանուր կառուցվածքում գանգուղեղային վնասվածքը(ԳՈՒՎ-ը) համարվում է մահացության և ազգաբնակչության աշխատունակության իջեցման հիմնական պատճառներից մեկը...
22.07.2011
Fatal error: The table 'article' is full in /sites/med-practic.com/classes/DatabaseManager_2.1.php on line 1360















Գիտական բժշկություն
Հիվանդություններ
Ավանդական բժշկություն
Առողջ ապրելակերպ
Կոսմետոլոգիա
Բժշկական իրավունք
Ալգորիթմեր, թեստեր
Թվեր, փաստեր, դեպքեր
Պատմական խրոնիկա
Աֆորիզմներ
Կարիերային սանդուղքով
Երեխա
Կին
Տղամարդ
Ռեյթինգային համակարգ


