Հայաստանի բժշկագիտություն 4.2011
Իրանի Սարի քաղաքի ավագ դասարանների աշակերտների սրտի գործունեության փոփոխությունները քննաշրջանում
Բանալի բառեր` տարբերակված ուսուցում, կարդիոինտերվալոգիր, քննաշրջան, սրտի ռիթմի տատանողականություն, լարվածության ցուցիչ
Գրականության մեջ անբավարար է լուսաբանված մասնագիտական դպրոցներում սովորող դեռահասների և պատանիների ֆիզիոլոգիական ֆունկցիաների վիճակը քննաշրջանի ընթացքում: Ակնհայտ է, որ դպրոցական տարիքում ավարտվում է օրգանիզմի վեգետատիվ նյարդավորման վերակառուցումն ու ուժեղանում սրտի ռիթմի ինքնակարգավորումը [3]: Դեռահասության շրջանը բնորոշվում է նյարդաներզատական բուռն վերակառուցումներով, օրգանիզմի կազմաբանական և ֆիզիոլոգիական ուժգին վերափոխումներով, կարգավորման մեխանիզմների և գործառական մի շարք համակարգերի գործունեության բարձր լարվածությամբ, արտաքին միջավայրի փոփոխություններին հարմարման սահմանափակ հնարավորությամբ [1, 7, 8-11]: Քննությունների հանձնումն ուղեկցվում է օրգանիզմի բոլոր օրգանների և համակարգերի ֆիզիոլոգիական բարձր լարվածությամբ, էներգածախսերի ուժեղացմամբ, որը սովորողների մեծամասնության մոտ հանգեցնում է առողջության վատթարացմանը և վեգետատիվ ֆունկցիաների խանգարմանը: Մի շարք գիտնականների կարծիքով քննությունից առաջ և այն հանձնելուց անմիջապես հետո նկատվում են սիրտանոթային համակարգի ցուցանիշների արտահայտված փոփոխություններ, որոնք վկայում են ծայրամասային անոթների արյան ընդհանուր հոսքի մեծացման մասին: Հանրակրթական դպրոցում և վարժարանում սովորող աշակերտների մոտ միանման քննական իրավիճակներում զարգանում են անհատական հոգեֆիզիոլոգիական տարբեր ռեակցիաներ` կապված սպասվող քննական գնահատականի, աշակերտի պատրաստվածության, տարիքի և սեռի հետ [2, 4- 6, 9-12]:
Չնայած ներկայացված գրական տվյալների առկայությանը, հոգեհուզական լարվածության պայմաններում ֆիզիոլոգիական առանձին ցուցանիշների տարիքային դինամիկային վերաբերող շատ հիմնահարցեր դեռևս մնում են վիճելի և չլուծված: Քննական սթրեսի ժամանակ անբավարար են ուսումնասիրված ավագ դպրոցի սաների հոգեհուզական կարգավիճակի և նեյրովեգետատիվ ցուցանիշների փոփոխություններն ու դրանց համահարաբերակցությունը:
Ուստի մեր հետազոտություններում ուսումնասիրվել է Իրանի տաղանդավոր աղջիկների և տղաների դպրոցների IX-XI դասարաններում սովորող 120 աշակերտների (60 աղջիկ և 60 տղա) սրտի ռիթմի ցուցանիշների փոփոխությունները քննաշրջանի ընթացքում:
Նյութը և մեթոդները
Ուսումնասիրությունները կատարվել են Իրանի Սարի քաղաքի Շահիդ Բեհեշտիի անվան տաղանդավոր աղջիկների և տղաների դպրոցներում:
Հետազոտության խնդիրների համաձայն կատարվել է աշակերտների առողջական տվյալների վերլուծություն ու ընտրվել են առողջության շեղումներ չունեցող աշակերտներ կամավոր սկզբունքներով: Հետազոտվողների անհատական հոգեֆիզիոլոգիական առանձնահատկությունները բացահայտելու նպատակով Ս.Սպիլբերգեր-Խանինի թեստով որոշվել է նրանց անհատական (ԱԱ) և իրավիճակային անհանգստության (ԻԱ) աստիճանը: Ըստ ԻԱԹ-ի հարցաթերթիկի գնահատվել են ինքնազգացողության (Ի), ակտիվության (Ա) և տրամադրության (Տ), իսկ ըստ Դ. Այզենկի` նեյրոտիպի մակարդակները:
Աշակերտների սրտի ռիթմի վերլուծության նպատակով առաջին ստանդարտ արտածմամբ պառկած վիճակում գրանցվել է նրանց էլեկտրասրտագիրը (ԷՍԳ): ԷՍԳ-ի ազդակները էլեկտրասրտագրիչից վերափոխվելով ձայնային հաճախության փոխանցվել են մագնիտո-ֆոնի ելքին, ապա ավտոմատ թվային վերափոխիչով Pentium IV համակարգչին, ուր վերամշակվել են համաձայն Ռ. Բաևսկու (1984) վա-րիացիոն պուլսաչափման չափանիշների: Յուրաքանչյուր հետազոտվողի համար կառուցվել են հիստո-, ռիթմա-, սկատեր- և սպեկտրագրեր: Որոշվել են մոդան (Mo), մոդայի տատանասահմանը (AMo), վարիացիոն թափը (ΔX), կարդիոինտերվալների տատանողականության գործակիցը (Vk): Հաշվարկվել են նաև կարգավորող համակարգերի լարվածության ցուցիչը` ԼՑ=AMo/2ΔX*Mo; վեգետատիվ հավասարակշռության ցուցիչը` ՎՀՑ=AMo/ΔX; ռիթմի վեգետատիվ ցուցիչը` ՌՎՑ=1/Mo*ΔX; կարգավորման գործընթացների ադեկվատության ցուցիչը` ԿԳԱՑ=AMo/Mo:
Բոլոր հետազոտությունները կատարվել են 3 փուլով. ուսումնական կիսամյակի հարաբերական հանգիստ օր (ֆիզիոլոգիական նորմա), քննությունը հանձնելուց անմիջապես առաջ և քննությունը հանձնելուց հետո: Ստացված տվյալների վիճակագրական մշակումը կատարվել է ըստ Ստյուդենտի t չափանիշի «Biostat» համակարգ-չային ծրագրով:
Արդյուքները և դրանց քննարկումը
Հետազոտությունների առաջին տարբերակում ըստ հոգեբանական թեստ-հարցաթերթիկների արդյունքների բացահայտվել է, որ հարաբերական հանգիստ պայմաններում IX դասարանի աղջիկների ԻԱ-ի մակարդակը կազմել է 30.8±1.7, իսկ տղաներինը` 36.6±2.4 միավոր: Ընդ որում աղջիկների 16.7%-ը ունեցել են ԻԱ-ի ցածր մակարդակ (21.1±1.2 միավոր), 48%-ը` միջին (32.3±3.2 միավոր), իսկ 34%-ը` բարձր (47.2±2.4 միավոր): Տղաներից ԻԱ-ի բարձր մակարդակ ունեցել են 36.1%-ը (49.2±2.1 միավոր), միջին` 57.6% (36.4±3.0 միավոր), իսկ ցածր` 6.3%-ը (22.8±3.1 միավոր): Աղջիկներին հիմնականում բնորոշ է եղել ինքնագնահատման միջին, իսկ տղաներին` բարձր մակարդակ: Նախաքննական շրջանում ԻԱ-ն բարձրացել է. աղջիկներինը կազմել է 42.3±3.4, իսկ տղաներինը` 49.8±2.6 միավոր:
IX դասարանում նորմայում դիտվել է տղաների սիմպաթիկ նյարդային համակարգի ցուցանիշների համեմատաբար բարձր մակարդակ աղջիկների համեմատությամբ: Այսպես, աղջիկների ԼՑ-ն եղել է 98.55±9.04, իսկ տղաներինը` 121.25±10.41պ.մ.: Ըստ ԼՑ-ի` աղջիկների 70%-ը եղել են վագոտոնիկներ, 30-ը` նորմոտոնիկներ, մինչդեռ տղաների 10-ը եղել են վագոտոնիկներ, 80-ը` նորմոտոնիկներ, իսկ 10%-ը սիմպաթոտոնիկներ (աղ.):
Նախաքննական շրջանում երկու խմբի հետազոտվողների մոտ դիտվել են սրտի ռիթմի տատանողականության ցուցանիշների զգալի տեղաշարժեր: Տղաների մոտ գրանցվել է ԼՑ-ի մեծացում նորմայի համեմատությամբ 86.7%-ով (p‹0.001): Միաժամանակ նկատվել է AMo-ի ՌՎՑ-ի, ՎՀՑ-ի և ԿԳԱՑ-ի ցուցանիշների մեծացում համապատասխանաբար 19.8(p
Աղյուսակ
Սրտի վեգետատիվ կարգավորման տարբեր տիպ ունեցող IX-XI դասարանների աշակերտների տոկոսային հարաբերության փոփոխությունները քննաշրջանում
IX դասարան
|
Սրտի կարգավորման տիպը |
Աղջիկներ |
Տղաներ |
||||
|
նորմա % |
քննությունից առաջ, % |
քննությունից հետո, % |
նորմա, % |
քննությունից առաջ, % |
քննությունից հետո, % |
|
|
Վագոտոնիկ |
70 |
10 |
15 |
10 |
- |
- |
|
Նորմոտոնիկ |
30 |
60 |
85 |
80 |
25 |
65 |
|
Սինպաթոտոնիկ |
- |
30 |
- |
10 |
75 |
35 |
X դասարան
|
Սրտի կարգավորման տիպը |
Աղջիկներ |
Տղաներ |
||||
|
նորմա, % |
քննությունից առաջ, % |
քննությունից հետո, % |
նորմա, % |
քննությունից առաջ, % |
քննությունից հետո, % |
|
|
Վագոտոնիկ |
50 |
- |
30 |
20 |
5 |
- |
|
Նորմոտոնիկ |
35 |
75 |
60 |
70 |
25 |
70 |
|
Սինպաթոտոնիկ |
15 |
25 |
10 |
10 |
70 |
30 |
XI դասարան
|
Սրտի կարգավորման |
Աղջիկներ |
Տղաներ |
||||
|
նորմա, % |
քննությունից առաջ, % |
քննությունից հետո, % |
նորմա, % |
քննությունից առաջ, % |
քննությունից հետո, % |
|
|
Վագոտոնիկ |
40 |
- |
5 |
10 |
- |
- |
|
Նորմոտոնիկ |
50 |
40 |
75 |
60 |
60 |
55 |
|
Սինպաթոտոնիկ |
10 |
60 |
20 |
30 |
40 |
45 |
Ի տարբերություն տղաների նախաքննական շրջանում աղջիկներին բնորոշ է եղել սիմպաթիկ նյարդային համակարգի լարվածության ավելի թույլ արտահայտված բարձրացում: Այդ մասին են վկայում AMo-ի, ՌՎՑ-ի, ՎՀՑ-ի, ԿԳԱՑ-ի ԼՑ-ի մեծացումը 48.4 (p ‹ 0.001), 16 (p ‹ 0.05), 26.9 (p ‹ 0.05), 31.2 (p ‹ 0.001), 33.3 (p ‹ 0.001) և Mo-ի և ΔX-ի նվազումը 12.3(p ‹ 0.05) և 11.5%-ով (p ‹ 0.05) համապատասխանաբար: Հետքննական շրջանում աղջիկների սրտի ռիթմի կարգավոր-ման ինտեգրալային ցուցանիշները գրեթե վերադարձել են ելակետային մակարդակին:
Ստացված արդյունքները վկայում են, որ տղաների համար դեռևս պահպանվում է սթրեսային իրավիճակը, քանի որ քննությունների արդյունքները կարևորվում են հետագայում ուսումը շարունակելու նպատակով:
Հետազոտությունների երկրորդ տարբերակում ուսումնասիրվել է X դասարանի աղջիկների և տղաների հոգեբանական ու սրտի ռիթմի կարգավորման ինտեգրալային ցուցանիշների փոփոխությունները քննաշրջանի ընթացքում: Նորմայում աղջիկների ԻԱ-ը միջինում կազ-մել է 32.6±2.1 միավոր: Նրանցից 10%-ը ունեցել են ԻԱ-ի ցածր, 60-ը` միջին, իսկ 30%-ը` բարձր մակարդակ: Տղաների ԻԱ-ը կազմել է 37.3±2.7 միավոր: Նրանցից 10%-ը ունեցել են ցածր, 40-ը` միջին և 50%-ը` բարձր մակարդակ: Նախաքննական շրջանում ԻԱ-ն բարձրանում է` աղջիկներինը հասնելով 44.3±2.9, իսկ տղաներինը` 49.9±2.9 միավորի:
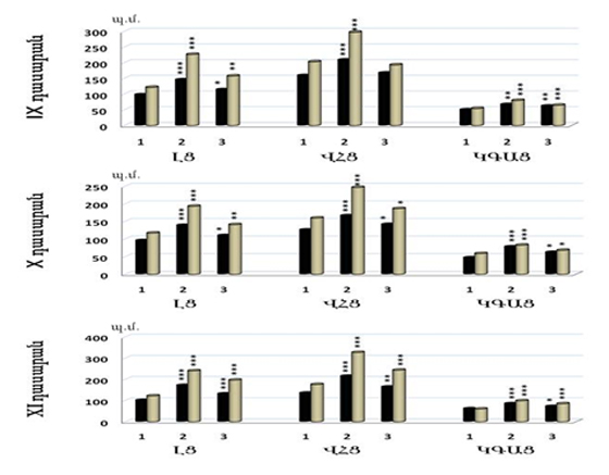
Ըստ ԼՑ-ի մեծության նորմայում տղաների 20%-ը եղել են վագոտոնիկներ, 70%-ը` նորմոտոնիկներ և 10%-ը` սիմպաթոտոնիկներ: Նախաքննական շրջանում տղաների 5%-ը եղել են վագոտոնիկներ, 25%-ը` նորմոտոնիկներ, իսկ 70%-ը` սիմպաթոտոնիկներ: Տղաների մոտ գրանցվել է նաև սիմպաթիկ նյարդային համակարգի ակտիվության մյուս ցուցանիշների բարձր մակարդակ (նկ.): Նախաքննական շրջանում աղջիկների և տղաների մոտ գրանցվել են սրտի ռիթմի ինտեգրալային ցուցանիշների զգալի տեղաշարժեր սիմպաթիկ նյարդային համակարգի ակտիվության գերակշռման ուղղությամբ: Ելակետայինի համեմատությամբ տղաների ԼՑ-ն մեծացել է 65.2%-ով (p ‹ 0.001): Նկատվել է նաև AMo-ի, ՌՎՑ-ի, ՎՀՑ-ի, ԿԳԱՑ-ի մեծությունների ավելացում համապատասխանաբար 40.4%-ով , 25.7, 54.5, 40.9%-ով (p ‹ 0.001): Սրտի ռիթմի կարգավորման կենտրոնական կոնտուրում սիմպաթիկ օղակի ակտիվության գերակշռման մասին է վկայում Mo-ի, ΔX-ի, Vk-ի նվազումը 7.1 և 12%-ով (p ‹ 0.05), 35.1%-ով (p ‹ 0.001): Հետքննական շրջանում դիտվում է ուսումնասիրված սիմպաթիկ ակտիվության կոնտուրի ցուցանիշների իջեցում, սակայն գերազանցելով ելակետային մակարդակին: Տղաների ԼՑ-ն հետքննական շրջանում ելակետային մակարդակին դեռևս գերազանցում է 20.6%-ով (p ‹ 0.05), իսկ AMo-ի, ՌՎՑ-ի, ՎՀՑ-ի և ԿԳԱՑ-ի մեծությունները համապատասխանաբար 14.8, 16.7, 16.9, 15.9%-ով (նկ.):
Նկար . IX-XI դասարանների աշակերտների սրտի ռիթմի ինտեգրալային ցուցանիշների փոփոխությունները քննաշրջանում
1-նորմա, 2-մինչև քննությունը, 3-քննությունից հետո
*- p‹0.05, **- p‹0.01, ***- p‹0.001
աղջիկներ,
տղաներ
Նորմայում աղջիկների 50%-ը եղել են վագոտոնիկներ, 35-ը` նորմոտոնիկներ, իսկ 15%-ը` սիմպաթոտոնիկներ: Քննությունից առաջ վագոտոնիկներ չեն գրանցվել, աղջիկների 75%-ը եղել են նորմոտոնիկներ, 25%-ը` սիմպաթոտոնիկներ:
Նախա- և հետքննական շրջաններում աղջիկների սրտի ռիթմի կարգավորման ինտեգրալային ցուցանիշների փոփոխությունները տղաների համեմատությամբ կրել են ավելի թույլ արտահայտված բնույթ:
Հետազոտությունների երրորդ տարբերակում ուսումնասիրվել են XI դասարանների աղջիկների և տղաների հոգեբանական ու սրտի ռիթմի կարգավորման ինտեգրալային ցուցանիշները: XI դասարանցի աղջիկների ԻԱ-ն կազմել է 35.7±2.9, իսկ տղաներինը` 41.2±2.6 միավոր: Աղջիկների 15.9%-ը ունեցել են ԱԱ-ի ցածր, 48.1%-ը` միջին, իսկ 36%-ը` բարձր մակարդակ: Տղաների ԻԱ-ն կազմել է 41.2±2.6 միավոր: Տղաների 5.7%-ը ունեցել են ԱԱ-ի ցածր, 59.3%-ը` միջին, իսկ 35%-ը` բարձր մակարդակ: Նախաքննական շրջանում ԻԱ-ի ցուցիչը զգալի չափով բարձրացել է` աղջիկներինը կազմելով 43.8±3.6, իսկ տղաներինը` 50.2±2.4 միավոր:
XI դասարանի աղջիկների 40%-ը եղել են վագո-, 50-ը` նորմո-, 10%-ը` սիմպաթոտոնիկներ (աղ.): Նախաքննական շրջանում վագոտոնիկ աղջիկներ համարյա չեն գրանցվել, 40%-ը եղել են նորմոտոնիկներ, 60-ը սիմպաթոտոնիկներ: Քննությունից հետո գրանցվել են 5% վագոտոնիկներ, նորմոտոնիկները կազմել են 75, իսկ սիմպաթոտոնիկները` 20%: Նորմայում տղաների 10%-ը եղել են վագո-, 60%-ը` նորմո-, 30%-ը` սիմպաթոտոնիկներ: Նախաքննական շրջանում վագոտոնիկ տղաներ գրեթե չեն գրանցվել. 60%-ը եղել են նորմոտոնիկներ, 40%-ը` սիմպաթոտոնիկներ: Հետքննական շրջանում տղաների մոտ կրկին պահպանվել են նորմոտոնիկներն (55%) ու սիմպաթոտոնիկները (45%): Ինչպես IX, X դասարաններում, այնպես էլ XI դասարանցիների մոտ սրտի ռիթմի ցուցանիշների վերլուծությունը բացահայտել է տղաների սիմպաթիկ նյարդային համակարգի բարձր ակտիվություն: Նախաքննական շրջանում երկու խմբերում էլ դիտվել են սրտի ռիթմի կարգավորման կենտրոնական մեխանիզմների գերակշռում: Տղաների սրտի ցուցանիշների մաթեմատիկական վերլուծությունը ցույց է տվել, որ նախաքննական շրջանում ԼՑ-ն մեծացել է 97.2%-ով (p ‹ 0.001): Միաժամանակ գրանցվել է AMo-ի, ՌՎՑ-ի, ՎՀՑ-ի, ԿԳԱՑ-ի մեծացում համապատասխանաբար 45.7, 35.9, 86.1և 64.1%-ով (p ‹ 0.001): Նկատված տեղաշարժերը վկայում են վեգետատիվ հավասարակշռության էական տեղաշարժի մասին սիմպաթիկ բաժնի գերակշռող ակտիվության կողմը: Այդ մասին են վկայում նաև կարգավորման հումորալ և պարասիմպաթիկ մեխանիզմների ակտիվությունը բնութագրող ցուցանիշների` Mo-ի և ΔX-ի նվազումը 8.6 և 20.8%-ով (p ‹ 0.05): Նախաքննական շրջանում միաժամանակ նկատվում է նաև Vk-ի նվազում 24.7%-ով (p ‹ 0.01): Սիմպաթիկ բաժնի գերակշռող ակտիվության մասին են վկայում նաև նախաքննական շրջանում գրանցված հիստո-, սկատեր և սպեկտրագրերը:
Հետքննական շրջանում սիմպաթիկ նյարդային համակարգի ակտիվությունը պայմանավորող ցուցանիշները նախաքննական շրջանի համեմատությամբ նվազում են, մնալով ելակետային տվյալներից ավելի բարձր: Քննությունից հետո ԼՑ-ի, AMo-ի, ՌՎՑ-ի, ՎՀՑ-ի և ԿԳԱՑ-ի ցուցանիշների մեծությունները ելակետայինին գերազանցում են համապատասխանաբար 61.2, 9.9, 12.3, 38.6, 41.0%-ով: Այս տվյալները վկայում են, որ տղաների մոտ դեռևս պահպանվում է սթրեսային վիճակը, քանի որ քննությունների հաջող հանձնումից է կախված նրանց հետագա ուսուցման հավանականությունը:
Այսպիսով, քննական շրջանում ուսումնասիրված IX-XI դասարանների տղաների և աղջիկների ուսումնական ծանրաբեռնվածությունը և մեծ ծավալի տեղեկատվության յուրացումն իրականանում է ֆիզիոլոգիական մեծ գնով, ԿՆՀ-ի և վեգետատիվ ապահովման համակարգերի լարվածությամբ ու գերլարվածությամբ:
Գրականություն
- Агаджанян Н.А., Руженкова И.В., Старшинов Ю.П. и др. Особенности адаптации сердечно-сосудистой системы юношеского организма. Физиология человека, 1997, т. 23, 1, с. 93-97.
- Андрианов В.В., Василюк Н.А. Вариабельность сердечного ритма при выполнении различных результативных задач. Физиология человека, 2001, т.27, 4, с. 50-55.
- Ванюшин Ю.С., Ситдиков Ф.Г. Адаптация сердечной деятельности подростков к нагрузке повышающейся мощности. Физиология человека, 2001, т. 27, 2, с. 91-97.
- Даян А.В., Ксанджикян Н.Н., Минасян С.М. и др. Типологический анализ кардиогемодинамики у старшеклассников в условиях экзаменационного напряжения. Ученые записки ЕрГУ, 2004, 3, с. 100-105.
- Дмитриева Н.В. Электрофизиологические механизмы развития адаптивных процессов. Физиология человека, 2004, т. 30, 3, с. 35-44.
- Кириллова Т.Г., Измайлова М.А. Влияние экзаменационного стресса на функциональное состояние кардиореспираторной системы студентов Назрани. Научные труды I съезда физиологов СНГ, Сочи, Дагомыс, 2005, т. 2, с. 278.
- Судаков К.В. Индивидуальная устойчивость к эмоциональному стрессу. НИИНФ им. П.К.Анохина РАМН, М., 1998.
- Фарбер Д.А., Дубровинская Н.В. Функциональная организация развивающегося мозга (возрастные особенности и некоторые закономерности). Физиология человека, 1991, т.17, 5, с. 17-27.
- Щербатых Ю.В. Саморегуляция вегетативного гомеостаза при эмоциональном стрессе. Физиология человека, 2000, т.26, 5, с. 151-152.
- Юматов Е.А., Кузьменко В.А., Бадиков В.И. и др. Экзаменационный эмоциональный стресс у студентов. Физиология человека, 2001, т. 27, 2, с. 104-111.
- Szot W., Lang-Mlynarska D., Wojtowicz B., Potocki A. Effect of physical training on growth and total cardiovascular and respiratoty capacity in pupils from schools with different physical training programs. Przegl. Lek., 2003, v.60, 6, p. 76-80.
- Van Ravenswaaij C.M.A., Kollee L.A., Hopman J.C.V. et al. Heart rate variability. Ann. Int. Med., 1993, v. 118, p. 436-447.
26.01.2012 Կարդացեք նաև
Բանալի բառեր` պարբերական հիվանդություն, բազմաօրգանային ամիլոիդոզ, կլինիկաձևաբանական բնութագիր
Պարբերական հիվանդությունը (ՊՀ) կամ Ընտանեկան Միջերկրածովյան տենդը (ԸՄՏ) խրոնիկական հիվանդություն է, որն ընթանում է պարբերական տենդի նոպաներով` ուղեկցված շճաթաղանթների բորբոքումով...
31.01.2012 Բանալի բառեր` նեյրոսպեցիֆիկ էնոլազա, հոգեշարժական զարգացում, նորածիններ
Երեխաների հոգեշարժական զարգացումը (ՀՇԶ) հոգեկան և մարմնական առողջության կարևորագույն ցուցանիշն է: Այսպես կոչված կոգնիտիվ նևրոլոգիայի վերջին տարիների արագընթաց զարգացումը պարզ...
30.01.2012 Բանալի բառեր. գլխուղեղի ֆունկցիոնալ վիճակ, ուշադրության կենտրոնացում, պարզ տեսաշարժիչ ռեակցիաներ, կարճատև տիրույթի կենսառիթմեր, սպեկտրային բաղադրիչներ, կոռելյացիոն, ռեգրեսիոն, դիսկրիմինանտ վերլուծություն
Արդի հոգեֆիզիոլոգիական հետազոտությունների կարևորագույն հարցերից մեկը մարդու գլխուղեղի ֆունկցիոնալ վիճակի (ՖՎ) ուսաւմնասիրությունն է: Գլխուղեղի ՖՎ, ըստ էության...
27.01.2012
Fatal error: The table 'article' is full in /sites/med-practic.com/classes/DatabaseManager_2.1.php on line 1360















Գիտական բժշկություն
Հիվանդություններ
Ավանդական բժշկություն
Առողջ ապրելակերպ
Կոսմետոլոգիա
Բժշկական իրավունք
Ալգորիթմեր, թեստեր
Թվեր, փաստեր, դեպքեր
Պատմական խրոնիկա
Աֆորիզմներ
Կարիերային սանդուղքով
Երեխա
Կին
Տղամարդ
Ռեյթինգային համակարգ
